17475  documentos en la base de datos
Convenios por Federación
♦ FICA
♦ FeSMC
♦ FeSP
 

CONVENIO COLECTIVO SEVERIANO GESTIÓN, S.L. PARA LA PROVINCIA DE SEVILLA.

 

Visto el Convenio Colectivo de la empresa Severiano Gestión, S.L., (Código: 4105062), y las tablas salariales para el año 2009-2010, suscrito por la referida entidad y la representación legal de los trabajadores, con vigencia desde el 1 de enero de 2009 a 31 de diciembre de 2012.

Visto lo dispuesto en el artículo 90 del Real Decreto Legislativo 1/1995, de 24 de marzo (E.T.) en relación con el artículo 2.b) del Real Decreto 1040/81, de 22 de mayo, serán objeto de inscripción los convenios elaborados conforme a lo establecido en el Título III del referido Real Decreto y sus revisiones, debiendo ser presentados ante la autoridad laboral a los solos efectos de su registro, publicación en el «Boletín Oficial» de la provincia y remisión, para su depósito, al Centro de Mediación, Arbitraje y Conciliación (C.M.A.C.).

Visto lo dispuesto en el artículo 2.b) del Real Decreto 1040/81 de 22 de mayo, que dispone que serán objeto de inscripción en los Registros de Convenios de cada una de las Delegaciones de Trabajo los convenios elaborados conforme a lo establecido en el Título III del referido Estatuto, sus revisiones y los acuerdos de adhesión a un convenio en vigor.

Esta Delegación Provincial de la Consejería de Empleo,

Acuerda:

Primero.— Registrar el convenio colectivo de la empresa Severiano Gestión, S.L., y las tablas salariales para el año 2009-2010, suscrito por la referida entidad y la representación legal de los trabajadores, con vigencia desde el 1 de enero de 2009 a 31 de diciembre de 2012).

Segundo.— Remitir el mencionado convenio al C.M.A.C. para su depósito.

Tercero.— Comunicar este acuerdo a las representaciones económica y social de la Comisión Negociadora, en cumplimiento del artículo 3 del Real Decreto 1040/81, de 22 de mayo.

Cuarto.— Disponer su publicación gratuita en el «Boletín Oficial» de la provincia.

Sevilla a 18 de mayo de 2010.—El Delegado Provincial.—

P.S. La Secretaria General Técnica, Lourdes Medina Varo (Orden de 21 de abril de 2010 («BOJA» n.º 83 de 30 de abril 2010).

ACTA FINAL DE LA COMISIÓN DEL CONVENIO COLECTIVO DE LA EMPRESA

SEVERIANO GESTIÓN, S.L., PARA LA PROVINCIA DE SEVILLA.

En Sevilla a 5 de marzo de 2010, se reúnen los representantes de la Dirección de la Empresa y de los Trabajadores que se relacionan a continuación, con la finalidad de negociar el convenio colectivo de empresa para la provincia de Sevilla.

Asistentes:

Empresa:

Don Juan Ignacio Lamas López.

Don Carlos Castro Caaveiro.

Delegado de Personal:

Don Antonio Delgado Marín.

Asesores de CC.OO.:

Don Narciso Martín Zamorano.

Don Rafael Gordillo Medina.

Analizadas las propuestas presentadas en el transcurso de la reunión celebrada en el día de hoy y revisada la redacción presentada para el texto del convenio, ambas partes dan por finalizadas las negociaciones del convenio colectivo y alcanzan el siguiente:

Acuerdo:

1.— Aprobar el texto del Convenio Colectivo de la provincia de Sevilla para la empresa Severiano Gestión, S.L., que se adjunta a la presente acta.

2.— Abonar los atrasos correspondientes a los meses de enero y febrero del año 2010 en la nómina de marzo de 2010.

3.— Delegar en don Juan Ignacio Lamas López, en calidad de Director de Recursos Humanos y en don Antonio Delgado Marín, en calidad de Delegado de Personal, para que realicen los trámites de registro y depósito del convenio.

Y en prueba de conformidad, firman la presente acta en el lugar y fecha indicada.

Firmas:

La empresa, don Juan Ignacio Lamas López y don Antonio Delgado Marín

Los trabajadores, don Antonio Delgado Marín, don Narciso Martín Zamorano y don Rafael Gordillo Medina.

CONVENIO COLECTIVO SEVERIANO GESTIÓN, S.L.

PARA LA PROVINCIA DE SEVILLA.

Capítulo I Disposiciones Generales

Artículo 1. Objeto Y Carácter Del Convenio

El presente convenio colectivo tiene por objeto regular las condiciones de trabajo entre la Empresa Severiano Gestión, S. L. y los trabajadores de la misma.

Se declara expresamente que las condiciones pactadas en el presente convenio colectivo son globalmente más favorables que las mínimas legales que le corresponden al trabajador.

Artículo 2. Determinación De Las Partes.

En cumplimiento de lo dispuesto en el artículo 85.3. a) del Estatuto de los Trabajadores, las partes que conciertan el presente convenio colectivo son las siguientes:

— La representación de la Empresa Severiano Gestión, S. L.

— El Delegado de Personal en representación de los trabajadores.

Artículo 3. Ámbito Funcional Y Territorial.

El presente convenio colectivo se refiere a las actividades de organización, depósito, custodia y gestión de archivos; organización, depósito, custodia y gestión de almacenes; organización y gestión de servicios de transporte y traslado de todo tipo de mercancías, mobiliario, enseres y documentación, así como su montaje y desmontaje; y resto de actividades que desarrolla la Empresa SEVERIANO GESTIÓN, S. L. en los centros de trabajo de la Provincia de Sevilla.

Artículo 4. Ámbito Personal

El presente convenio colectivo afecta a la totalidad de los trabajadores de la Empresa Severiano Gestión, S. L. de los centros de trabajo de Sevilla.

Afectará, asimismo a los trabajadores que se incorporen a la plantilla de la Empresa durante la vigencia del mismo, a los que se les determinarán los días de vacaciones y las pagas de vencimiento periódico superior al mes, proporcionalmente a los días trabajados.

Queda expresamente excluido el personal:

— Que a la fecha de la firma del convenio colectivo hubieran causado baja en la empresa.

— Directivo a que hacen referencia los artículos 1 y 2 del Estatuto de los Trabajadores

— Titulado o asimilado, que tiene establecidas unas condiciones contractuales específicas.

Artículo 5. Ámbito Temporal, Prórroga Y Denuncia

El presente convenio colectivo entrará en vigor el día 1 de enero de 2009, independientemente de su publicación en el «BOP» y su duración será hasta el 31 de diciembre de 2012.

En caso de no existir preaviso de denuncia por alguna de las partes que conciertan el convenio, con una antelación mínima de dos meses a la fecha de su terminación, se considerará prorrogado por el período de un año.

Artículo 6. Comisión Paritaria

Las partes firmantes acuerdan constituir una Comisión Paritaria del convenio colectivo, integrada por un representante de la Empresa y un representante de los Trabajadores, pudiendo asistir además un asesor del Sindicato.

Las reuniones de la comisión se celebrarán previa convocatoria escrita de cualquiera de las partes, que deberá entregar con una antelación mínima de 7 días. En dicha convocatoria se detallarán los puntos que se pretendan tratar en la reunión.

Las funciones de la comisión paritaria serán:

— La interpretación del convenio colectivo.

— La vigilancia del cumplimiento de lo pactado en el mismo.

— Todas aquellas cuestiones que, de mutuo acuerdo, le sean conferidas por las partes.

Artículo 7. Derogación, Compensación Y Absorción

Las disposiciones contenidas en el presente convenio derogan en su integridad y sustituyen a todas las contenidas en el convenio colectivo anterior, así como los acuerdos firmados con el Delegado de Personal, con la Comisión Paritaria y también las mejoras aplicadas por la Empresa.

Durante la vigencia del convenio colectivo, no será aplicable en Severiano Gestión, S. L. ningún otro convenio, cualquiera que sea su ámbito, que pudiera afectar o referirse a las actividades o trabajos desarrollados en las instalaciones o por personal de la empresa.

Artículo 8. Vinculación A La Totalidad Y Unidad Del Convenio

Las condiciones pactadas en el presente convenio colectivo forman un todo orgánico e indivisible y a los efectos de su aplicación práctica serán consideradas globalmente, por consiguiente, si la autoridad competente anulara alguna de las condiciones establecidas, el convenio quedará invalidado y las partes estarán obligadas a seguir negociando hasta alcanzar un acuerdo.

Artículo 9. Garantías Personales

Se respetarán a título individual las condiciones económicas que fueran superiores a las establecidas en el presente convenio colectivo, consideradas en su conjunto y en cómputo anual.

Artículo 10. Derecho Supletorio

En lo no previsto en el presente convenio colectivo, se estará a lo dispuesto en la legislación vigente que resulte de aplicación y, particularmente, a lo establecido en el Estatuto de los Trabajadores.

Capítulo II. Organización Del Trabajo, Contratación Y Clasificación Profesional.

Artículo 11. Facultades De Organización

La organización del trabajo en cada uno de los centros, dependencias e instalaciones de la empresa, con sujeción a este convenio y a la legislación vigente, es facultad y responsabilidad de la Dirección de la Empresa.

Sin perjuicio de lo establecido en el párrafo anterior, los representantes legales de los trabajadores tendrán las competencias reconocidas en el artículo 64 del Estatuto de los Trabajadores.

Ambas partes manifiestan que la organización del trabajo tiene por objeto alcanzar en la empresa un nivel adecuado de productividad, rentabilidad, calidad y servicio basado en la óptima utilización de todos los recursos.

Artículo 12. Cobertura De Vacantes

Aquellas vacantes que se produzcan en la empresa y que la Dirección decida cubrirlas, podrán ser cubiertas con personal propio o acudiendo a la contratación externa.

Para la cobertura de vacantes se utilizarán los sistemas de libre designación o los procesos de selección que en cada caso establezca la Dirección de la Empresa.

Artículo 13. Período De Prueba

Con carácter general, y sin perjuicio de las distintas modalidades de contratación que la empresa concierte para cada caso, se establece un período de prueba de 6 meses para el personal titulado y de 2 meses para los demás trabajadores.

En caso de promoción interna, el período de prueba para el nuevo puesto de trabajo será de 6 meses para todo el personal.

En el supuesto de no superar el período de prueba el trabajador volverá a su anterior puesto de trabajo.

Estos períodos serán de trabajo efectivo, descontándose, por tanto, la situación de incapacidad temporal cualquiera que sea el motivo de la misma.

Artículo 14. Contrato Eventual Por Circunstancias De La Producción

En atención a las especiales características de los sectores para los que trabaja la empresa, que implica frecuentes e irregulares períodos en los que se acumulan las tareas, la empresa podrá concertar contratos eventuales, al amparo de lo establecido en este convenio colectivo y en el artículo 15 del Estatuto de los Trabajadores, por un tiempo no superior a 12 meses en un período de 18 meses.

Cuando se concierten estos contratos por un plazo inferior al máximo establecido, podrán prorrogarse, de mutuo acuerdo y por una sola vez, hasta el referido plazo máximo de 12 meses.

Artículo 15. Contrato Por Obra O Servicio Determinado

Se consideran actividades con autonomía y sustantividad propia dentro de la actividad de la empresa, los trabajos que sean encargados por los clientes de forma singularizada o a través de concurso público, y queden soportados, aún cuando sufran posteriores modificaciones, por un encargo temporal o un contrato.

Para cubrir dichas actividades, ya sea un servicio concreto o un conjunto de servicios, la empresa podrá utilizar el contrato para obra o servicio determinado, con vigencia temporal equivalente a la requerida para la ejecución de los trabajo  incluidos en el encargo o contrato, extendiéndose como máximo, a la duración de éste y de sus prórrogas o renovaciones sucesivas.

Podrá extinguirse el contrato por obra o servicio determinado en aquellos supuestos en que por disminución del volumen del servicio contratado resulte innecesario el número de trabajadores contratados para la ejecución del mismo, en cuyo caso se podrá reducir el número de trabajadores contratados en proporción a la disminución del servicio. En estos casos el cese se notificará al trabajador por escrito.

Artículo 16. Contrato a tiempo parcial

Se estará a lo dispuesto en el artículo 12 del Estatuto de los Trabajadores.

El contrato a tiempo parcial podrá concertarse por tiempo indefinido o duración determinada, en los supuestos en los que legalmente se permita la utilización de esta modalidad contractual.

Se podrán concertar horas complementarias adicionales a las horas ordinarias pactadas en el contrato a tiempo parcial.

El número de horas complementarias no podrá exceder del 60 % de las horas ordinarias de trabajo objeto del contrato, en todo caso la suma de las horas ordinarias y complementarias o podrán exceder de la jornada anual pactada en el presente convenio.

Las horas complementarias se realizarán de acuerdo con las necesidades de la empresa y se retribuirán como ordinarias.

Artículo 17. Conversión De Contratos En Indefinidos

Los trabajadores de la plantilla de la empresa que en la fecha de la firma del convenio colectivo tengan un año de antigüedad en la empresa serán considerados «trabajadores con contrato indefinido», para lo cual deberán firmar el correspondiente contrato.

Asimismo, adquirirán la condición de trabajador con contrato indefinido aquellos trabajadores, contratados a través de un contrato de duración determinada, que vayan cumpliendo un año de antigüedad en la empresa, para lo cual, una vez cumplido dicho plazo, deberán firmar el correspondiente contrato.

Artículo 18. Confidencialidad

Durante la vigencia de los contratos de trabajo e incluso después de la extinción de los mismos, los trabajadores se comprometen a mantener la más estricta confidencialidad sobre cualquier información, datos o documentación a la que hubieran tenido acceso durante la vigencia del contrato.

Al mismo tiempo, los trabajadores adoptarán las medidas necesarias para evitar el acceso por parte de terceras personas a la información y documentación confidencial de la empresa.

Artículo 19. Permanencia En La Empresa

La empresa facilita a los trabajadores una especialización profesional adaptada a las funciones a desempeñar, para lo cual realiza cursos de formación teórico-prácticos cuyo coste corre íntegramente a cargo de la empresa.

Por este motivo, los trabajadores se comprometen a seguir prestando servicios para la empresa durante un período de un año o durante el tiempo de duración de sus contratos si fuese inferior a dicho plazo.

Dicha permanencia deberá ser pactada entre el trabajador y la empresa, por escrito, y vinculará a los trabajadores afectados, debiendo informarse a la representación legal de los trabajadores.

El incumplimiento del compromiso de permanencia por parte del trabajador, dará derecho a la indemnización por daños y perjuicios establecida en el Estatuto de los Trabajadores.

Artículo 20. Extinción De Contrato Voluntaria

Los trabajadores que deseen extinguir el contrato de trabajo de forma voluntaria, estarán obligados a ponerlo en conocimiento de la Empresa con la antelación de 15 días a la fecha efectiva de la extinción.

El incumplimiento de la obligación de preavisar, con la referida antelación, dará derecho a la Empresa a descontar de la liquidación del trabajador una cuantía equivalente al importe de su salario por cada día de retraso en el aviso.

El preaviso deberá notificarse por escrito y la empresa vendrá obligada a firmar el acuse de recibo.

Las liquidaciones se pondrán a disposición de los trabajadores dentro de los cinco días hábiles siguientes a la fecha de la baja en la empresa.

Artículo 21. Clasificación Profesional

Los trabajadores de la empresa Severiano Gestión, S. L., afectados por el presente convenio colectivo, estarán clasificados, atendiendo a las funciones que desempeñan, en las categorías que se definen a continuación. La adscripción de los trabajadores a cada categoría será competencia de la Dirección de la Empresa.

Jefe de Servicio.

Trabajador que tiene la responsabilidad ante la empresa y ante el cliente de la gestión de los servicios de organización, depósito, custodia y gestión de almacenes; organización y gestión de servicios de transporte y traslado de todo tipo de mercancías, mobiliario, enseres y documentación, así como su montaje y desmontaje; organización, depósito, custodia, y gestión de archivos; y de los servicios del resto de actividades de la empresa. Sus funciones fundamentales serán:

— Dirección y gestión de los recursos humanos, equipos y materiales.

— Relaciones con el cliente.

— Planificación, organización y control del trabajo.

— Selección, formación y motivación del personal.

— Gestionar y controlar la calidad del servicio.

— Promover y fomentar el desarrollo de la cultura preventiva y la integración de la prevención en la empresa.

— Poner en práctica el plan de actuación preventiva.

— Elaboración de manuales de procedimientos e informes.

— Cualquier otra función similar que le encomiende la Dirección de la Empresa.

Técnico de Archivo.

Trabajador que ejecuta las tareas a que se refieren los servicios de organización y gestión de almacenes, servicios de archivos, servicios de transporte y traslado y resto de servicios de la empresa. Sus funciones fundamentales serán:

— Preparación del préstamo de la documentación y/o bienes con reparto y entrega programada.

— Recogida, archivado y colocación de la documentación y/o bienes de los distintos centros.

— Atención del teléfono y de las reclamaciones de historias clínicas o documentación prestadas a servicios distintos del peticionario.

— Preparación de las peticiones solicitadas el mismo día.

— Preparación de las historias o documentación solicitada por motivo no asistencial.

— Preparación y reparto de las solicitudes urgentes.

— Transporte, carga, descarga, reparto y recogida diaria de la documentación y/o bienes en los centros definidos por los clientes o por la empresa.

— Manejo de los vehículos y equipos de trabajo necesarios para el desempeño de sus funciones.

— Utilización de las aplicaciones informáticas correspondientes.

— Elaboración de todo tipo de correspondencia, documentos e informes.

— Archivo de la documentación e informes.

— Promover y fomentar el desarrollo de la cultura preventiva y la integración de la prevención en el colectivo de trabajadores.

— Cualquier otra función similar que sea necesario desempeñar para la ejecución de los contratos.

Técnico de Archivo de 1.ª.

Los trabajadores que la empresa adscriba a la categoría de Técnico de Archivo de 1ª tendrán las mismas funciones que la categoría de Técnico de Archivo. La empresa designará a los trabajadores que ostentarán dicha categoría, para lo cual tendrá en cuenta la formación del trabajador, sus conocimientos, la evaluación de desempeño de las distintas funciones y puestos del Archivo y la disponibilidad.

Administrativo.

Trabajador que ejecuta las tareas a que se refieren los servicios de organización y gestión de almacenes, servicios de archivos, servicios de transporte y traslado y resto de servicios de la empresa. Sus funciones fundamentales serán:

— Utilización de la aplicación informática correspondiente.

— Elaboración de pedidos, notas de envío y órdenes de distribución.

— Comprobación de los datos de los albaranes y anotación de incidencias.

— Introducción de los datos de los albaranes de entrada y elaboración de los listados y albaranes de salidas.

— Manejo de los vehículos y equipos de trabajo necesarios para el desempeño de sus funciones.

— Elaboración de todo tipo de correspondencia, documentos e informes.

— Archivo de la documentación e informes.

— Promover y fomentar el desarrollo de la cultura preventiva y la integración de la prevención en el colectivo de trabajadores.

— Cualquier otra función similar que sea necesario desempeñar para la ejecución de los contratos.

Conductor.

Trabajador que está en posesión del carnet de conducir de la clase «C + E» y realiza los servicios de organización y gestión de almacenes, servicios de archivos, servicios de transporte y traslado y resto de servicios de la empresa. Sus funciones fundamentales serán:

— Conducir cualquier tipo de vehículo de la empresa, con remolque o sin el, de acuerdo con las necesidades de la empresa.

— Cumplimentar la documentación del vehículo y de la carga.

— Controlar y verificar las operaciones de carga, manipulación y descarga de la mercancía.

— Colaborar en transportar, cargar, descargar, recoger y repartir la mercancía transportada en el vehículo.

— Recepcionar todo tipo de mercancías y preparar los pedidos.

— Comprobar los datos de los albaranes, el estado de los embalajes y mercancías, y que las mercancías recibidas se corresponden con el albarán.

— Colocación de las mercancías en su lugar de almacenamiento o en sus jaulas- contenedores para su posterior salida.

— Manejo de los vehículos y equipos de trabajo necesarios para el desempeño de sus funciones (vehículos, carretilla elevadora, transpaleta, carros, etc.).

— Utilización de la aplicación informática correspondiente.

— Colaborar en el desmontaje, carga, descarga y posterior montaje de mobiliario y enseres.

— Respetar y cumplir las normas de carga y descarga, tanto en los centros propios como en los centros de los clientes.

— Realizar las labores necesarias para el correcto funcionamiento, conservación y mantenimiento del vehículo.

— Cubrir los itinerarios fijados por la empresa o los que sean más favorables para el cumplimiento del servicio.

— Comunicar al Jefe de Servicio cualquier anomalía que detecte en el funcionamiento del vehículo.

— Elaborar los informes y partes exigidos por la empresa.

— Promover y fomentar el desarrollo de la cultura preventiva y la integración de la prevención en el colectivo de trabajadores.

— Cualquier otra función similar que sea necesario desempeñar para la ejecución de los contratos. Conductor Repartidor.

Los trabajadores que la empresa adscriba a la categoría de Conductor Repartidor tendrán las mismas funciones que la categoría de Conductor, con la única diferencia que solamente se exigirá el carnet de conducir clase B1 para turismos y camiones que no excedan de 3.500 Kg. Operario de Almacenes o Traslados.

Trabajador que ejecuta las tareas a que se refieren los servicios de organización y gestión de almacenes, servicios de archivos, servicios de transporte y traslado y resto de servicios de la empresa. Sus funciones fundamentales serán:

— Recepción de todo tipo de mercancías.

— Comprobación de los datos de los albaranes, del estado de los embalajes y mercancías, y de que las mercancías recibidas se corresponden con el albarán.

— Colocación de las mercancías en su lugar de almacenamiento o en sus jaulas- contenedores para su posterior salida.

— Manejo de los vehículos y equipos de trabajo necesarios para el desempeño de sus funciones (vehículos, carretilla elevadora, transpaleta, carros, etc.).

— Preparación de los pedidos de mercancías.

— Transporte, carga, descarga, reparto y recogida diaria de los pedidos de mercancías en los centros definidos por los clientes o por la empresa.

— Atención del teléfono y de los pedidos urgentes.

— Utilización de la aplicación informática correspondiente.

— Transporte, recogida, embalaje, carga y descarga de la documentación, mercancías, mobiliario y enseres para su traslado.

— Desmontaje, carga, descarga y posterior montaje de mobiliario y enseres.

— Respetar y cumplir las normas de carga y descarga, tanto en los centros propios como en los centros de los clientes.

— Elaborar los informes y partes exigidos por la empresa.

— Promover y fomentar el desarrollo de la cultura preventiva y la integración de la prevención en el colectivo de trabajadores.

— Cualquier otra función similar que sea necesario desempeñar para la ejecución de los contratos.

Auxiliar.

Los trabajadores que se contraten en la empresa se adscribirán a la categoría de auxiliar y a los tres meses acumulados pasarán, automáticamente, a ocupar la categoría correspondiente (técnico de archivo, administrativo, conductor repartidor, operario de almacenes o traslados).

Auxiliar Conductor.

Los trabajadores que se contraten en la empresa para desempeñar la categoría e conductor con carnet C se adscribirán a la categoría de auxiliar conductor y a los tres meses acumulados pasarán, automáticamente, a ocupar la categoría correspondiente  a conductor.

Además de las categorías profesionales definidas anteriormente, en la empresa podrá existir la función de coordinador.

Función de Coordinador de Turno.

Coordinador no es una categoría, sino una función que se añade a las propias del puesto de trabajo que desempeña el trabajador.

Los trabajadores que hayan sido designados por la Dirección de la Empresa para desempeñar la función de coordinador percibirán el salario que figura en las tablas salariales, mientras realice dichas funciones, dejando de percibir el salario citado desde el momento en que no realice las funciones de coordinador, pasando a la categoría de Técnico de Archivo de 1ª.

Coordinador será el trabajador designado por la empresa para el desempeño de las funciones siguientes:

— Ejecutar las tareas habituales correspondientes a su puesto de trabajo en el archivo.

— Ejecutar las tareas de responsable de turno o proceso (organizar, planificar y supervisar el trabajo, realizar controles de calidad, resolver incidencias en el turno, etc.).

— Colaborar con el Jefe de Servicio en la gestión de los recursos humanos, equipos y materiales.

— Colaborar con el Jefe de Servicio en las tareas de planificación y organización.

— Colaborar con el Jefe de Servicio en las tareas de selección y formación del personal.

— Colaborar con el Jefe de Servicio en la relaciones con los clientes.

— Planificar, coordinar y realizar procesos de organización e implantación de archivos, almacenes y servicios de transporte y traslado.

— Promover y fomentar el desarrollo de la cultura preventiva y la integración de la prevención en la empresa.

Por la realización de dicha función, el trabajador percibirá la cantidad establecida por el concepto de plus de disponibilidad.

En el supuesto de que se produzca alguna reclamación referente al desempeño de las funciones, se discutirá en la comisión paritaria y se acordará una solución.

Capítulo III Régimen Retributivo

Artículo 22. Conceptos Salariales

Las retribuciones de los trabajadores incluidos en el ámbito de aplicación del presente convenio estarán distribuidas, en su caso, entre el salario base y los complementos del mismo.

En consecuencia, a partir de la entrada en vigor del convenio colectivo se procederá a transformar los conceptos salariales para adaptarlos a la nueva estructura retributiva del presente convenio.

Los trabajadores percibirán el salario bruto anual que figura en las tablas salariales del convenio colectivo, distribuido en 12 pagas mensuales y 2 gratificaciones extraordinarias.

Se entenderá por salario hora el cociente que resulte de dividir el salario en cómputo anual que figura en las tablas del convenio, entre la jornada anual de trabajo efectivo pactada.

Los trabajadores con contrato a tiempo parcial percibirán todos los conceptos salariales que les correspondan en proporción a la jornada pactada en su contrato.

El pago de las retribuciones se efectuará por meses vencidos, mediante ingreso en la cuenta corriente o libreta de ahorro, dentro de los cinco días siguientes al mes natural del devengo. El resguardo de la transferencia suplirá la firma del trabajador en el recibo de salarios.

Artículo 23. Salario Base

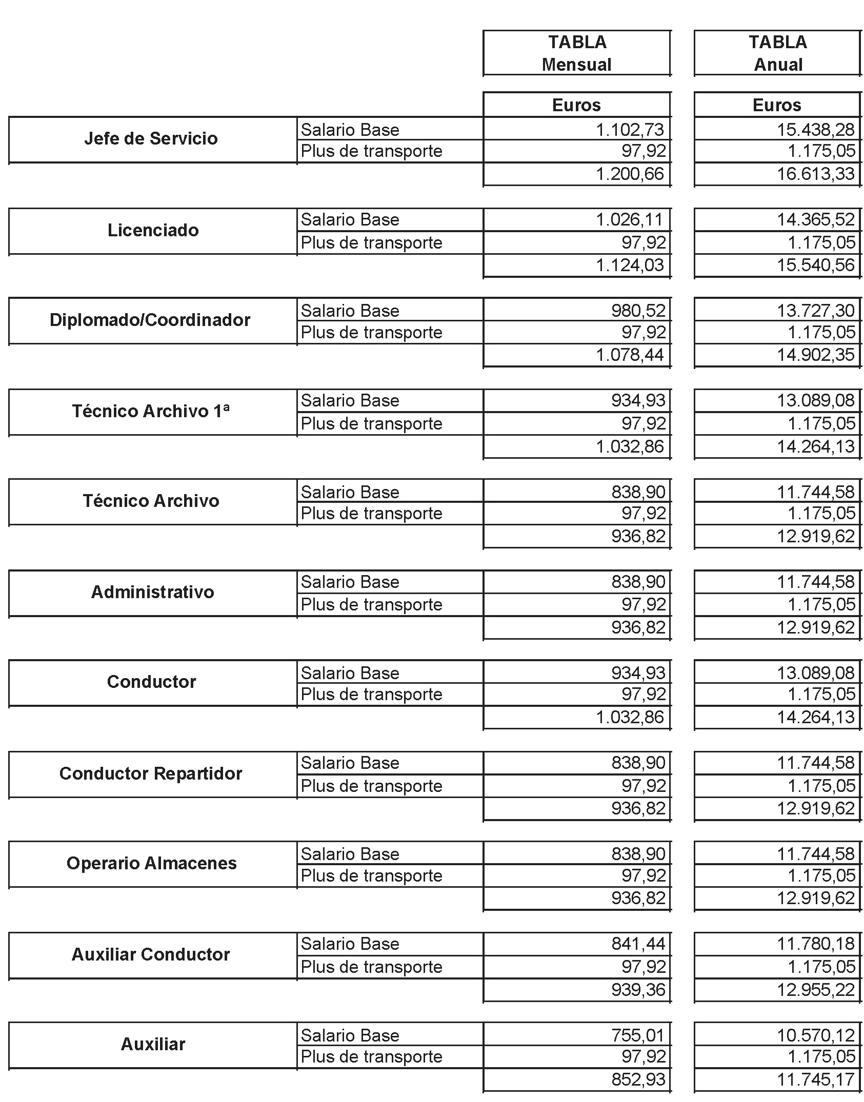
Para cada categoría profesional se establece el salario base que se recoge en las tablas salariales.

El importe anual del salario base se percibirá en 12 mensualidades y remunera la jornada anual de trabajo efectivo, pactada en este acuerdo.

Artículo 24. Gratificaciones Extraordinarias

Durante los meses de julio y diciembre, la empresa abonará a los trabajadores una gratificación extraordinaria con una cuantía de 30 días de salario base, que se percibirá en torno al día 15 de los referidos meses. Dichas gratificaciones extraordinarias se podrán percibir prorroteadas mensualmente, previo acuerdo entre trabajador y empresa.

Artículo 25. Plus de conducción.

Es un complemento de puesto de trabajo y se percibe, exclusivamente, por el hecho de trabajar conduciendo un vehículo de forma continuada durante, al menos, la mitad de la jornada de trabajo de cada día laborable.

Este complemento lo percibirán aquellos trabajadores que hayan sido designados por la empresa para el manejo de vehículos de forma continuada, su cuantía mensual asciende a 55,50 euros brutos al mes y se percibirá en 12 mensualidades.

Para el caso de que se conduzca un vehículo de forma continuada más de la mitad de la jornada algún día suelto, se abonará a razón de 2,64 euros día. A estos efectos se interpreta como tiempo de manejo de los vehículos el propio de conducción y el de carga y descarga.

Artículo 26. Plus De Disponibilidad

Los trabajadores que hayan sido designados por la Dirección de la Empresa para desempeñar la función de coordinador de turno percibirán la cantidad de 120,00 euros brutos al mes, en concepto de plus de disponibilidad, que no tendrá carácter consolidable. Dicho plus se percibirá, exclusivamente, mientras realice las funciones de coordinador y se abonará en 12 mensualidades, dejando de percibirse desde el momento en que no realice las funciones citadas.

Artículo 27. Plus De Trabajo En Festivos

Dada la naturaleza de la actividad y el sector para el que se prestan servicios, se hace necesario trabajar los días festivos del año. Por este motivo, los trabajadores que obligatoriamente tengan que trabajar un día festivo, percibirán la cantidad de 80,00 euros brutos por día efectivamente trabajado.

Artículo 28. Incremento salarial

Para el año 2009 se aplicará como incremento el 1 % y se abonará con efectos retroactivos de 1 de enero.

Con efectos 1 de enero del año 2010, se aplicará un incremento sobre todos los conceptos retributivos igual al IPC real a 31 de diciembre del año 2009.

Con efectos 1 de enero del año 2011 se aplicará un incremento sobre todos los conceptos retributivos igual al IPC real a 31 de diciembre del año 2010.

Con efectos 1 de enero del año 2012 se aplicará un incremento sobre todos los conceptos retributivos igual al IPC real a 31 de diciembre del año 2011.

Artículo 29. Plus De Transporte

Se establece un plus de transporte de 97,14 euros brutos al mes que se devengará por día realmente trabajado y se percibirá en 12 mensualidades.

Artículo 30. Dietas Y Gastos De Locomoción

Todos los viajes por cuenta de la empresa deberán ser conocidos y autorizados, previamente a su inicio, por la Dirección de la Empresa.

Los trabajadores que por necesidades de la empresa tengan que efectuar desplazamientos temporales que exijan que éstos residan en población distinta de la de su domicilio habitual, percibirán en concepto de dietas las cantidades siguientes:

— Dieta completa (gastos de manutención y estancia): será de 45,07 euros brutos/día para todas las categorías. Desayuno 2,80 euros, Comida 9,41 euros, Cena 9,41 euros y Alojamiento 23,45 euros.

Cuando por parte de la Dirección se autorice la utilización de vehículo propio, los gastos de locomoción se abonarán a razón de 0,18 euros brutos/kilómetro.

Capítulo IV Jornada De Trabajo

Artículo 31. Jornada De Trabajo

La jornada de trabajo será de 40 horas semanales de trabajo efectivo, 1.826 en cómputo anual. El tiempo de trabajo se computará de modo que, tanto al inicio como al final de la jornada diaria, el trabajador se encuentre en su puesto de trabajo.

La Dirección de la Empresa tendrá la facultad de adaptar los horarios a las exigencias propias de los sectores para los que se prestan servicios de organización, depósito, custodia, y gestión de archivos; organización, depósito, custodia y gestión de almacenes; organización y gestión de servicios de transporte y traslado de todo tipo de mercancías, mobiliario, enseres y documentación, así como su montaje y desmontaje; y resto de actividades que desarrolla la empresa. Todo ello de conformidad con lo establecido en el artículo 41 del Estatuto de los Trabajadores.

Todos los trabajadores con jornada continuada tendrán derecho a 20 minutos de descanso para el bocadillo, que tendrán la consideración de trabajo efectivo.

Se recoge como Anexo n.º 1 el desarrollo de la jornada de trabajo.

Artículo 32. Horas Extraordinarias.

Las horas que se realicen sobre la duración máxima de la jornada de trabajo pactada, tendrán la consideración de horas extraordinarias y se abonarán a razón de 10,00 euros brutos por hora efectivamente trabajada.

Artículo 33. Vacaciones

El personal regulado por el presente convenio tendrá derecho a veintidós (22) días laborables de vacaciones anuales que se disfrutarán, preferentemente, coincidiendo con los períodos de menor actividad en cada servicio, que en la actualidad son los meses de julio, agosto, septiembre y diciembre, en turnos rotatorios establecidos por la empresa.

Los turnos de vacaciones serán fijados por la empresa, previamente negociados con el delegado de personal, estableciéndose el correspondiente calendario con una antelación de dos meses de la fecha de inicio del disfrute. La fecha de comienzo se hará coincidir con un lunes o con el primer día laborable de su jornada y se disfrutarán por semanas completas.

A efectos de cómputo de vacaciones, éstas se realizarán por año natural del 1 de enero a 31 de diciembre de cada año.

El día 1 de febrero de cada año finalizarán todos los derechos de vacaciones y libranzas del año anterior y, por lo tanto, el que tenga días pendientes los perderá.

En los casos de incapacidad temporal derivada de accidente de trabajo, antes del comienzo de la fecha del disfrute de vacaciones fijada con anterioridad, los trabajadores tendrán derecho a que se fije un nuevo período dentro del año natural.

Una vez iniciado el disfrute de las vacaciones no se suspenderá su cómputo por los procesos de incapacidad temporal.

Capítulo V Formación Y Movilidad

Artículo 34. Formación.

La formación constituye una obligación para el trabajador, fundamentalmente, se estructurará en módulos de corta duración, complementados por formación en el puesto de trabajo.

Cuando por necesidades técnicas, organizativas o de los servicios contratados sea necesario organizar actividades formativas, la realización de los módulos de formación será obligatoria para el trabajador dentro de su jornada de trabajo. En el caso de que la formación se impartiese fuera de la jornada de trabajo se compensará con descanso equivalente.

Los trabajadores que superen un módulo de formación se comprometen a utilizar las técnicas y destrezas adquiridas en el mismo.

Artículo 35. Movilidad Funcional Y Geográfica.

Con respecto a la movilidad funcional y geográfica se estará a lo que disponen los artículos 39 y 40 del Estatuto de los Trabajadores.

Capítulo VI. Conceptos sociales

Artículo 36. Licencias Retribuidas

Los trabajadores, previo aviso y justificación, podrán ausentarse del trabajo, con derecho a retribución por los motivos y el tiempo siguientes:

— Quince días naturales en caso de matrimonio.

— Cuatro días en caso de nacimiento de un hijo, con la garantía de que dos al menos serán días hábiles.

— Tres días en caso de enfermedad grave o fallecimiento de parientes hasta el segundo grado de consanguinidad o afinidad y hermanos políticos.

— Cuatro días en caso de fallecimiento de cónyuge, padres, padres políticos, hijos y hermanos.

— En los supuestos anteriores, cuando se necesite hacer un desplazamiento de 200 kilómetros por cada uno de los viajes de ida y vuelta, los permisos se aumentarán en un día más de lo señalado en cada caso.

— Dos días por traslado del domicilio habitual.

— Dos días al año para asuntos propios, no pudiendo disfrutarse por más de un trabajador por día.

— Por el tiempo indispensable para el cumplimiento de un deber inexcusable de carácter público y personal. Cuando el cumplimiento del deber antes referido suponga la imposibilidad de la prestación del trabajo debido en más del 20 por 100 de las horas laborables en un período de tres meses, podrá la empresa pasar al trabajador afectado a la situación de excedencia forzosa con derecho a recuperación del puesto de trabajo cuando finalice la obligación del cumplimiento del deber de carácter público y personal. Si el trabajador recibiera remuneración económica en el cumplimiento del deber o desempeño del cargo, se descontará el importe de la misma del salario a que tuviera derecho en la empresa.

— Para realizar funciones sindicales o de representación en los términos establecidos en la Ley.

— Un día natural por matrimonio de padre o madre, hijo, hermano o hermano político, en la fecha de celebración de la ceremonia.

— Se concederá al trabajador el tiempo necesario para acudir a una consulta médica, debiendo siempre justificar la consulta.

— En el permiso para exámenes se estará a lo dispuesto en el artículo 23 del Estatuto de los Trabajadores.

— Por causa de fuerza mayor se le abonará el día mediante justificación. Se entiende fuerza mayor la asistencia a juzgados y tribunales.

— En todo lo no previsto sobre permisos en este artículo se estará a lo dispuesto en el Estatuto de los Trabajadores.

Las parejas de hecho registradas legalmente tendrán los mismos derechos que los matrimonios, siempre que acrediten su convivencia.

Todos los permisos deberán solicitarse con la debida antelación, salvo en los casos de fuerza mayor en los que se podrá justificar a posteriori.

Artículo 37. Anticipos Y Préstamos

Todo el personal de la empresa con un año al menos de antigüedad, tendrá derecho a la concesión de un préstamo sin interés hasta el importe de dos mensualidades del salario real por las siguientes causas:

— Fallecimiento del cónyuge, hijos o padres.

— Asistencia médica e internamiento hospitalario del trabajador, de su cónyuge o de sus hijos.

— Obras en la vivienda primaria por siniestro o ruina inminente.

— Nacimiento de hijos, si se requiere internamiento hospitalario.

— Para aquellas obras en la vivienda del trabajador necesarias para su normal utilización.

Dicho préstamo podrá aumentarse a tres mensualidades.

La amortización del préstamo será mensual y no excederá en ningún caso del 20 por 100 del salario real.

Artículo 38. Licencias Sin Sueldo Y Excedencias

El trabajador que lleve como mínimo 2 años de servicio podrá pedir, en caso de necesidad justificada, licencias sin sueldo por plazo no inferior a un mes ni superior a seis. Éstas licencias no podrán solicitarse más de una vez en el transcurso de tres años. La licencia sin sueldo implica la suspensión de la relación laboral mientras dure la misma.

Los trabajadores fijos de plantilla podrán pasar a la situación de excedencia, sin que tengan derecho a retribución alguna en tanto se reincorporen al servicio activo.

La excedencia puede ser voluntaria y forzosa. Los términos y condiciones de dichas excedencias serán los establecidos en la Ley del Estatuto de los Trabajadores.

Artículo 39. Seguro Colectivo

La empresa tiene concertada una póliza de seguro de accidentes para los trabajadores afectados por el presente acuerdo.

Dicha póliza tendrá las coberturas siguientes:

Fallecimiento:

18.030,36 euros

Invalidez total:

18.030,36 euros

Invalidez absoluta:

18.030,36 euros

Gran invalidez:

18.030,36 euros

 Artículo 40. Retirada De Carnet De Conducir Y Multas

Los trabajadores que como consecuencia de conducir un vehículo de la empresa, por orden y cuenta de la misma, les sea retirado el carnet de conducir por un tiempo no superior a tres meses, serán asignados durante ese tiempo a otro trabajo, aunque sea correspondiente a otra categoría, en alguno de los servicios que disponga la empresa y seguirá percibiendo el salario correspondiente a su categoría.

No se aplicará lo previsto en el párrafo anterior en los casos de reincidencia o si la retirada del carnet viene motivada por el consumo de estupefacientes, ingestión de bebidas alcohólicas o por hechos considerados como delito. En estos casos el trabajador causará baja en la empresa.

Las multas impuestas por infracciones de las disposiciones sobre tráfico y seguridad vial, deberán ser abonadas por el trabajador que sea responsable de las mismas.

En los supuestos en que las multas impuestas sean responsabilidad de la empresa, ésta se hará cargo de su abono.

Artículo 41. Incapacidad Temporal

Los trabajadores afectados por el presente convenio que pasen a la situación de incapacidad temporal, tendrán derecho a los complementos siguientes:

— En los casos de incapacidad temporal derivada de accidente de trabajo, la empresa complementará las prestaciones de la Seguridad Social o de la Mutua hasta alcanzar el 100 % de la base reguladora, a partir del primer día de la baja. Idéntico complemento se abonará en los casos de hospitalización mientras el trabajador se encuentre hospitalizado.

— En los casos de incapacidad temporal derivada de enfermedad o accidente no laboral, la empresa complementará las prestaciones de la Seguridad Social o de la Mutua hasta alcanzar las cuantías que se indican a continuación:

— Desde el día 1 hasta el 3 de la baja los trabajadores percibirán el 70 % de la base reguladora.

— Desde el día 4 hasta el 15 de la baja los trabajadores percibirán el 75 % de la base reguladora.

— A partir del 15 día de la baja, la empresa complementará las prestaciones hasta alcanzar el 100 % de la base reguladora.

Este complemento se abonará por un período máximo de 180 días al año.

Artículo 42. Plan De Igualdad.

Los aspectos relacionados con los objetivos de lograr la igualdad efectiva entre mujeres y hombres, conseguir la igualdad de trato y de oportunidades entre hombres y mujeres, favorecer la conciliación laboral, personal y familiar en el ámbito de la empresa y prevenir el acoso sexual y el acoso por razón de sexo en la empresa; se regularán por lo dispuesto en el Plan de Igualdad firmado con la representación legal de los  trabajadores el 15 de enero de 2009.

En este mismo sentido, las partes firmantes del presente convenio hacen constar que cualquiera de las referencias que se hacen en el texto del mismo en términos masculinos (trabajador, jefe, licenciado, diplomado, conductor, administrativo, hijo, etc.), deberán entenderse como un lenguaje genérico, referidos al conjunto de los trabajadores, tanto hombres como mujeres, sin discriminación por razón de sexo.

Artículo 43. Ropa De Trabajo

La empresa facilitará a los trabajadores la ropa de trabajo adecuada para el desempeño de su tarea de acuerdo con lo estipulado en la norma interna aprobada, cuyo uso será obligatorio, comprometiéndose los trabajadores a mantener las prendas en perfecto estado de conservación y a ofrecer una buena imagen personal. La empresa entregará la ropa de trabajo de conformidad con la norma interna aprobada.

Capítulo VII. Régimen Disciplinario

Artículo 44. Definición De Faltas Laborales

Se consideran faltas laborales, todas las acciones u omisiones cometidas por los trabajadores que constituyan incumplimientos de las obligaciones propias de la relación laboral, contrarias al ordenamiento jurídico laboral y a lo estipulado en el convenio colectivo.

En consecuencia los trabajadores podrán ser sancionados por la Dirección de la Empresa de acuerdo con la graduación de faltas y sanciones establecidas en el presente convenio colectivo.

Artículo 45. Clasificación De Faltas Laborales

La totalidad de las faltas cometidas por los trabajadores se clasificarán, atendiendo a la importancia, trascendencia, conveniencia o fraude, negligencia e intencionalidad del trabajador, en leves, graves y muy graves.

1.1.— Por faltas de puntualidad, asistencia y abandono de trabajo

Se considerarán faltas leves:

— Hasta cinco faltas de puntualidad en seis meses o diez en un año.

— Faltar un día al trabajo en un período de treinta, sin causa justificada.

— No notificar con carácter previo o, en su caso, dentro de las 24 horas siguientes a la falta, salvo caso de fuerza mayor, la razón de la ausencia al trabajo, a no ser que se pruebe la imposibilidad de haberlo hecho.

— Las faltas de asistencia, entre un 5 % y un 25 % de las horas impartidas, a un curso de formación, sin causa justificada.

Se considerarán faltas graves:

— Más de cinco faltas de puntualidad en seis meses o de doce en un año.

— De una a cinco faltas de asistencia al trabajo en un período de treinta. Una sola si es anterior o posterior a un festivo.

— El abandono del trabajo sin causa justificada.

— Las faltas de asistencia, en más de un 15 % de las horas impartidas, a un curso de formación, sin causa justificada.

Se considerarán faltas muy graves:

— Más de diez faltas no justificadas de puntualidad cometidas en un período de seis meses, o veinte en un año.

— Las faltas injustificadas al trabajo durante tres días consecutivos o cinco alternos en un período de treinta.

— El abandono del trabajo sin causa justificada, si como consecuencia del mismo, se causase perjuicio de alguna consideración a la Empresa o fuere causa de un accidente de trabajo.

— La falta de asistencia a un curso de formación, sin causa justificada.

1.2.— Por incumplimientos en materia de prevención de riesgos

Se considerarán faltas leves:

— No utilizar la ropa de trabajo o tenerla en un mal estado de conservación y limpieza.

— Arrojar basuras, desperdicios, etc. fuera de los lugares o recipientes destinados al efecto.

— La falta de orden y limpieza en las instalaciones, equipos y lugares de trabajo.

Se considerarán faltas graves:

— El incumplimiento de las disposiciones internas de la Empresa en materia de prevención y protección de riesgos.

— El incumplimiento de las obligaciones de los trabajadores en materia de prevención y protección establecida por la normativa sobre prevención de riesgos laborales.

— La imprudencia o negligencia en un acto de trabajo.

— Permitir que los subordinados realicen sus tareas incumpliendo la normativa sobre prevención de riesgos laborales y las disposiciones internas de la Empresa sobre esta materia.

— No utilizar los equipos de protección individual en los lugares o puestos de trabajo en los que esté obligado su uso.

— La falta de orden y limpieza, si como consecuencia de ello, se causase perjuicio de alguna consideración a la Empresa o fuere causa de un accidente de trabajo.

Se considerarán faltas muy graves:

— Retirar o modificar, sin causa justificada, los dispositivos de protección o seguridad de las instalaciones, equipos o útiles de trabajo.

— El incumplimiento de las disposiciones internas de la Empresa en materia de prevención y protección de riesgos, si como consecuencia de ello se produce un accidente grave o muy grave.

— No utilizar los equipos de protección individual en los lugares o puestos de trabajo en los que esté obligado su uso, si como consecuencia de ello se produce un accidente grave o muy grave.

— Permitir que los subordinados realicen sus tareas  incumpliendo la normativa sobre prevención de riesgos laborales y las disposiciones internas de la Empresa sobre esta materia, si como consecuencia de ello se produce un accidente grave o muy grave.

— El incumplimiento de las obligaciones de los trabajadores en materia de prevención y protección establecida en la normativa sobre prevención de riesgos laborales, si como consecuencia de ello se produce un accidente grave o muy grave.

— La imprudencia o negligencia en un acto de trabajo que implique riesgo de accidente para el trabajador, para sus compañeros, o peligro de avería en las instalaciones de la Empresa. En todo caso se considerará imprudencia en acto de trabajo la no utilización de los mecanismos de prevención, medidas de protecciones individuales o colectivas y aparatos de seguridad de carácter obligatorio.

1.3.— Por incumplimientos en las relaciones con el resto del personal.

Se considerarán faltas leves:

— Las discusiones con los compañeros, por asuntos ajenos al trabajo, dentro de la jornada laboral.

Se considerarán faltas graves:

— La falta de educación o consideración en el trato a los compañeros de trabajo o al público.

— La falta de aseo y limpieza, así como, presentar una imagen personal deteriorada o descuidada.

Se considerarán faltas muy graves:

— Las ofensas verbales o físicas, el abuso de autoridad y la falta grave de respeto al empresario, a su línea de mando o a sus familiares, así como a sus compañeros y subordinados.

— El acoso sexual, entendiendo por tal cualquier comportamiento, verbal o físico, de naturaleza sexual que tenga el propósito o produzca el efecto de atentar contra la dignidad de una persona, en particular cuando se crea un entorno intimidatorio, degradante u ofensivo.

— El acoso por razón de sexo, entendiendo por tal cualquier comportamiento realizado en función del sexo de una persona, con el propósito o el efecto de atentar contra su dignidad y de crear un entorno intimidatorio, degradante u ofensivo.

1.4.— Por negligencia y disminución voluntaria del rendimiento.

Se considerarán faltas leves:

— Leer toda clase de impresos, libros, periódicos, revistas, etc., no relacionadas con el trabajo, durante la jornada laboral.

— Recibir visitas particulares durante las horas de trabajo.

— El abandono o descuido en la conservación de las instalaciones, equipos, máquinas, herramientas y útiles de trabajo.

Se considerarán faltas graves:

— Causar trastornos en la marcha del trabajo por negligencia simple.

— Las distracciones graves o sistemáticas en el trabajo.

— Entregarse a toda clase de juegos durante la jornada de trabajo.

— No comunicar a los jefes inmediatos las anomalías que se observen en las instalaciones, equipos, materiales, productos y sustancias, durante el desarrollo del trabajo.

Se considerarán faltas muy graves:

— La disminución continuada y voluntaria en el rendimiento de trabajo.

— Causar trastornos en el trabajo por negligencia grave.

— Dormir durante la jornada laboral.

1.5.— Por indisciplina o desobediencia.

Se considerarán faltas leves:

— Realizar trabajos que no le hayan sido encomendados.

— Los retrasos habituales en el cumplimiento de las instrucciones que se le hayan encomendado.

— Entrar en el centro de trabajo sin causa justificada, en horas en las que no le corresponde trabajar.

Se considerarán faltas graves:

— Cambiar de turno o puesto de trabajo sin la debida autorización.

— Negarse a comparecer ante el instructor de un expediente disciplinario.

— Negarse a asistir a los reconocimientos médicos ordenados por la Dirección de la Empresa.

— Fijar carteles o escribir letreros en cualquier dependencia de la Empresa sin la debida autorización.

— La desobediencia en materia de trabajo, incluida la resistencia y obstrucción a nuevos métodos de trabajo.

— Utilizar un equipo de trabajo sin autorización expresa.

— Introducir en el centro de trabajo a personas ajenas al mismo, sin la debida autorización.

— Permanecer fuera del lugar habitual de trabajo y en los vestuarios sin autorización.

Se considerarán faltas muy graves:

— La indisciplina o desobediencia en el trabajo, si con ello se causa perjuicio a la Empresa o a sus compañeros.

1.6.— Por mala fe y abuso de confianza.

Se considerarán faltas leves:

— La complicidad y encubrimiento de faltas leves.

— La utilización del teléfono, fax, fotocopiadora o correo electrónico de la Empresa, para asuntos particulares, sin la debida autorización.

Se considerarán faltas graves:

— Simular la presencia de otro trabajador firmando o fichando por él.

— La complicidad o encubrimiento de faltas graves y muy graves.

— La utilización de forma reiterada del teléfono, fax, fotocopiadora o correo electrónico de la Empresa, para asuntos particulares, sin la debida autorización. Esta falta se considerará muy grave si se causase un perjuicio importante a la Empresa.

— La utilización o instalación de programas de ordenador y la conexión a internet, sin la debida autorización.

— Solicitar u obtener permiso basándose en causas falsas o inexistentes.

— El deterioro de carteles o avisos colocados en el tablón de anuncios.

— La embriaguez y el estado derivado del consumo de drogas durante el trabajo de forma no habitual.

Se considerarán faltas muy graves:

— La transgresión de la buena fe contractual y el abuso de confianza en el desempeño del trabajo, así como, el fraude o deslealtad en las gestiones encomendadas y el hurto o robo, tanto a sus compañeros de trabajo como a la Empresa o a cualquier otra persona dentro de las dependencias de la misma o durante el trabajo en cualquier otro lugar.

— Los delitos de robo, estafa, malversación, cometidos fuera de la Empresa o cualquiera otra clase de delito común que pueda implicar para ésta desconfianza hacia su autor, salvo que haya sido absuelto de los mismos.

— La utilización o instalación de programas de ordenador y la conexión a internet, de forma reiterada, sin la debida autorización, si con ello se causase un perjuicio importante a la Empresa.

— Realizar trabajos particulares durante la jornada, así como el empleo, para usos propios, de instalaciones, equipos, productos, sustancias y útiles de trabajo de la Empresa.

— La realización de actividades que impliquen competencia desleal a la Empresa.

— Inutilizar, destrozar y causar desperfectos de forma premeditada en instalaciones, materiales, productos, sustancias, equipos, documentación, etc. de la Empresa.

— La embriaguez y el estado derivado del consumo de drogas durante el trabajo de forma habitual.

1.7.— Por incumplimientos relacionados con la información y las bajas laborales.

Se considerarán faltas leves:

— No comunicar a la Empresa los cambios de residencia o domicilio.

— No facilitar la información o documentación solicitada por la Empresa.

Se considerarán faltas graves:

— No comunicar, con la puntualidad debida, los cambios experimentados en la familia que puedan afectar a la Seguridad Social o al Impuesto sobre la Renta de las Personas Físicas.

— Ocultar cualquier tipo de enfermedad que padezca.

Se considerarán faltas muy graves:

— La falsedad de los datos facilitados a la Empresa que tengan relación con la Seguridad Social y el Impuesto sobre la Renta de las Personas Físicas.

— Violar el secreto de la correspondencia o de documentos reservados de la Empresa, o revelar a extraños a la misma, datos de reserva obligada.

— No guardar la debida confidencialidad sobre la información o datos de la empresa a los que tiene acceso en función del desempeño de su puesto de trabajo.

— La simulación de enfermedad o accidente. Se entenderá que existe falta, cuando el trabajador en situación de baja por tales motivos realice trabajos de cualquier índole por cuenta propia o ajena. También se comprenderá en este apartado toda manipulación hecha para prolongar la baja por accidente o enfermedad.

— El incumplimiento, por los enfermos o accidentados, de las prescripciones del Servicio Médico.

Artículo 46. Sanciones

Las faltas laborales cometidas por los trabajadores se sancionarán de acuerdo con los criterios siguientes:

Por faltas leves:

— Amonestación verbal.

— Amonestación por escrito.

— Suspensión de empleo y sueldo hasta 2 días.

Por faltas graves:

— Amonestación por escrito.

— Suspensión de empleo y sueldo hasta 20 días.

Por faltas muy graves:

— Suspensión de empleo y sueldo hasta 60 días.

— Despido.

Artículo 47. Procedimiento Sancionador.

Corresponde a la Dirección de Recursos Humanos la facultad de imponer sanciones de conformidad con lo establecido en el presente convenio y en el ordenamiento jurídico laboral.

En todo caso las sanciones se comunicarán por escrito a los trabajadores, haciendo constar la fecha y los hechos que las motivan.

Los representantes de los trabajadores tendrán derecho a la apertura de un expediente contradictorio en el supuesto de sanciones por faltas graves o muy graves, en el que serán oídos, además del interesado, el resto de representantes.

La empresa informará a los representantes legales de los trabajadores de todas las sanciones impuestas por faltas graves y muy graves.

Por último, la Empresa se reserva el derecho de iniciar un expediente disciplinario para los casos que estime necesarios por su notoria trascendencia y en especial en las faltas muy graves, en cuyo caso, además de los trámites expuestos, dará audiencia previa al trabajador o trabajadores afectados, que podrán ser acompañados de un asesor, concediéndole un plazo de 5 días para que pueda formalizar las alegaciones.

Artículo 48. Prescripción

Las faltas cometidas por los trabajadores prescribirán de la forma que a continuación se indica:

— Faltas leves a los diez días.

— Faltas graves a los veinte días.

— Faltas muy graves a los sesenta días.

Todas ellas, a partir de la fecha en que la Dirección de Recursos Humanos tuvo conocimiento de su comisión y, en todo caso, a los seis meses de haberse cometido.

Para el cómputo de los plazos de prescripción se tendrán en cuenta los días hábiles según el calendario laboral de la Empresa.

Asimismo, el plazo de prescripción quedará interrumpido cuando el propio trabajador o su representante tengan conocimiento de la decisión de la Empresa de imponerle una sanción y, en todo caso, en el momento de iniciar un expediente disciplinario.

Artículo 49. Anotación De Las Sanciones

De toda sanción que se imponga quedará constancia en el expediente personal de cada trabajador, teniéndose en cuenta las faltas y sanciones en ellos contenidas a efectos de la posible reincidencia.

Artículo 50. Aplicación De Las Sanciones.

Las sanciones impuestas por la Empresa tendrán efectividad inmediata.

Capítulo VIII. Salud Laboral Y Derechos Sindicales

Artículo 51. Salud Laboral.

La empresa y los trabajadores comprendidos en el ámbito funcional de este Convenio, con el ánimo de reducir riesgos, se comprometen a la observación y cumplimiento de la Ley de Prevención de Riesgos Laborales, Ley 31/1995, de 8 de noviembre, del Reglamento de Servicios de Prevención, Real Decreto 39/1997, de 17 de enero y demás normativa de desarrollo.

Artículo 52. Derechos Sindicales

Los aspectos relacionados con los derechos sindicales, se regirán por lo establecido en la legislación vigente.

Las horas sindicales serán acumulables trimestralmente.

Anexo n.º 1

Jornada de trabajo para el personal del servicio de distribución de mercancías del área hospitalaria Virgen Macarena

Artículo 1. Jornada del personal de distribución.

La jornada será de 40 horas semanales de trabajo efectivo, prestadas de lunes a viernes, a razón de 8 horas diarias en régimen de jornada continua en turno de mañana, con los horarios siguientes:

— Turno de mañana de 07.00 a 15.00 horas.

— Turno de mañana de 08.00 a 16.00 horas.

Jornada de trabajo para el personal del servicio de transporte de historias clínicas del área hospitalaria Virgen Macarena.

Artículo 2. Jornada del personal de transporte de historias clínicas.

La jornada será de 40 horas semanales de trabajo efectivo, prestados de lunes a viernes, a razón de 8 horas diarias en régimen de jornada de mañana, con el horario de 07.00 a 15.00 horas.

Jornada de trabajo para el personal del servicio del archivo de indias.

Artículo 3.— Jornada del personal del archivo de indias.

La jornada será de 40 horas semanales de trabajo efectivo, prestados de lunes a viernes, a razón de 8 horas diarias en régimen de jornada de mañana, con el horario de 08.00 a 16.00 horas.

Disposición adicional primera.

En el caso de que el Área Sanitaria Virgen Macarena declare como festivos los días 24 y 31 de diciembre, los trabajadores de la empresa disfrutarán dichos días como festivos especiales.

Para el supuesto de que el Área Sanitaria realice una programación de entregas y los trabajadores de la empresa tengan que prestar servicios en dichos días, percibirán el plus de festivos.

Disposición adicional segunda.

La empresa se compromete a abonar la cantidad de 140,00 euros brutos, en concepto de gratificación, que se abonará en la nómina del mes de septiembre de los años 2011 y 2012.

Asimismo, la empresa se compromete a que al finalizar la vigencia del convenio, durante el año 2012, dicha cantidad se dividirá en 14 pagas y se incorporará al salario base.

Imagen

Imagen