17469  documentos en la base de datos
Convenios por Federación
♦ FICA
♦ FeSMC
♦ FeSP
 

III. OTRAS DISPOSICIONES

MINISTERIO DE EMPLEO Y SEGURIDAD SOCIAL

 

Resolución de 20 de septiembre de 2012, de la Dirección General de Empleo, por la que se registra y publica el Convenio colectivo para el sector de conservas, semiconservas, ahumados, cocidos, secados, elaborados, salazones, aceite y harina de pescados y mariscos.

Visto el texto del Convenio colectivo para el sector de conservas, semiconservas, ahumados, cocidos, secados, elaborados, salazones, aceite y harina de pescados y mariscos, Código de Convenio n.º: 99001315011981, que fue suscrito con fecha 11 de mayo de 2012, de una parte por la organización empresarial FEICOPESCA en representación de las empresas del sector, y de otra por los sindicatos UGT y CC.OO, en representación de los trabajadores, y de conformidad con lo dispuesto en el artículo 90, apartados 2 y 3, de la Ley del Estatuto de los Trabajadores, Texto Refundido aprobado por Real Decreto Legislativo 1/1995, de 24 de marzo, y en el Real Decreto 713/2010, de 28 de mayo, sobre registro y depósito de convenios y acuerdos colectivos de trabajo,

Esta Dirección General de Empleo resuelve:

Primero.

Ordenar la inscripción del citado Convenio Colectivo en el correspondiente Registro de convenios y acuerdos colectivos de trabajo con funcionamiento a través de medios electrónicos de este Centro Directivo, con notificación a la Comisión Negociadora.

Segundo.

Disponer su publicación en el «Boletín Oficial del Estado».

Madrid, 20 de septiembre de 2012. El Director General de Empleo, Xavier Jean Braulio Thibault Aranda.

 

CONVENIO COLECTIVO PARA EL SECTOR DE CONSERVAS, SEMICONSERVAS, AHUMADOS, COCIDOS, SECADOS, ELABORADOS, SALAZONES, ACEITE Y HARINA DE PESCADOS Y MARISCOS. AÑOS 2011, 2012, 2013 Y 2014

 

Capítulo I. Extensión.

Artículo 1. Ámbito funcional.

El presente Convenio regula las relaciones de trabajo entre las empresas dedicadas a la manipulación, conservación, elaboración o preparación de productos semitransformados de pescados y mariscos, de éstos y otros componentes.

Por tanto, y a efectos aclaratorios, se consideran comprendidos en este ámbito todas las industrias que con cualquier sistema de manipulación del pescado o marisco sometan a éstos a la tarea de preparación previa a la conservación y entendiéndose como tal las conservas, semiconservas, ahumados, cocidos, secados, elaborados, salazones, aceite y harina de pescados y mariscos u otras.

Asimismo, quedarán comprendidos las actividades auxiliares, tales como talleres de fabricación de envases, talleres mecánicos, plantas de tratamiento de residuos, etc., siempre que constituyan dependencia y estén al servicio de la empresa, respetando las mejoras económicas que tengan establecidas.

Artículo 2. Ámbito personal.

El Convenio incluye a la totalidad del personal ocupado por las citadas Empresas, con exclusión del que se enumera en el artículo 2.1.a), del Estatuto de los Trabajadores.

Quedan excluidos los cargos de alta dirección y alto consejo en que concurran las características y circunstancias señaladas en el artículo 2.1.a), del Estatuto de los Trabajadores. Sin embargo, el personal técnico o administrativo que cumpla funciones pertenecientes a cualquiera de las categorías profesionales que en este Convenio quedan definidas y que con carácter temporal o sólo parcialmente asuman funciones propias de dirección, no quedará excluido de la protección que otorga a los encuadrados en la misma.

Artículo 3. Ámbito territorial.

Este Convenio se aplicará en todo el territorio del Estado Español.

Artículo 4. Ámbito temporal.

El presente convenio tendrá vigencia a partir del día siguiente a su publicación en el «Boletín Oficial el Estado». No obstante, sus efectos económicos se retrotraerán al día 1 de enero 2011.

La duración del convenio se estipula en cuatro años, es decir, en el periodo comprendido entre el 1 de enero del año 2011 y el 31 de diciembre del año 2014.

El presente Convenio, será prorrogado por períodos de un año, siempre que no medie la oportuna denuncia, con un mes mínimo de antelación. La representación que realice la denuncia, lo comunicará a la otra parte, expresando detalladamente en la comunicación, que deberá ser por escrito, la legitimación que ostenta, los ámbitos del convenio y las materias objeto de negociación. La comunicación deberá efectuarse simultáneamente con el acto de la denuncia. De esta comunicación, se enviará copia, a efectos de registro, a la Autoridad Laboral correspondiente.

Una vez denunciado el Convenio, en el plazo máximo de un mes a partir de la comunicación se procederá a constituir la Comisión Negociadora. La parte receptora de la comunicación deberá responder a la propuesta de negociación y ambas partes establecerán un calendario o plan de negociación, debiéndose iniciar ésta en un plazo máximo de quince días a contar desde la constitución de la Comisión Negociadora.

El plazo máximo para la negociación será de 24 meses a contar desde la fecha de finalización del convenio anterior. Transcurridos dos años desde la denuncia del Convenio sin que se haya acordado un nuevo Convenio o dictado un laudo arbitral, se mantendrá en vigor todo el contenido del presente Convenio hasta la firma del siguiente que le sustituya.

Agotado el plazo máximo para la negociación, las partes se podrán adherir voluntariamente a los procedimientos del Servicio Interconfederal de Mediación y Arbitraje (SIMA), para solventar de manera efectiva las discrepancias existentes tras el transcurso del plazo máximo de negociación sin alcanzarse un acuerdo.

Capítulo II. Organización del trabajo.

Artículo 5. Iniciativa en el sistema y organización del trabajo.

El sistema de trabajo que debe emplearse se deja a la iniciativa de la Dirección de la Empresa. Ello, no obstante, y cualquiera que fuere el sistema adoptado, las Empresas darán cuenta al Comité de Empresa, en su caso, a los representantes elegidos por los trabajadores de todas aquellas aclaraciones que por los mismos les fueren razonadamente requeridas sobre este extremo.

Cualquiera que sea el sistema de control del tiempo o incentivo que se aplique deberá ajustarse a las reglas que se prevén en los artículos siguientes.

Actividad normal: La actividad normal de trabajo es la desarrollada por el operario medio, que actúa bajo una dirección competente pero sin el estímulo de un sistema de remuneración al rendimiento y sin coacción alguna, esto es, la cantidad de trabajo prestado efectivamente por un obrero capacitado y ambientado al puesto de trabajo, desarrollando una actividad mínima normal equivalente a 4,800 kilómetros por hora andando, que ha sido determinado por un correcto cronometraje.

Actividad normal: La actividad normal viene fijada por 100 unidades centesimales, 60 puntos Bedaux o su equivalente en otros sistemas de medición que sean internacionalmente aceptados.

Actividad media: Es actividad media la que corresponde a 120 unidades centesimales, 70 puntos Bedaux o su equivalente.

Actividad óptima: Se considera actividad óptima la que puede desarrollar un productor activo, adiestrado en el trabajo, que logra alcanzar con seguridad el nivel de calidad y precisión fijados para la tarea encomendada. Esta actividad está valorada en 133 unidades centesimales, 80 puntos Bedaux o equivalente.

Actividad exigida: La actividad exigida en el presente Convenio es la de 100 unidades centesimales, 60 puntos Bedaux o equivalente.

Funciones de la Empresa en la organización del trabajo: Se establece específicamente que la facultad de organización del trabajo corresponde exclusivamente a la Dirección de la Empresa y, en consecuencia, se señalan, entre otras, las siguientes funciones:


Exigencias de la actividad normal fijada en este Convenio.

Adjudicación del número de máquinas o puestos al trabajador a rendimiento normal.

Especificaciones de la calidad del trabajo.

Capítulo III. Del personal.

Artículo 6. Disposiciones generales.

Las clasificaciones del personal consignadas en este Convenio son meramente enunciativas y no suponen la obligación de tener provistas todas las plazas, oficios y ocupaciones que después se enumeran si las necesidades y volumen de la Empresa no lo exigen.


Son asimismo enunciativos los distintos cometidos asignados a cada categoría o especialidad, pues cuando las necesidades de la industria lo requieran los trabajadores que no tuvieran ocupación en las funciones habituales señaladas a su clasificación y categoría laboral podrán ser destinados a realizar otros trabajos propios del grupo de fabricación a que pertenezcan.

Artículo 7. Clasificación según la permanencia.

El personal ocupado en las industrias sujetas a este Convenio se clasificará, según la permanencia y de acuerdo con su contrato laboral, en fijo, y de contratación temporal.

1. Personal fijo.

En este personal se distinguirán dos clases:

1.1 De carácter continuo: Que es aquel que se precisa de modo permanente para realizar el trabajo exigido por la explotación normal de la industria y que, contratado por tiempo indefinido, presta sus servicios, de modo estable y continuado, en fábrica, taller o dependencia de la Empresa, aún cuando circunstancialmente no efectúe trabajo de su categoría, ocupándose en otras funciones análogas correspondientes al grupo profesional a que pertenece.

Tendrá la consideración de fijo de carácter continuo:

a) El personal adscrito a secciones o dependencias de actividades o funciones de naturaleza permanente y, por tanto, no afectadas directamente por las intermitencias del trabajo en la industria conservera.

b) El trabajador no comprendido en el párrafo anterior que haya prestado sus servicios en la misma empresa durante cinco años consecutivos con un promedio de más de 350 días de trabajo al año; se considerarán también como trabajados los días durante los cuales el trabajador haya percibido salario o indemnización económica correspondiente a la incapacidad temporal, domingos, festivos, vacaciones o permisos y licencias retribuidas.

1.2 De carácter discontinuo o intermitente: Es aquel que habitualmente es llamado para la realización de las faenas propias de la Empresa pero que actúa intermitentemente en razón a la falta de regularidad en el trabajo de la industria conservera.

Como normas especiales que afectan al personal de esta clase se respetarán las siguientes:

a) – Figurarán en las relaciones de este personal de carácter fijo-discontinuo el que haya sido contratado como tal.

b) – Siendo la falta de regularidad en el trabajo, característica de la industria, se hace constar, y así se pacta, que en cada suspensión de trabajo del trabajador fijo-discontinuo no se considerará extinguida sino tan sólo interrumpida la relación laboral, y al ser estas suspensiones derivadas de la falta de regularidad en el trabajo consustanciales al desenvolvimiento de la industria, no se considerarán éstas debidas a la concurrencia de causas económicas o tecnológicas. Las suspensiones de otro carácter tendrán la regulación establecida en la normativa vigente para cada caso.

c) – Los trabajadores fijos-discontinuos deberán ser llamados cada vez que vayan a llevarse a cabo las actividades para las que fueron contratados, aún cuando, y dado el carácter propio de la industria, el llamamiento del personal fijo-discontinuo podrá hacerse gradualmente en función de las necesidades que exija en cada momento el volumen de trabajo a desarrollar y deberá efectuarse dentro de cada especialidad por orden relativo y sucesivo de antigüedad y categoría, de modo tal que cumplan todos los trabajadores el mismo período útil de trabajo al cabo del año, computado éste a partir de la iniciación de las actividades en cada temporada de trabajo. Si por el carácter de la propia industria en su desenvolvimiento, a un grupo de trabajadores le faltasen días de trabajo para cumplir el mismo período útil de los otros grupos anteriormente llamados, este grupo afectado será el primero en ser llamado, de modo tal que se produzca la compensación necesaria para que se dé la circunstancia de igualdad establecida. A continuación se iniciará el turno de llamamiento por el orden establecido en este apartado d), respetándose en todo caso las mejores condiciones que pudieran tener los trabajadores en cada provincia y en cada caso.

El llamamiento al personal se efectuará mediante la oportuna comunicación que ha de practicarse de forma comprobable y el trabajador tendrá un plazo de 72 horas (tres días) dentro de las cuales pueden incorporarse a las tareas.

En caso de incumplimiento de la modalidad de este llamamiento, el trabajador podrá presentar reclamación por despido ante la Jurisdicción competente iniciándose el plazo para ello desde el día que tuviese conocimiento de la falta de la convocatoria.

Para constancia del trabajador, en el tablón de anuncios de la Empresa, se irá situando la relación de productores llamados en cada momento para que todo trabajador pueda comprobar que se respeta el orden relativo y sucesivo de antigüedad a que se hizo referencia.

d) – En cada suspensión de trabajo, como se expresó, no se considerará extinguida la relación laboral, sino tan sólo interrumpida.

Para que produzca efectos la suspensión del contrato, ésta deberá ser notificada al trabajador por escrito y justificando en la misma la necesidad de la suspensión.

Se acreditará la circunstancia tal cual viene haciéndose hasta el momento, por certificación de la Cofradía de Pescadores, Cámara de Comercio, Organización de Productores, etc.

En todo caso, de cada suspensión se dará cuenta por cada Empresa a la representación sindical existente en la misma y a la de los sindicatos firmantes de este acuerdo.

e) – Los trabajadores fijos-discontinuos tendrán derecho preferente por orden de antigüedad a ocupar las vacantes del personal fijo de carácter continuo que se produzcan en el respectivo grupo o especialidad.

f) – No podrá suspenderse la actividad de trabajadores fijos-discontinuos mientras permanezcan en alta en la empresa productores contratados con carácter temporal.

g) – Las Empresas el día anterior al llamamiento, presentarán en las oficinas del Servicio Público de Empleo una relación de los trabajadores llamados, la cual será visada o sellada en el acto y la misma se expondrá en el tablón de anuncios de los correspondientes centros de trabajo, enviándose una copia de ésta a los sindicatos firmantes del acuerdo.

En esta relación constarán los siguientes datos:

– Nombre de la Empresa.

– Nº de la Seguridad Social de la Empresa.

– Nombre y apellidos del trabajador/a.

– Documento Nacional de Identidad y n.º de la Seguridad Social de cada trabajador.

– Nº de días trabajados en los últimos 5 años separadamente.

Los trabajadores eventuales que hayan permanecido en alta en la empresa 240 días por año, durante los cinco años anteriores consecutivos anteriores a la entrada en vigor del presente Convenio, adquirirán la condición de fijos discontinuos.

Asimismo, los trabajadores eventuales que a partir de la entrada en vigor del presente Convenio, durante tres años consecutivos, o cinco alternos, permanezcan en alta en la empresa 225 días por año, adquirirán la condición de fijos discontinuos.

El régimen jurídico y regulación legal y contractual que establece el presente Convenio será de aplicación a todos los trabajadores fijos discontinuos afectados por el mismo, con independencia de su fecha de contratación.

2. Personal de contratación temporal.

En las distintas figuras de contratación temporal que puede practicar la empresa, deberá dar preferencia en lo posible en las reiteraciones de tales tipos de contratación a aquellos productores que ya hayan prestado servicios en la misma.

Cuando circunstancias tales como exceso de pedidos, presión de los mercados, abundancia de primeras materias u otras, lo exigieran, aun tratándose de la actividad normal de la empresa podrá en contrato eventual tener una duración, dentro de un periodo de dieciocho mensualidades, de doce meses, atendiendo en todo momento y en lo posible a lo establecido en el párrafo anterior.

Cuando se contrate al trabajador para la realización de una obra o servicio determinado, con autonomía y sustantividad propia dentro de la actividad de la empresa y cuya ejecución, aunque limitada en el tiempo, sea en principio de duración incierta, dicho contrato no podrá tener una duración superior a tres años.

3. Estabilidad de plantillas.

Consideran ambas partes que habida cuenta de las características de la actividad que viene marcada por una acusada aleatoriedad en el suministro de primeras materias y subsiguientemente por actividad productiva irregular. Es objetivo a alcanzar, durante la vigencia del presente convenio, la estabilidad de las plantillas, y en la que la contratación eventual y externa, responde única y exclusivamente a las circunstancias excepcionales. Con ello se lograría, entre otras:

● Una mejor organización.

● Unas mejores relaciones humanas con una mayor vinculación del personal a la empresa.

● Unos mayores índices de productividad.

● Una mejor calidad en los elaborados por especialización del personal, etc...

A los efectos de alcanzar tal objetivo, en los parámetros de actividad productiva irregular, las partes consideran que la elasticidad que proporciona el personal fijo-discontinuo se adapta perfectamente a las necesidades de la industria conservera, y que es por tanto precisa la incentivación de esta modalidad de contratación.

A tal fin las partes acuerdan:

A) Casualizar la contratación temporal y proveniente de E.T.T. con la definición de criterios y condiciones para su eventual utilización.

En este sentido, durante la vigencia del presente Convenio Colectivo, los actuales contratos eventuales, temporales y provenientes de E.T.T., se adecuarán a las situaciones de excepción siguientes:

1. Cubrir bajas derivadas de I.T.

2. Por ausencias imprevistas.

3. Trabajos que por su especial cualificación no puedan ser cubiertos por el personal de plantilla. En este sentido se encuadrarían los oficios propios (electricistas, fontaneros, mecánicos, etc.).

4. La realización de pedidos imprevistos y no contemplados dentro de los planes productivos de las empresas.

5. Abundancia de materias primas y siempre que suponga una excepción dentro de cada campaña.

B) El que no se efectúe contratación de personal en régimen de contratación temporal o a tiempo parcial ni se haga uso de trabajadores cedidos por terceras empresas, mientras no tenga plena ocupación todo el personal fijo y fijo-discontinuo de la empresa.


Artículo 8. Clasificación según la función.

El personal se clasifica y distribuye, teniendo en cuenta las funciones que realiza, en los grupos profesionales que a continuación se indican:

1. Personal técnico.

2. Personal Administrativo y de Mecanización.

3. Personal de comercialización.

4. Personal Subalterno.

5. Personal de Fabricación.

6. Personal de Oficios Varios.

Grupo 1. Personal técnico.

a) Técnicos titulados:

a.1 Con título superior.

a.2 Con título no superior.

b) Técnicos no titulados:

b.1 Directores de Personal:

b.1.1 Director de Personal de Empresa.

b.1.2 Director de Personal de Centro de Trabajo.

b.2 Director de Compras.

b.3 Director de Fabricación.

b.4 Encargado general.

b.5 Encargado de sección.

Grupo 2. Personal Administrativo y de Mecanización.

a) Administrativo:

a.1 Jefe de administración.

a.2 Jefe de sección administrativa.

a.3 Oficial de primera.

a.4 Oficial de segunda.

a.5 Telefonista.

a.6 Auxiliar.

a.7 Aspirante.

b) Mecanización:

b.1 Analista de sistemas.

b.2 Programadores:

b.2.1 Analista programador.

b.2.2. Programador de sistemas.

b.2.3 Programador.

b.3 Operadores:

b.3.1 Operador de sistemas y aplicaciones.

b.3.2 Operador de aplicaciones.

b.3.3 Operador informático.

b.4 Ayudante informático.

Grupo 3. Comercialización.

3.1 Director de ventas nacional y/o extranjero.

3.2 Jefe de ventas.

3.3 Jefe de zona.

3.4 Delegado de ventas.

3.5 Vendedor.

3.6 Vendedor-Merchandising.

3.7 Merchandising.

3.8 Promotor de ventas.

Grupo 4. Personal Subalterno.

Primer nivel. Personal con titulación específica:

a) Conductor.

b) Vigilante.

Segundo nivel. Personal con especial responsabilidad, pero sin que ello implique la necesidad de disponer de titulación:

a) Almacenero.

b) Portero.

Tercer nivel. Personal sin especial responsabilidad:

a) Conserje.

b) Ordenanza.

c) Botones o Recadero.

d) Aspirante.

Grupo 5. Personal de Fabricación. Comprende las siguientes categorías profesionales:

a) Maestro.

b) Oficial de primera.

c) Oficial de segunda.

d) Auxiliar.

Grupo 6. Personal de oficios varios.

a) Maestro.

b) Oficial de primera.

c) Oficial de segunda.

d) Ayudante o Especialista.

e) Peón.

No obstante estas clasificaciones y las definiciones contempladas en el artículo siguiente (artículo 9.º), se encomienda a una Comisión Técnica conformada por la parte empresarial y parte sindical, establecida al efecto de estudiar su posible matización o redefinición.

Artículo 9. Definiciones.

Grupo 1. Personal técnico.

Es personal técnico el que, con título o sin él, realiza trabajos que exijan una adecuada competencia o práctica, ejerciendo funciones de tipo facultativo, técnico o de dirección especializada.

a) Técnicos titulados:

a.1 Con título superior: Es aquél que para el cumplimiento de su misión se le exige estar en posesión de un título superior profesional expedido por Escuelas especiales o Facultad, siempre que realice funciones propias de su carrera y sea retribuido, de manera exclusiva o preferente, mediante sueldo o tanto alzado, sin sujeción, por consiguiente, a la escala habitual de honorarios en la profesión afectada.

a.2 Con título no superior: Es el que, en posesión del título profesional expedido por Centros o Escuelas oficiales, ejerce las funciones propias que corresponden al título no superior que posee.

Se incluirán en esta categoría los Graduados Sociales, con la función propia de los mismos.

b) Técnicos no titulados:

b.1 Director de Personal: Es quién, al frente de todo el personal de una Empresa o Centro de trabajo, dicta las oportunas normas para la perfecta organización y distribución de trabajo cuya vigilancia le corresponde, así como la concesión de permisos, propuestas de sanciones, etc.

b.2 Director de Compras: Es el que realiza de modo permanente, bien en los Centros productores o en otros establecimientos, las compras generales de las mercancías que son objeto de la actividad comercial de la Empresa.

b.3 Director de Fabricación: Es aquel que, en posesión de los conocimientos técnicos necesarios y con la debida responsabilidad, asume la dirección y vigilancia de todo el proceso de fabricación, ordenando la forma en que el trabajo ha de desarrollarse, coordinando la labor de las diversas secciones o departamentos que constituyen el ciclo de dicha fabricación.

b.4 Encargado general: Es el que, a las órdenes de la Dirección de la Empresa, de su representante o del Director de Fabricación, conoce el proceso general de la industria en sus distintas secciones, aplicando estos conocimientos, organizando y distribuyendo el trabajo en las secciones, manteniendo la disciplina, a la vez que facilita los datos generales de producción, consumo de materias primas y rendimientos.

b.5 Encargado de sección: Es el que, dependiendo del Encargado general o Técnicos superiores, tiene mando directo sobre el personal que trabaje en la sección o secciones de su cargo, respondiendo de su disciplina y distribuyendo y organizando el trabajo de las mismas, vigilando al personal y cuidando de la conservación y mejor aprovechamiento de máquinas y material, proporcionando los datos sobre la producción y rendimiento de las secciones que manda.

Grupo 2. Personal Administrativo y de Mecanización.

Queda comprendido en el concepto general de personal administrativo y de oficina el que, poseyendo conocimientos de mecánica administrativa y contables, realiza todos aquellos trabajos reconocidos por la costumbre y hábitos mercantiles.

En orden a su competencia, capacidad y responsabilidad, se clasificará en las siguientes categorías profesionales:

a) Administrativo.

a.1 Jefe de Administración: Es el empleado que, provisto o no de poderes, tiene a su cargo la dirección y responsabilidad, organización y coordinación de funciones de todas las secciones administrativas de la Empresa, distribuye el trabajo, ordenándolo debidamente, y aporta sus iniciativas para el buen funcionamiento de la misión que tiene confiada.

a.2 Jefe de Sección Administrativa: Es el empleado que, provisto o no de poderes y a las órdenes del Jefe de Administración, si lo hubiere, tiene a su cargo y responsabilidad trabajos de superior categoría, entre los que figuran los que corresponden al cargo de Contable, estando encargado de orientar y dar unidad a la sección o dependencia que dirige, así como distribuir el trabajo entre los Oficiales, Auxiliares y demás personal que de él depende.

a.3 Oficial de primera: Es el administrativo, mayor de veinte años, con un servicio determinado a su cargo, que con iniciativa y responsabilidad restringidas, con o sin empleados a sus órdenes, ejecuta alguna de las siguientes o análogas funciones: Cajero de Cobro y Pago, sin tener firma ni fianza; estadísticas; redacción de documentos y correspondencia y, en general, servicios que requieran cálculos, estudio, preparación o condiciones adecuadas, contables, tales como transcripción en libros de contabilidad, etc., y corresponsales. Taquimecanógrafos, de uno y de otro sexo, en un idioma extranjero, que toman al dictado cien palabras por minuto, traduciéndolas correcta y directamente a máquina en seis.

a.4 Oficial de segunda: Es el administrativo, mayor de veinte años, que con iniciativa restringida y con subordinación a Jefes u Oficiales de primera, si los hubiera, efectúa operaciones auxiliares de contabilidad, caja y coadyuvantes de las mismas; transcripción de libros auxiliares, organización de archivos y ficheros, estadísticas auxiliares, redacción de facturas, liquidación de salarios y Seguridad Social y demás trabajos similares: Taquimecanógrafos de uno u otro sexo en idioma nacional que tomen al dictado cien palabras por minuto, traduciéndolas correcta y directamente a máquina en seis.

a.5 Telefonista: Es el empleado que, de uno u otro sexo, tiene por misión el manejo de la centralita telefónica para la comunicación de las distintas dependencias entre sí y con el exterior.

En aquellos Centros de trabajo que por su importancia no requieran la existencia de Telefonista, la centralita telefónica podrá estar a cargo del personal subalterno, sin que éste, por tal circunstancia, pueda negarse a la prestación de las funciones que le son peculiares ni lograr los derechos que corresponden a los empleados administrativos.

a.6 Auxiliar: Es el administrativo, mayor de dieciocho años que, sin iniciativa propia, se dedica dentro de las oficinas a operaciones elementales administrativas y, en general, a las puramente mecánicas inherentes a los trabajos de aquellas y los Mecanógrafos de uno y otro sexo. Quedan asimilados a esta categoría los Taquimecanógrafos cuando no alcancen la velocidad y corrección exigidas a los Oficiales de segunda.

Podrán, asimismo, realizar otras funciones no estrictamente burocráticas, tales como pesar, anotar pesos, comprobar existencias, etc.

b) Mecanización.

b.1 Analista: Personal técnico que concibe y desarrolla sistemas mecanizados, analizando y diseñando los procedimientos necesarios para su implantación, facilitando a los usuarios el asesoramiento preciso para una eficaz utilización de los mismos. Dirigen la implantación de sistemas, asesoran sobre el empleo de nuevas técnicas y conocen la necesidad y aplicación en el área en que trabajan.

b.2 Programadores:

b.2.1 Analista programador: Personal técnico que se ocupa de desarrollar los sistemas mecanizados, asegurando su correcto diseño mediante la concepción de los diagramas de proceso y programas, verificando que una vez realizados se ajusten a las especificaciones establecidas en el análisis funcional. Colaboran en la implantación de sistemas.

b.2.2 Programador de Sistemas: Es aquel Programador que, además de las funciones genéricamente atribuidas a dicha categoría o grupo, se ocupa, fundamentalmente de desarrollar, codificar, depurar y documentar los programas correspondientes al sistema operativo y aplicaciones complejas de teleproceso.

b.2.3 Programador: Son aquellos empleados que, con amplitud de conocimientos y experiencia en el empleo de lenguajes de programación de ordenadores y especialmente de los que habitualmente se utilizan en la Empresa, se ocupan del diseño lógico de programas y de codificarlos en el lenguaje apropiado, realizando los diagramas de proceso, informes, ficheros, etc.; computan, prueban y actualizan (modificando si procede) la ejecución de programas, documentándolos completamente. Colaboran, bajo la dirección y supervisión de los Analistas, en el análisis de aplicaciones mecanizadas o a mecanizar y su mantenimiento.

b.3 Operadores:

b.3.1 Operador de Sistemas y Aplicaciones: Personal técnico que se ocupa de asegurar el funcionamiento general de grandes ordenadores con sistemas operativos complejos, metiprogramación, teleproceso y sistemas de gestión de bases de datos, manteniendo un control permanente y un encauzamiento de los procesos realizados por el ordenador.

b.3.2 Operador de Aplicaciones: Personal técnico que se ocupa de mantener y controlar el perfecto funcionamiento de ordenadores «modems» y líneas que constituyen el equipo de teleproceso, o bien el funcionamiento y gestión de miniordenadores con memorias auxiliares de discos y cintas magnetofónicas.

b.3.3 Operador informático: Personal técnico que se ocupa de la instalación de ordenadores «modems», líneas y demás elementos componentes del equipo de conmutación y transmisión digital, así como de su operación y conservación, asegurando el perfecto funcionamiento de dichos equipos y realizando asimismo las demás tareas complementarias o auxiliares.

b.4 Ayudante informático: Son aquellos que realizan funciones auxiliares en los trabajos ejecutados en ordenadores, relacionados con la captura de la información por equipos metiteclados, verificación de calidad en resultados, preparación y control de archivos y ficheros, funcionamiento y control de unidades periféricas, con exclusión del trabajo efectuado en todo tipo de terminales de acceso y consulta, que constituyen una herramienta de trabajo en un puesto no informático.

Grupo 3. Comercialización.

a) Director de ventas nacional/extranjero: Es el que tiene a su cargo la dirección y fiscalización de todas las operaciones de venta a nivel nacional que la empresa realice, así como la determinación de las orientaciones o criterios conforme a los cuales deben realizarse.

b) Jefe de Ventas: Es que el a las órdenes o no del Director de ventas lleva a efecto el desarrollo y su ejecución en las acciones de primer nivel para la consecución de los objetivos programados en el plan general de marketing de la empresa.

c) Jefe de Zona: Es el responsable de una zona determinada por la empresa, para ejecutar las acciones indicadas por la Jefatura de Ventas con el fin de lograr los objetivos marcados en todas y cada una de las representaciones, tanto en ventas como en inversiones en punto de venta, así como el control de cobros pendientes.

d) Delegado de Ventas: Es el responsable de una delegación de la empresa, de todas y de cada una de las personas que integran la delegación, así como en las visitas a los clientes más importantes que tenga la delegación a su cargo. Gradualmente avisará del grado del cumplimiento del plan de marketing asignado a su delegación, así como el control de cobros pendientes.

e) Vendedor: Es la persona integrada en una delegación o no, y encargada de visitar a un número de clientes asignado, ofertando los productos y realizando las gestiones de cobro a los clientes a su cargo.

f) Vendedor-Merchandising: Es el que realiza las funciones de colocación de los productos en los puntos de venta donde le permita y recoge el correspondiente pedido al cliente donde realiza la acción, al mismo tiempo, dedica parte de la jornada a la función de vendedor, desarrollando la misma labor de ventas y gestión de cobros que el vendedor normal.

g) Merchandising: Es la persona encargada de realizar la labor de colocación de los productos en los lineales de los clientes que así lo exijan; confecciona los pedidos para estos e informa al delegado de la situación de los productos, así como de las incidencias que detecte en el punto de venta.

h) Promotor de ventas: Es la persona dedicada a ofertar al consumidor en el punto de venta los productos de la empresa, entregando folletos, vales, realizando degustaciones, etc.

Grupo 4. Personal Subalterno:

Se considerarán Subalternos a los trabajadores que desempeñan funciones específicas y complementarias que implican generalmente absoluta fidelidad y confianza, para las que no se requiere, salvo excepciones, más cultura que la primaria o reunir los requisitos que en cada caso se señalan, pero asumiendo en todo caso la responsabilidad inherente al cargo.

Primer nivel. Personal con titulación específica:

a) Conductor: Es el que, estando en posesión del carnet de la clase correspondiente, conduce y conserva el vehículo o vehículos mecánicos que tenga a su cargo. En esta clasificación se incluyen tanto los Chóferes de camiones como de automóviles y turismo.

 

b) Vigilante: Es el que, con las mismas obligaciones que el Guarda Jurado, carece de este título y de las atribuciones concedidas por las leyes para aquel titulado.

Segundo nivel. Personal con especial responsabilidad, pero sin que ello implique la necesidad de disponer de titulación:

a) Almacenero: Es el subalterno responsable del almacén general o de cada uno de los almacenes que tenga la Empresa, estando encargado de despachar los pedidos en los mismos, de recibir las mercancías y distribuirlas en las distintas dependencias de los almacenes y de registrar en los libros el movimiento del material que haya habido durante la jornada, redactando y remitiendo a las oficinas las relaciones correspondientes, indicando destino de materiales o mercancías y procedencia.

Cuando, por la importancia del almacén, haya varias personas que realicen, indistintamente, todas las funciones anteriormente señaladas, conservarán todas ellas la clasificación de Almacenero.

b) Portero: Es el que, de acuerdo con las instrucciones recibidas de sus superiores, cuida de los accesos de fábricas o locales, realizando funciones de custodia o vigilancia.

Tercer nivel. Personal sin especial responsabilidad:

a) Conserje: Es el que tiene bajo su mando a los porteros y otros Subalternos, así como a las mujeres de limpieza, vigila la actuación de dicho personal, cuidando de su disciplina y de la distribución del trabajo, siendo responsable, además, del ornato de los locales a su cargo.

b) Ordenanza: Es el Subalterno cuya misión consiste en hacer recados, la fotocopia de documentos, realizar los encargos que se le encomienden, recoger y entregar correspondencia y llevar a cabo otros trabajos elementales por orden de sus Jefes.

Estarán incluidos en esta categoría los Cobradores que realizan los cobros y pagos que deban efectuarse fuera de las oficinas.

Grupo 5. Personal de fabricación:

Se comprende en este grupo al personal de la Empresa en labores típicas de fabricación de conservas y salazones de pescados:

a) Maestro: Es el que bajo las ordenes de un técnico procedente de alguna de las categorías profesionales o de oficio, y bajo las ordenes de un técnico de fabricación, si lo hubiere, por su experiencia y conocimientos prácticos del proceso de industrialización del pescado está encargado de una o más secciones de la Empresa, siendo de su responsabilidad el general cumplimiento de las órdenes que reciba respecto a su cargo y de la perfección de la obra realizada por el personal que se encuentra bajo su mando, o bien, el que asimismo procedente de alguna de las categorías profesionales o de oficio, por su experiencia y conocimientos del proceso de industrialización del pescado, realiza faenas delicadas que exigen especial práctica y aptitud, o de acuerdo con las instrucciones recibidas de sus superiores, tienen a su cargo la vigilancia, enseñanza y corrección de las labores que se realizan por el personal de una o más secciones.

b) Oficial de Primera: El productor con más de dos años de trabajo en la misma industria conservera, y que poseyendo uno de los oficios que antes indicados y aplica con capacidad y celo demostrado, con tal grado de perfección que no sólo le permite llevar a cabo trabajos generales del mismo sino aquellos otros que suponen especial empeño y delicadeza, encontrándose capacitado para corregir pequeñas deficiencias en las máquinas o faenas que tengan encomendadas; o bien, el que desarrolla su labor con un rendimiento normal y correcto.

c) Oficial de Segunda: El productor, con más de dos años de trabajo en la industria conservera, y que sin llegar a la especialización exigida por los trabajos perfectos, ejecuta los correspondientes a un oficio con la suficiente corrección y eficacia.

d) Auxiliar: Es el operario que ayuda en su labor a Oficiales y realiza cuantas operaciones se le encomienden en orden secundario, bajo la vigilancia y dirección del personal de mayor competencia.

Grupo 6. Personal de oficios varios:

Es el que bajo las órdenes del personal técnico, si lo hubiere, ha realizado el aprendizaje de las artes y oficios clásicos de la industria metalúrgica, de la construcción, madera u otra actividad y que realizan trabajos complementarios o auxiliares en la industria de conservas y salazones de pescado.

a) Maestro: Es el que, bajo las órdenes del personal técnico, si lo hubiere, está encargado de una o más secciones o talleres en donde se realizan trabajos propios de su profesión, siendo de su responsabilidad el general cumplimiento de las órdenes que reciba respecto a su cargo y de la perfección de la obra realizada por el personal que se encuentre bajo su mando.

b) Oficial de primera: Es el productor con más de dos años de trabajo en la industria conservera y que, poseyendo uno de los oficios que anteriormente se indicaron lo practica con tal grado de perfección que no sólo le permite llevar a cabo trabajos generales del mismo, sino aquellos otros que suponen especial empeño y delicadeza.

c) Oficial de segunda: El productor con más de dos años de trabajo en la industria conservera que, sin llegar a la especialización exigida para los trabajos perfectos, ejecuta los correspondientes a un determinado oficio con la suficiente corrección y eficacia.

d) Ayudante: Es el operario que ayuda con conocimientos generales del oficio, adquiridos por medio de una formación sistemática, auxilia a los Oficiales en la ejecución de los trabajos propios de estos y efectúa, aisladamente, otros de menor importancia sin llegar al rendimiento exigido al Oficial de segunda.

e) Peón: Es el operario mayor de dieciocho años que realiza las faenas de orden secundario correspondientes al Peonaje, pudiendo prestar sus servicios en un departamento determinado e indistintamente en cualquier servicio, sección o lugar del Centro de Trabajo en que se precise la realización de las indicadas faenas.

Todo el personal de la Empresa tendrá, en igualdad de condiciones, derecho de preferencia para cubrir las vacantes de ingreso que en aquella puedan producirse, de superiores categorías, aunque se trate de plazas de distinto grupo profesional.

Artículo 10. Períodos de prueba y contrato de trabajo.

1. Se concretará, por escrito, un período de prueba, que en ningún caso podrá exceder de los que se señalan en la siguiente escala:

– Personal directivo y Técnico titulado, seis meses.

– Personal no titulado, tres meses.

– Personal administrativo, tres meses.

– Personal subalterno, tres meses.

– Personal de fabricación, quince días laborales.

El empresario y el trabajador están respectivamente obligados a realizar las experiencias que constituyan el objeto de la prueba.

Al personal eventual en contrataciones sucesivas, sólo se le tendrá en cuenta el primer período de prueba, siempre que se trate del mismo puesto de trabajo.

2. Durante el período de prueba, el trabajador tendrá los derechos y obligaciones correspondientes a su categoría profesional y al puesto de trabajo que desempeñen, como si fuera de plantilla, excepto los derivados de la resolución de la relación laboral, que podrá producirse a instancia de cualquiera de las partes durante su transcurso.

3. Transcurrido el período de prueba sin que se haya producido el desistimiento, el contrato producirá plenos efectos, computándose el tiempo de los servicios prestados en la antigüedad del trabajador en la Empresa.

4. La situación de incapacidad temporal que afecte al trabajador durante el período de prueba, interrumpe el cómputo del mismo siempre que se produzca acuerdo entre ambas partes.

La Empresa, a partir de la fecha de la firma del contrato, vendrá obligada a formalizar sus relaciones laborales con cada uno de los trabajadores con un contrato escrito.

En aplicación de lo dispuesto en la Ley 2/1991 y, con excepción de lo que se refiere a los contratos de relación laboral especial de alta dirección, las Empresas entregarán en el plazo máximo de 10 días a los representantes legales de los trabajadores, copia de los contratos laborales que formalicen, en la que han de constar todos los datos que tengan relación con la prestación laboral, con la única exclusión de los que afecten a la identidad del contratado o cualquier otro dato que pudiera afectar a la intimidad personal. Los representantes de los trabajadores la firmarán a su recepción, a los efectos de que el empresario pueda acreditar que se ha producido su entrega.

Artículo 11. Normas generales y especiales sobre ascensos.

a) Los ascensos de categoría profesional, se producirán teniendo en cuenta la formación, méritos y antigüedad del trabajador.

b) Las categorías profesionales y los criterios de ascensos en la Empresa se acomodarán a reglas comunes para los trabajadores de uno y otro sexo, siempre que se trate de trabajos o labores iguales y de iguales resultados.

c) La Empresa junto con el Comité de Empresa o Delegado/s sindicales determinarán los criterios y normas de las pruebas de capacitación a las que deberán someterse los trabajadores para optar a las plazas vacantes de categorías superiores y correspondientes a los grupos 5.º y 6.º Personal de Fabricación y Oficios Varios.

Asimismo, las pruebas para cada vacante del grupo de Administrativos se prepararán de forma individualizada y para cada caso, y habida cuenta del perfil profesiográfico del puesto que se pretenda cubrir. El contenido de tales pruebas se elaborará por la Dirección de la Empresa y de la misma o de las mismas se dará cuenta al Comité para su conocimiento justificando al mismo, en caso necesario, el por qué de la totalidad de las mismas o de la parte en que se requiera aclaración.

En todo caso quedarán excluidos de estos requisitos dentro del grupo a) que se considera los Jefes.

Caso de discrepancia en relación con lo que se establece para los Administrativos, se someterá la misma, para su resolución a la Comisión Paritaria.

d) Cada Empresa podrá establecer un período de prueba igual al indicado en el artículo 11 del presente Convenio.

e) El ascenso podrá no aceptarse por el interesado, tanto en el caso de turno por antigüedad como en el de elección.

En relación con los distintos grupos profesionales, y sin perjuicio de lo establecido sobre categorías de ingreso y de lo dispuesto con anterioridad, se tendrán en cuenta las siguientes normas:

Grupo 1. Técnicos:

El ascenso a Director de Fabricación y Encargado general, será de libre designación de la Empresa. Para cubrir las plazas de Encargados de Sección, se tendrá en cuenta:

a) Se designará mediante concurso entre los que constituyan el grupo de personal de fabricación y grupo de personal de oficios varios.

b) Si afecta a profesionales de oficios varios, el ascenso se llevará a cabo por concurso entre Oficiales de primera del grupo 6º

Grupo 2. Administrativos:

Las vacantes que ocurran en las categorías de Jefes de Administración serán cubiertas libremente por la Empresa.

Las vacantes que se produzcan en la categoría de Jefes de Sección se cubrirán mediante la superación de exámenes convocados al efecto, y atendiendo, asimismo a la antigüedad y méritos de los aspirantes, que habrán de tener, necesariamente, la categoría de Oficiales de primera. Igual procedimiento se seguirá en los supuestos de cobertura de los puestos de Oficial de primera y de segunda, que se proveerán, respectivamente, con los aspirantes que en cada caso habrán de ser Auxiliares y Oficiales de segunda.

Grupo 5. Fabricación:

Sobre la totalidad del personal fijo de fabricación habrá un 30 % de Oficiales, que lo serán indistintamente de Primera o Segunda.

Capítulo IV. Formación profesional.

Artículo 12. Contratos Formativos.

1. Trabajo en prácticas:

1.1 Afectará a quienes estuvieran en posesión de titulación universitaria o de formación profesional de grado medio o superior o títulos oficialmente reconocidos como equivalentes o de certificado de profesionalidad, que habiliten para el ejercicio profesional, dentro de los cinco años inmediatamente siguientes a la obtención de aquella, o de siete años cuando el contrato se concierte con un trabajador con discapacidad.

1.2 El contrato de trabajo en prácticas se formalizará siempre por escrito.

1.3 Su duración no podrá ser inferior a seis meses ni superior a dos años, aún cuando si el contrato inicial fuese inferior a dos años se podrán acordar hasta dos prórrogas superior a seis meses y sin que en total supere los dos años.

1.4 En caso de que el interesado se incorpore sin solución de continuidad a la empresa en que hubiese realizado las prácticas el tiempo de éstas se deducirá del período de prueba y computándose a efectos de antigüedad.

2. Trabajo para la formación y el aprendizaje:

2.1 Objeto del contrato: La cualificación profesional de los trabajadores en un régimen de alternancia de actividad laboral retribuida en una empresa con actividad formativa recibida en el marco del sistema de formación profesional para el empleo o del sistema educativo.

2.2 Sujetos del contrato: Los trabajadores mayores de 16 años y menores de 25 años, que carezcan de la cualificación profesional reconocida por el sistema de formación profesional para el empleo o del sistema educativo requerida para concertar un contrato en prácticas.

Es de expresar que no afectará el límite de edad a los trabajadores con discapacidad.

2.3 Límite cuantitativo en la contratación:

Empresas de hasta 10 trabajadores: 1 contrato formativo y de aprendizaje.

Empresas de más de 10 trabajadores y hasta 50 trabajadores: 3 contratos formativos y de aprendizaje.

Empresas que comprendan entre 51 y 100 trabajadores: 5 contratos formativos y de aprendizaje.

Empresas de más de 101 y hasta 250: 10 contratos formativos y de aprendizaje o el 8 % de la plantilla.

Empresas de más de 251 trabajadores y hasta 500: 20 contratos formativos y de aprendizaje o el 6 % de la plantilla.

Empresas de más de 500 trabajadores: 30 contratos formativos y de aprendizaje o el 4 % de la plantilla.

(Para el cómputo del número de trabajadores por centro de trabajo se excluirán los contratos formativos y de aprendizaje existentes).

2.4 Duración del contrato de trabajo: No inferior a seis meses ni superior a un año, en atención a las necesidades organizativas o productivas de las empresas.

Asimismo, se deja constancia de que expirada la duración máxima del contrato, el trabajador no podrá ser contratado bajo esta modalidad, por la misma o distinta empresa para la misma actividad laboral u ocupación objeto de la cualificación profesional asociada al contrato, pero sí para una distinta.

No se podrán celebrar contratos para la formación y el aprendizaje cuando el puesto de trabajo correspondiente al contrato haya sido desempeñado con anterioridad por el trabajador en la misma empresa por tiempo superior a doce meses.

2.5 El tiempo de trabajo efectivo, que habrá de ser compatible con el tiempo dedicado a las actividades formativas, no podrá ser superior al 75%, durante el primer año, o al 85 %, durante el segundo y tercer año, de la jornada máxima prevista en el Convenio Colectivo o, en su defecto, a la jornada máxima legal.

2.6 Retribución: Se fija en proporción al tiempo de trabajo efectivo, indicado en el párrafo anterior, respecto del salario de auxiliar reflejado en las tablas anexas y según corresponda al 1er., 2º ó 3º año de vigencia del contrato de formación y el aprendizaje, sin que en ningún caso pueda ser inferior al salario mínimo interprofesional en proporción al tiempo de trabajo efectivo.

2.7 El contrato para la formación y el aprendizaje no podrá practicarse en el grupo de fabricación para los oficios propios de auxiliares.

2.8 Formalización: El contrato deberá ser formalizado siempre por escrito.

Artículo 13. Relaciones de personal.

Las Empresas afectadas por este Convenio confeccionarán relaciones de su personal fijo, correspondiente a los distintos grupos profesionales, y dentro de cada uno de éstos figurarán, separadamente y por orden de antigüedad, las distintas especialidades o cargos.

Se observarán las siguientes normas:

1. Las relaciones correspondientes al personal técnico titulado y administrativo comprenderán al que presta servicios en cada uno de los centros de trabajo de la misma Empresa.

2. Respecto al personal técnico no titulado y subalterno, se seguirá la misma normativa que la indicada en el apartado anterior.

3. Figurarán por separado las relaciones de personal fijo de trabajo continuo y las de personal fijo de carácter discontinuo, de acuerdo con la clasificación establecida en este Convenio.

4. Debido a los posibles traslados que entre Centros de trabajo o de una misma Empresa puedan realizarse con el personal, éste, en tales casos, ocuparán en su nuevo destino el lugar que les corresponde por razón de su antigüedad en la Empresa.

5. En los dos primeros meses de cada dos años, los Centros de trabajo publicarán las oportunas relaciones para conocimiento de su personal y para que éste pueda formular las oportunas reclamaciones, caso de que procedan. Asimismo, se entregarán copias a los Sindicatos firmantes del presente Convenio.

6. En las mencionadas relaciones se harán constar las circunstancias siguientes:

a) Número de código personal.

b) Número de inscripción a la Seguridad Social.

c) Número de Documento Nacional de Identidad.

d) Nombre y apellidos.

e) Fecha de nacimiento.

f) Fecha de ingreso en la Empresa.

g) Categoría profesional asignada.

h) Número de trienios.

i) Domicilio.

7. La inclusión en la relación del personal fijo de carácter discontinuo o intermitente, creará en favor de los respectivos trabajadores el derecho para obtener y lograr colocación con preferencia a cualquier otro que pudiera pretender su admisión.

8. Las Empresas afectadas por el presente Convenio se obligan a colocar mensualmente en el tablón de anuncios los boletines de cotización de la Seguridad Social (actuales TC1 y TC2). El incumplimiento de esta obligación se considerará falta leve a los efectos previstos en el artículo 57 del Estatuto de los Trabajadores.

Capítulo V. Movilidad funcional, geográfica, traslados.

Artículo 14. Movilidad funcional y geográfica. Traslados y sus gastos.

La movilidad funcional en el seno de la Empresa, que se efectuará sin perjuicio de los derechos económicos y profesionales de trabajador, no tendrá otras limitaciones que las exigidas por las titulaciones académicas o profesionales precisas para ejercer la prestación laboral y la pertenencia al grupo profesional.

Los representantes legales de los trabajadores tendrán prioridad de permanencia en los puestos de trabajo a que se refiere este artículo.

En los casos de traslado forzoso, la Empresa estará obligada a satisfacer como mínimo los siguientes gastos:

a) Los gastos de transporte, tanto del trabajador como de sus familiares y enseres.

b) El abono de cinco días de dietas, en la cuantía especificada en este Convenio, cuando tengan a su cargo hasta un mínimo de tres familiares menores de edad o mayores incapacitados; de diez días si es casado o viudo/a y tiene a su cargo a más de tres y menos de siete familiares en aquellas condiciones y, por último, quince días de dietas al casado o viudo/a que tenga a su cargo siete o más familiares menores de edad o con incapacidad.

Artículo 15. Comisiones de servicio.

1. Todos los trabajadores que por orden de la Empresa tengan que efectuar viajes o desplazamientos a núcleos de población distintos de aquel en que radique el Centro de trabajo, disfrutarán sobre su sueldo o jornal de las dietas y gastos de locomoción.

Se establece como cuantía de la dieta completa de 33,53€ y de 13,40€ para media dieta.

2. En los días de salida y llegada devengarán dieta entera; de existir posibilidades de regreso al lugar de residencia en el día en que el trabajador se desplace devengarán solamente media dieta.

3. Asimismo, de acuerdo Empresa y trabajador, se podrán sustituir las fórmulas que se prevén por el abono de todos los gastos que los desplazamientos originen, previa justificación de aquellos.

Artículo 16. Trabajos de superior o inferior categoría.

1. El trabajador que realice funciones de categoría superior a las que corresponda a la categoría profesional que tuviera reconocida, por un período superior a cuatro meses durante un año o seis meses durante dos años, puede reclamar ante la Dirección de la Empresa la clasificación profesional adecuada.

2. Contra la negativa de la Empresa, y previo informe del Comité o, en su caso, de los Delegados de Personal, puede reclamar ante la Jurisdicción competente.

3. Cuando se desempeñen funciones de categoría superior, que no proceda legal o convencionalmente el ascenso, el trabajador tendrá derecho a la diferencia retributiva entre la categoría asignada y la función que, efectivamente, realice.

4. Si por necesidades perentorias o imprevisibles de la actividad productiva el empresario precisara destinar a un trabajador a tareas correspondientes a categoría inferior a la suya, sólo podrá hacerlo por el tiempo imprescindible, manteniéndole la retribución y demás derechos derivados de su categoría profesional y comunicándolo a los representantes legales de los trabajadores.

Capítulo VI. Licencias y excedencias.

Artículo 17. Licencias.

Las Empresas encuadradas en el presente Convenio concederán a los trabajadores que lo soliciten las licencias en los casos siguientes y sin pérdida de retribución:

a) Matrimonio del trabajador: Quince días naturales.

b) Cinco días naturales en los casos de enfermedad grave, además de los casos que requieran hospitalización necesaria e intervención quirúrgica de índole mayor de padres, cónyuge, e hijos; esta licencia de cinco días y en los mismos casos, será aplicable a hermanos si viven bajo el mismo techo del productor. Asimismo en caso de nacimiento de un hijo la licencia tendrá la misma amplitud.

No obstante, para el supuesto de que haya hospitalización, el trabajador podrá optar por una licencia de 3 días laborables en vez de los 5 días naturales continuos.

La licencia a que hace referencia este apartado será de aplicación en toda su extensión en el supuesto que el hecho causante que la motiva tenga una duración igual o superior a 5 días naturales, o bien a 3 días laborables para el supuesto de optar al mismo en caso de hospitalización, ya que en caso contrario tendrá la duración del ingreso u hospitalización.

c) Muerte del cónyuge, ascendientes, descendientes o hermanos, teniendo como límite los supuestos de abuelos y nietos: Cinco días naturales.

d) Muerte de familiares políticos del mismo grado, teniendo como límite los supuestos de abuelos y nietos: Dos días naturales si el fallecimiento se produjese en la propia provincia o cuatro días si con tal motivo el trabajador necesita hacer un desplazamiento.

e) Cumplimiento de un deber público inexcusable dispuesto por las leyes y disposiciones vigentes: Por el tiempo indispensable.

f) Cambio de domicilio: Un día natural.

g) Matrimonio de hijo, siempre que se celebre en día laborable: Un día natural.

h) Los/Las trabajadores/as, por lactancia de un hijo menor de nueve meses, tendrán derecho a una hora de ausencia del trabajo, que podrán dividir en dos fracciones. Quien ejerza ese derecho podrá sustituirlo por una reducción de la jornada laboral en una hora con la misma finalidad, que necesariamente deberá producirse bien al comienzo, bien al final de la jornada laboral.

i) El abono por las empresas del 50 % de los cuatro primeros días de incapacidad laboral transitoria en la primera baja del año que de forma individual padezca el trabajador, será extensiva a la asistencia a consulta médica, con agotamiento en uno u otro caso, según la utilización de la disponibilidad, y todo ello a opción del trabajador.

Para todos los casos en los que se viene haciendo referencia a cónyuge, ha de interpretarse «o persona que conviva con el trabajador y que éste acredite de forma fehaciente e indubitable:

a) que la convivencia date de 3 o más años, y

b) que el trabajador haya formulado declaración a la Empresa en la que se manifieste que la persona que con él convive lo es por razones de pareja».

La licencia de cinco días naturales considerada en el apartado b) anterior, podrá continuarse sin derecho a remuneración, previo certificado médico el cual será exigido cada siete días, siendo el primero en modelo oficial, y con cargo a la Empresa, y los sucesivos, en modelo no oficial, a cargo del trabajador.

En ningún caso el tiempo concedido en concepto de licencia podrá ser descontado del período de vacaciones que corresponda al trabajador.

Las licencias concedidas a los representantes sindicales serán abonadas al cien por ciento de sus retribuciones, estimando el promedio de los últimos treinta días. Para el resto de las licencias se abonarán todos los conceptos salariales fijos a excepción de los complementos salariales por cantidad o calidad de trabajo.

Se entienden incluidos en el presente artículo aquellos permisos enmarcados en la Ley Orgánica 1/2004, de 28 de diciembre, de Medidas de Protección contra la Violencia de Género y otras similares recogidas en la Ley 39/1999, de 5 de noviembre, para promover la conciliación de la vida familiar y laboral de las personas trabajadoras, y los previstos en la Ley Orgánica 3/2007, de 22 de marzo, para la igualdad efectiva de mujeres y hombres.

Artículo 18. Excedencias.

1. La excedencia podrá ser voluntaria o forzosa. La forzosa, que dará derecho a la conservación del puesto y al cómputo de la antigüedad de su vigencia, se considerará por la designación o elección para un cargo público que imposibilite la asistencia al trabajo. El reintegro deberá ser solicitado dentro del mes siguiente al cese en el cargo público.

2. El trabajador con, al menos, una antigüedad en la Empresa de un año, tiene derecho a que se le reconozca la posibilidad de situarse en excedencia voluntaria por un plazo no menor a cuatro meses y no mayor a cinco años. Este derecho sólo podrá ser ejercitado otra vez por el mismo trabajador si han transcurrido cuatro años desde el final de la anterior excedencia.

3. Los/Las trabajadores/as tanto si son fijos como fijas-discontinuas tendrán derecho a un período de excedencia no superior a tres años para atender al cuidado de cada hijo, tanto lo sea por naturaleza, como por adopción, o en los supuestos de acogimiento, tanto permanente como preadoptivo, aunque éstos sean provisionales, a contar desde la fecha del nacimiento o, en su caso, de la resolución judicial o administrativa. Los sucesivos hijos darán derecho a un nuevo período de excedencia que, en su caso, pondrá fin al que se viniera disfrutando. Esta excedencia tendrá el carácter de forzosa a los efectos de conservación del puesto de trabajo.

4. También tendrán derecho a un período de excedencia, de duración no superior a tres años, los trabajadores para atender al cuidado de un familiar, hasta el segundo grado de consanguinidad o afinidad, o familiar que conviva bajo el mismo techo, que por razones de edad, accidente, enfermedad o discapacidad no pueda valerse por sí mismo, y no desempeñe actividad retribuida.

La excedencia contemplada en el presente apartado, cuyo período de duración podrá disfrutarse de forma fraccionada, constituye un derecho individual de los trabajadores, hombres o mujeres. No obstante, si dos o más trabajadores de la misma empresa generasen este derecho por el mismo hecho causante, el empresario podrá limitar su ejercicio simultáneo por razones justificadas de funcionamiento de la empresa.

Cuando un nuevo sujeto causante diera derecho a un nuevo período de excedencia, el inicio de la misma dará fin al que, en su caso, se viniera disfrutando.

Esta excedencia tendrá el carácter de forzosa a los efectos de conservación del puesto de trabajo.

5. Asimismo podrán solicitar su paso a la situación de excedencia en la Empresa los trabajadores que ejerzan funciones sindicales, la cual se contraerá al período que dure el ejercicio de su función representativa y tendrá el carácter a todos los efectos de excedencia forzosa.

6. Cuando el cumplimiento del deber inexcusable de carácter público y personal suponga la imposibilidad de la prestación del trabajo debido en más del 20 por 100 de las horas laborales en un período de tres meses, podrá la Empresa pasar al trabajador afectado a la situación de excedencia forzosa. El reingreso deberá ser solicitado dentro del mes siguiente al cese en el cargo público.

En el supuesto de que el trabajador por cumplimiento del deber o desempeño del cargo perciba una indemnización se descontará el importe de la misma del salario a que tuviere derecho en la Empresa.

7. El trabajador excedente conserva solo un derecho preferente al reingreso en las vacantes de igual o similar categoría a la suya que hubiera o se produjeran en la Empresa.

8. Si el trabajador no solicita el reingreso antes de la terminación del plazo que le fue concedido, perderá todos sus derechos.

9. Las solicitudes deberán contestarse en el plazo improrrogable de veinte días, entendiéndose concedidas de no mediar contestación a las mismas en dicho plazo.

10. Las Empresas acoplarán, si es posible, al personal cuya capacidad haya disminuido por edad u otras circunstancias, antes de su jubilación, retiro, etc., destinándolo a trabajos adecuados a sus condiciones.

Para ser colocados en esta situación, tendrán preferencia los trabajadores que carezcan de subsidio, pensión o medios propios para su sostenimiento. El personal en esta situación acogido no será preceptivo que exceda del 5 por 100 del total de los trabajadores del Centro de trabajo.

Capítulo VII. Retribución.

Artículo 19. Salario mínimo inicial.

El incremento salarial para el año 2011 será del 1,50 %.

Para los años sucesivos de la vigencia del convenio, esto es, 2012, 2013 y 2014, el incremento salarial será del 1,30 % para cada uno de dichos años.

Los porcentajes de incremento salarial para cada uno de los años de vigencia del convenio se plantean como valores máximos, sin que proceda revisión ni aplicación de diferencial alguno, y referidos a las tablas salariales del convenio.

Artículo 20. Aumentos periódicos por tiempo de servicio.

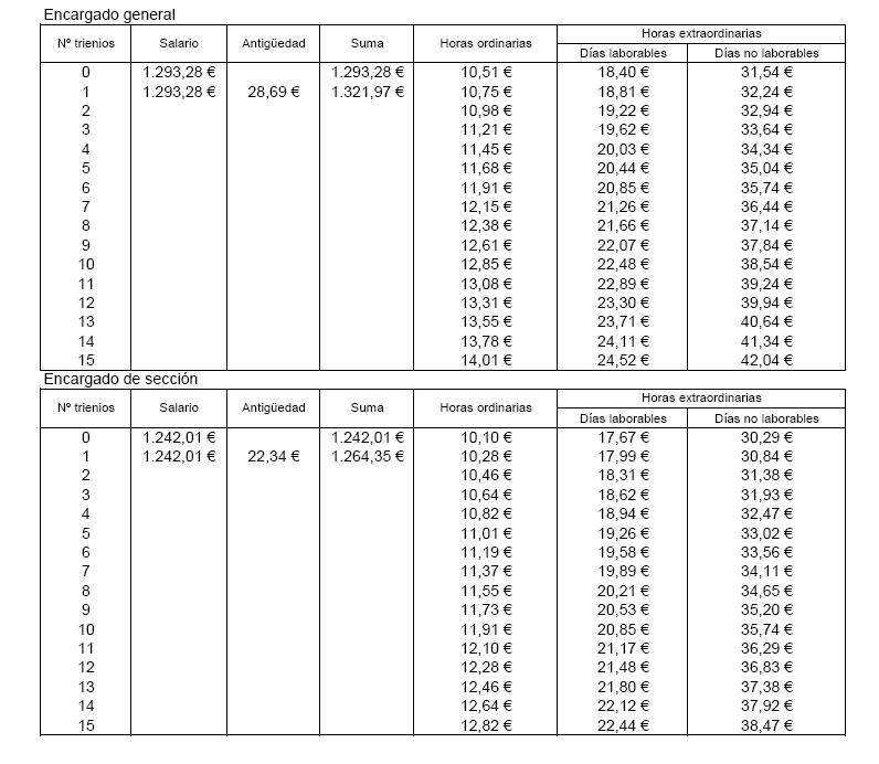
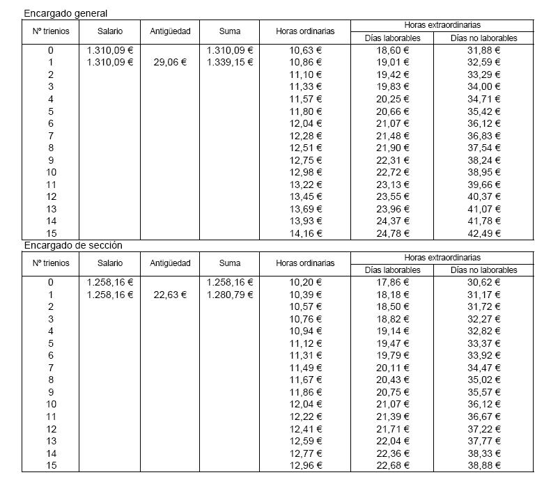
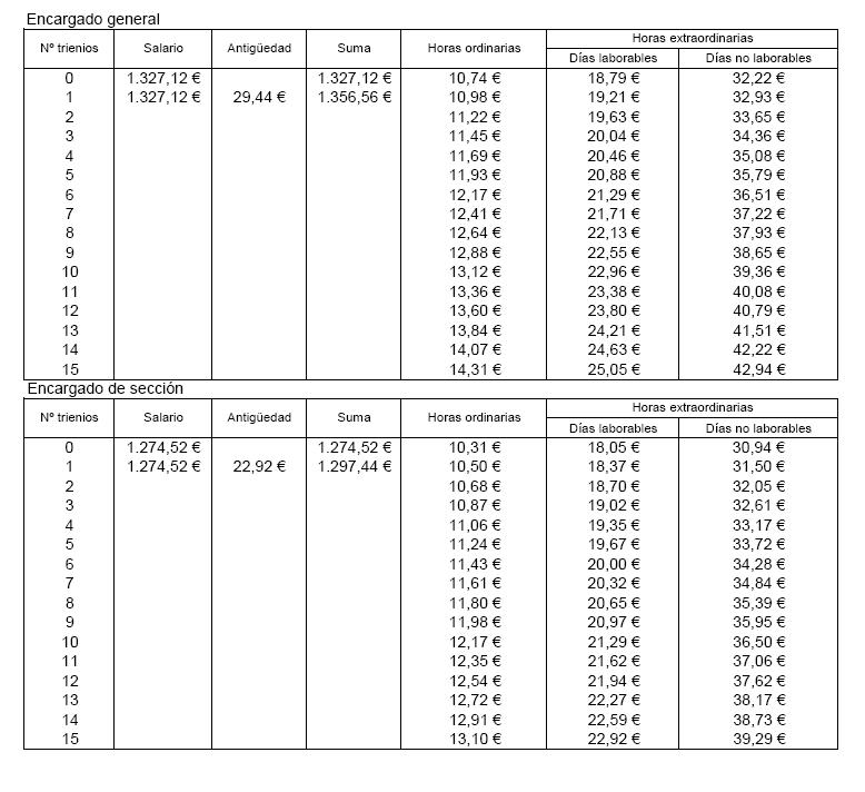
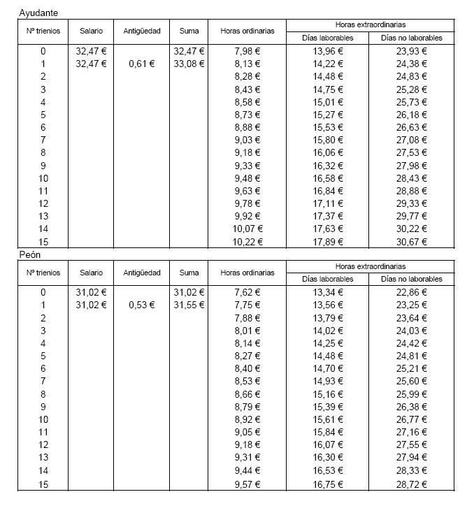
1. Al personal que expresamente se determine por el presente Convenio se le abonará el concepto de complemento salarial por antigüedad trienios ilimitados en la cuantía que para cada categoría profesional se determina en la tabla salarial anexa.

2. Para el cómputo de la antigüedad se tendrá en cuenta todo el tiempo servido en una misma Empresa, considerándose como efectivamente trabajado todos los meses o días en los que haya percibido un salario o remuneración, bien sea por servicios prestados o en vacaciones, licencias retribuidas o cuando reciba una prestación económica temporal por accidente de trabajo o enfermedad.

3. Asimismo, será computable el tiempo de excedencia forzosa por nombramiento para el cargo político o sindical.

4. Por el contrario, no se estimará el tiempo que se haya permanecido en situación de excedencia voluntaria.

5. Se computará la antigüedad en razón de los años de servicio prestados en la Empresa, cualquiera que sea el grupo profesional o categoría en que se encuentren encuadrados, estimándose asimismo los servicios prestados en el período de prueba, y por el personal interino o eventual, cuando éste pase a ocupar plaza en plantilla fija.

6. En el caso de que un trabajador cese por sanción o por su voluntad sin solicitar la excedencia voluntaria y posteriormente vuelva a ingresar en la misma Empresa, el cómputo de antigüedad se efectuará a partir de la fecha de este último ingreso, perdiendo todos los derechos de antigüedad anteriormente citados.

7. Los citados aumentos periódicos comenzarán a devengarse a partir del día primero del mes en que se cumpla cada trienio.

8. La cuantía de los complementos salariales por antigüedad quedará establecida en las cuantías fijadas en tablas adjuntas y se beneficiarán de estos emolumentos el personal que el 1 de enero de 1994 tenga un derecho adquirido o en curso de adquisición sobre los mismos, sin que al personal contratado con posterioridad a esta fecha le alcance este complemento salarial.

Artículo 21. Pagas extraordinarias.

1. El personal comprendido en este Convenio tendrá derecho a dos gratificaciones extraordinarias, por importe de una mensualidad, ó 30 días, según se trate de personal con retribución mensual o diaria, y coincidiendo una con el día 15 de julio y otra con el día 15 de diciembre.

La base para el cálculo de las gratificaciones extraordinarias estará integrada por todos los conceptos retributivos de carácter fijo establecidos en cada Empresa. A estos efectos se recomienda que en el seno de las Empresas la representación de la Empresa y de los trabajadores de la misma estudie la aplicación, en sus propios términos, del acuerdo adoptado y contenido en este artículo.

2. El personal que ingrese o cese durante el año, percibirá las pagas extraordinarias en proporción al tiempo realmente trabajado, computándose las fracciones de meses o semanas según los casos, como complementos.

En todo caso se respetarán las condiciones específicas más beneficiosas que vinieren disfrutando al respecto en cada Empresa o provincia.

Artículo 22. Complemento por accidente laboral.

Todo el personal afectado por este Convenio que se encuentre en situación de incapacidad laboral derivada de accidentes de trabajo, percibirá un complemento por parte de la Empresa que completará el total de retribuciones netas que hubiere de percibir en el supuesto de que hubiese estado en activo, con exclusión de pagas extraordinarias.

Los accidentes de trabajo producidos «in itinere» tendrán el mismo tratamiento que se establece en el párrafo precedente, siempre y cuando dichos accidentes se produzcan, como máximo, dentro de una hora previa a la entrada o una hora posterior a la salida, con la obligación de presentar a la Empresa el volante de asistencia de la Compañía aseguradora que lo acredite.

Cuando por razón de enfermedad o indisposición física se tenga que abandonar el puesto de trabajo, la Empresa abonará el día completo sin detrimento alguno de su retribución, y quedando supeditado para que se produzca este abono a que el productor concurra a consulta médica y se produzca la correspondiente baja por enfermedad.

Artículo 23. Plus de contratación temporal.

Los trabajadores con contratos eventuales o de temporada, siempre que dicho contrato tenga una duración superior a treinta días e inferior a seis meses, percibirán una indemnización de un día del salario vigente en cada momento por cada treinta días trabajados o fracción superior a quince días de servicios prestados.

Artículo 24. Plus extraordinario de permanencia.

El Plus extraordinario de permanencia, tendrá carácter voluntario para el trabajador y discrecional para la empresa previo informe de la representación de los trabajadores.

Se establece un plus extraordinario de permanencia que se abonará en la última nómina del trabajador de conformidad con la siguiente escala:

Trabajadores con 20 años de permanencia en la Empresa:

A los 60 años de edad: 9 mensualidades de salario real.

A los 61 años de edad: 7 mensualidades de salario real.

A los 62 años de edad: 4 mensualidades de salario real.

A los 63 años de edad: 2 mensualidades de salario real.

A los 64 años de edad: 1,5 mensualidades de salario real.

A los 65 años de edad: 1 mensualidad de salario real si la permanencia en la Empresa se situase entre los 20 y 25 años.

A los 65 años de edad: 2 mensualidades de salario real si su permanencia es superior a 25 años.

Más de 65 años de edad: una mensualidad y media de salario real, siempre que su permanencia rebase los 20 años.

Artículo 25. Plus de nocturnidad.

Los trabajadores que realicen su jornada entre las 22:00 horas y las 6:00 horas, percibirán un plus equivalente al 25 % de su salario real.

Capítulo VIII. Jornada de trabajo y descanso.

Artículo 26. Jornada.

1. Se acuerda establecer la jornada en cómputo anual para los años que abarca este convenio, del siguiente modo,

a. Año 2011: 1722 horas.

b. Año 2012: 1722 horas.

c. Año 2013: 1726 horas.

d. Año 2014: 1730 horas.

Se garantiza, que tanto las reducciones de jornada pactadas anteriormente o las sucesivas, afectará a todos los trabajadores y trabajadoras sea cual sea el tipo de contrato que tengan.

Asimismo, se acuerda que en el supuesto de que durante la vigencia de este acuerdo se produjera una modificación más beneficiosa para los trabajadores en esta materia, bien por la vía legislativa o bien por acuerdo de carácter general entre confederaciones empresariales y sindicales, dicha modificación será de aplicación automática al presente convenio incorporándose al mismo.

2. Como medida de flexibilidad, en cada centro de trabajo, y como instrumento de mejora de la competitividad empresarial y mejor adaptación a los ciclos económicos, la distribución irregular de la jornada podrá alcanzar hasta el 7 % previo acuerdo con la representación legal de los trabajadores.

Si no existiera representación legal de los trabajadores, éstos podrán optar por atribuir su representación para la negociación del acuerdo, a su elección, a una comisión de un máximo de tres miembros integrada por trabajadores de la propia empresa y elegida por éstos democráticamente o a una comisión de igual número de componentes designados, según su representatividad, por los sindicatos más representativos del sector al que pertenezca la empresa y que estuvieran legitimados para formar parte de la comisión negociadora del convenio colectivo.

En cualquier caso, la distribución irregular de la jornada deberá respetar la jornada máxima diaria de 9 horas, los descansos entre jornada y jornada, así como el descanso semanal.

3. En ningún caso se podrán realizar más de 9 horas ordinarias de trabajo efectivo. En todo caso, entre el final de la jornada y el comienzo de la siguiente, mediarán, como mínimo, doce horas.

4. El tiempo de trabajo se computará de modo que, tanto al comienzo como al final de la jornada diaria, el trabajador se encuentre en su puesto de trabajo.

5. Iniciada la jornada de trabajo, en ningún caso podrá abonarse al trabajador cantidad inferior al mínimo correspondiente a la media jornada, mereciendo esta consideración cuando las horas trabajadas no excedan de cuatro y debiendo liquidarse la jornada completa siempre que se trabaje más de dichas cuatro horas.

6. En aquellos casos en que ya se viniera disfrutando de un descanso intercalado en la jornada de trabajo, se mantendrá el mismo con la misma consideración que la  vigente hasta el momento y, en los casos de nuevo establecimiento de jornada continuada, el comité de empresa o delegado y empresarios establecerán la regulación correspondiente.

En todo caso, tanto la regulación como la reducción real de la jornada de trabajo se establecerán de mutuo acuerdo entre la dirección de la empresa y los representantes de los trabajadores, habida cuenta de la situación preexistente.

Asimismo se acuerda:

a) Jornada de lunes a viernes con carácter general.

b) Establecer para el personal de fabricación, la jornada de lunes a viernes, con la facultad para la empresa de extenderla, al sábado hasta las 14 horas, para el personal necesario y atención de cámaras, preparación de maquinaria, finalización de trabajos pendientes el día anterior, recepción de pescado, etc., siempre y cuando, este personal que trabaje en la mañana del sábado, no supere el 25 % de los grupos afectados. Este personal que realice jornada el sábado por la mañana, tendrá compensación de las horas trabajadas, en cómputo normal, en la semana siguiente.

Igualmente, previo acuerdo con los representantes de los trabajadores y de manera excepcional, podrá extenderse la jornada más allá de las 14 horas del sábado y/o durante la jornada del domingo, respetando en todo caso los descansos que establece la legislación vigente. Si no existiera representación legal de los trabajadores, se procederá de igual modo que para el supuesto previsto en el apartado segundo del presente artículo.

En lo que respecta al personal administrativo, se deja opción del grupo de trabajadores de tal carácter, el que efectúe elección de jornada partida de lunes a viernes o continuar con la que venga ejercitando en su momento, haciendo constar, la Comisión deliberadora del convenio, su recomendación de establecimiento de jornada de lunes a viernes en la forma dicha.

Artículo 27. Puntualidad en el trabajo.

Las faltas de puntualidad en el trabajo tendrán el descuento siguiente:

Menos de 1/2 hora: Pérdida de 1/2 hora.

Más de 1/2 hora y menos de 1 hora: Pérdida de 1 hora.

Menos de 1 y 1/2 horas: Pérdida de 1 y 1/2 horas.

Esta medida citada en el párrafo anterior no excluye o anula la aplicación del artículo 54, apartado 2.a, del Estatuto de los Trabajadores.

Artículo 28. Horario de trabajo.

1. La Empresa establecerá, previa deliberación con los representantes legales de los trabajadores, la jornada diaria y semanal, en función de que la misma sea jornada partida o continuada.

2. Anualmente el calendario laboral elaborado por la Empresa se expondrá en sitio visible en cada centro de trabajo.

Artículo 29. Horas extraordinarias.

Únicamente se realizarán horas extraordinarias cuando éstas sean de carácter estructural. La realización de horas extraordinarias se ajustará a los criterios siguientes:

1. Horas extraordinarias habituales: Supresión.

2. Horas extraordinarias que vengan exigidas por la necesidad de reparar siniestros u otros daños extraordinarios y urgentes, así como en el caso de riesgo de pérdida de materias primas: Realización.

3. Horas extraordinarias necesarias por pedidos o períodos punta de producción, ausencias imprevistas, cambios de turno y otras circunstancias de carácter estructural  derivadas de la naturaleza de la actividad de que se trate: mantenimiento, siempre que no quepa la utilización de las distintas modalidades de contratación temporal previstas por Ley.

La Dirección de la Empresa informará periódicamente al Comité de Empresa, a los Delegados de Personal y Delegados Sindicales, sobre el número de horas extraordinarias realizadas, especificando las causas y, en su caso, la distribución por secciones.

Asimismo, en función de esta información y de los criterios más arriba señalados, la Empresa y los representantes legales de los trabajadores determinarán el carácter y naturaleza de las horas extraordinarias.

En ningún caso las horas extraordinarias podrán rebasar el máximo legal de ochenta al año, salvo lo dispuesto en el apartado 2 anterior.

A los efectos del computo de las ochenta horas al año indicadas deberá quedar sentado que no se computaran al efecto las que hayan sido compensadas con descanso.

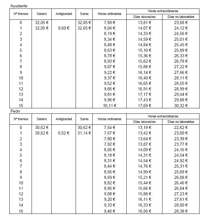
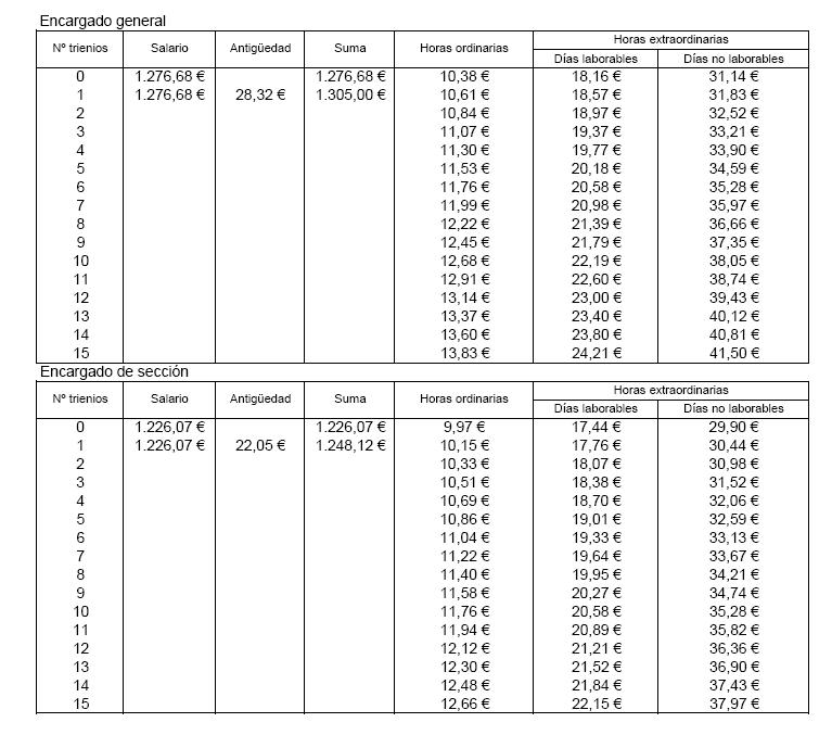
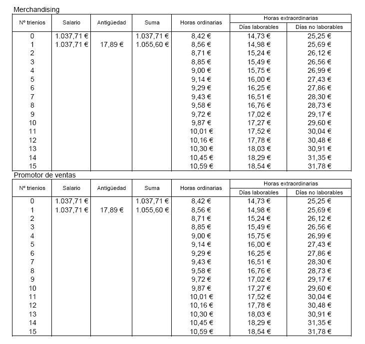
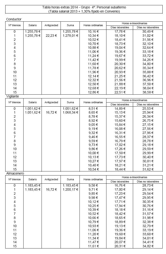
El importe de las horas extraordinarias se abonará con los siguientes recargos:

– Las realizadas en días no laborables, el 200 por 100 sobre el valor de la hora normal de trabajo.

– El resto, con el 75 por 100.

El trabajador tendrá la opción de elegir si las horas extraordinarias que ha realizado se le abonan en la forma antedicha o si se le compensan por tiempo de descanso. Si opta por tiempo de descanso, la relación será: por cada hora extraordinaria realizada, le corresponderán dos horas ordinarias de descanso. El momento en que el trabajador pueda disfrutar de las horas ordinarias de descanso que haya ido acumulando será establecido de mutuo acuerdo entre trabajador y empresario, y siempre dentro del ámbito o vigencia del contrato. Este tiempo de descanso será retribuido como si fuesen horas ordinarias y, por supuesto, siempre debidamente cotizado.

4. Se prohíbe realizar horas extraordinarias a los menores de dieciocho años.

Artículo 30. Descanso semanal.

Los trabajadores tendrán derecho a un descanso mínimo semanal de día y medio ininterrumpido que, como regla general, comprenderá la tarde del sábado y el día completo del domingo, sin perjuicio de lo establecido en el artículo 26, apartado b), sobre prolongación de la jornada a la tarde del sábado y/o domingo.

Debido al carácter de estacionalidad en el suministro de la materia prima, pesca, el citado descanso mínimo semanal podrá ser interrumpido para la atención de trabajos urgentes, o en aquellos supuestos de fuerza mayor, con el fin de evitar una grave perturbación en el funcionamiento normal del establecimiento, o para evitar la pérdida de materias perecederas, y para ello se empleará el personal mínimo indispensable, y en cualquier caso, con respecto de lo establecido en la Ley de descanso dominical, la remuneración de las horas empleadas, que tendrán el carácter de extraordinarias, se efectuará conforme a lo establecido en el artículo 29 del presente convenio.

Artículo 31. Vacaciones.

1. Todo el personal afectado por este Convenio disfrutará de un período de vacaciones de treinta días naturales de duración o en la parte proporcional del tiempo trabajado.

2. Cuando las vacaciones sean fraccionadas a propuesta de la Empresa, no se tendrán en cuenta los días festivos, pero sí los domingos. El fraccionamiento a que queda facultada la empresa no podrá exceder de dos periodos, salvo acuerdo con los representantes de los trabajadores.

3. Las Empresas concederán las vacaciones preferentemente en verano.

4. El régimen salarial para el disfrute de vacaciones estará constituido por el promedio que haya percibido el trabajador durante los días de trabajo, en los últimos tres meses, incluidos los incentivos devengados en el mismo período.

5. En lo no contemplado en este artículo, se estará a lo legislado en el Estatuto de los Trabajadores, artículo 38.

6. En ningún caso el número de horas trabajadas podrá superar a las estipuladas en el artículo 26 del presente Convenio.

7. A los efectos de lo dispuesto en el presente artículo se considerará como tiempo efectivamente trabajado la situación de incapacidad temporal por cualquier causa, así como las ausencias debidas a licencias retribuidas.

En el supuesto de que el período de vacaciones coincida con una incapacidad temporal por contingencias distintas a la derivada de embarazo, parto o lactancia natural, que imposibilite al trabajador disfrutarlas, total o parcialmente, durante el año natural a que corresponden, el trabajador podrá hacerlo una vez finalice su incapacidad y siempre que no hayan transcurrido más de dieciocho meses a partir del final del año en que se hayan originado.

Capítulo IX. Faltas, sanciones y abuso de autoridad.

Artículo 32. Faltas.

Se considerarán faltas las acciones u omisiones que supongan quebranto o incumplimiento de los deberes de cualquier índole impuestos por las disposiciones legales en vigor y, en especial, por el presente Convenio.

Las faltas se clasifican, por consideración a su importancia, trascendencia y malicia, en leves, graves y muy graves.

1. Faltas leves: Son faltas leves las siguientes:

a) De una a tres faltas de puntualidad en la asistencia al trabajo sin la debida justificación, cometidas durante el período de diez días.

b) No cursar en tiempo oportuno la baja correspondiente cuando falte al trabajo por motivos justificados, a no ser que pruebe la imposibilidad de haberlo efectuado.

c) El abandono del trabajo sin causa justificada, aún cuando sea por tiempo breve. Si, como consecuencia del mismo, se causa perjuicios de alguna consideración a la Empresa o fuese causa de accidente a sus compañeros de trabajo, esta falta podrá ser considerada como grave o muy grave, según los casos.

d) Pequeños descuidos en la conservación del material a su cargo.

e) Falta de aseo y limpieza personal.

f) No atender al público con la diligencia y corrección debidas.

g) No comunicar a la Empresa los cambios de residencia o domicilio.

h) Las discusiones sobre asuntos extraños al trabajo durante la jornada. Si tales discusiones produjeran escándalo notorio, podrán ser consideradas como faltas graves.

i) Faltar al trabajo un día en el mes sin causa que lo justifique.

j) Y, en general, todos los demás hechos y omisiones de características análogas a las anteriormente relacionadas.

2. Faltas graves: Se califican como faltas graves las siguientes:

a) Más de tres faltas no justificadas de puntualidad en la asistencia al trabajo, cometidas durante el período de veinte días. Cuando tuviese que relevar a un compañero, bastará una sola falta de puntualidad para que ésta se considere falta grave.

b) Faltar dos días al trabajo durante un período de veinte días sin causa que lo justifique.

c) No comunicar con la puntualidad debida los cambios experimentados en la familia que puedan afectar a la Seguridad Social. La falta maliciosa de estos datos se considerará como falta muy grave.

d) Entregarse a juegos, cualesquiera que sean, durante la jornada de trabajo.

e) No prestar la atención debida al trabajo encomendado.

f) La simulación de enfermedad o accidente.

g) La desobediencia a los superiores en cualquier materia de trabajo, siempre en ejercicio regular de sus facultades de dirección; si implicase quebranto manifiesto en la disciplina o de ella se derivase perjuicio notorio para la Empresa o compañeros de trabajo, se considerará falta muy grave.

h) Simular la presencia de otro trabajador firmando o fichando por él.

i) La negligencia o desidia en el trabajo, que afecte a la buena marcha del mismo.

j) La imprudencia en actos de servicio; si implicase riesgo de accidente para él o sus compañeros o peligro de avería para las instalaciones, podrá ser considerada como falta muy grave.

k) Realizar sin el oportuno permiso trabajos particulares durante la jornada, así como emplear para usos propios herramientas de la Empresa, aún fuera de la jornada de trabajo, sin autorización.

l) Las derivadas de lo previsto en los apartados c) y h) del número anterior.

ll) La reincidencia en faltas leves (excluida la puntualidad), aunque sea de distinta naturaleza, dentro de un trimestre y habiendo mediado sanción.

m) La disminución voluntaria en el rendimiento normal de su labor durante tres días consecutivos o cinco alternos, en el período de treinta días.

n) Y cuantas otras faltas tuvieran características análogas a las anteriores.

3. Faltas muy graves: Se considerarán faltas muy graves las siguientes:

a) Más de cinco faltas repetidas e injustificadas de puntualidad en la asistencia al trabajo cometido en un período de dos meses.

b) Faltas al trabajo durante cinco días al mes sin causa justificada.

c) La indisciplina o desobediencia en el trabajo.

d) Las ofensas verbales o físicas al empresario o a las personas que trabajan en la Empresa o a los familiares que convivan con ellos.

e) La trasgresión de la buena fe contractual, así como el abuso de confianza en el desempeño del trabajo.

f) La disminución continuada y voluntaria en el rendimiento de trabajo normal o pactado.

g) La embriaguez habitual o toxicomanía si repercuten negativamente en el trabajo.

Artículo 33. Sanciones.

Las sanciones máximas que podrán imponerse a los que incurran en faltas serán las siguientes:

1. Por faltas leves:

– Amonestación verbal.

– Amonestación por escrito.

– Suspensión de empleo y sueldo hasta dos días.

2. Por faltas graves:

– Traslado de puesto dentro de la misma fábrica.

– Suspensión de empleo y sueldo de tres a quince días.

3. Por faltas muy graves:

– Suspensión de empleo y sueldo de dieciséis a sesenta días.

– Despido.

Artículo 34. Facultad sancionadora, prescripción y anulación.

a) Corresponde al Jefe de la Empresa o persona en quién delega la facultad de imponer sanciones.

La sanción de las faltas graves y muy graves requerirá comunicación escrita al trabajador, haciendo constar la fecha y los hechos que la motivaron.

b) Las faltas leves prescribirán a los diez días; las faltas graves, a los veinte días, y las muy graves, a los sesenta días a partir de la fecha en que la Empresa tuvo conocimiento de su comisión y, en todo caso, a los seis meses de haberse cometido.

c) La Empresa anotará en los expedientes personales o en los libros correspondientes las sanciones por faltas graves o muy graves impuestas a los trabajadores, haciendo constar asimismo las reincidencias en faltas leves.

d) La valoración de las faltas y las correspondientes sanciones impuestas por la Dirección de la Empresa serán siempre revisables ante la jurisdicción competente.

e) No se podrán imponer sanciones que consistan en la reducción de la duración de las vacaciones u otra minoración de los derechos al descanso del trabajador, o multa de haber.

Artículo 35. Abuso de autoridad.

El abuso de autoridad por parte de los Jefes se considerará siempre como falta muy grave. El que los sufra deberá ponerlo inmediatamente en conocimiento de la Dirección de la Empresa.

Capítulo X. Seguridad e Higiene en el Trabajo.

Artículo 36. Principios de Seguridad e Higiene.

En todas las Empresas, pese al carácter no insalubre de la actividad, además de cumplirse con las disposiciones de carácter general dirigidas a salvaguardar la salud y la integridad física de los trabajadores, deberán adoptarse las medidas que para ello sean necesarias, medidas que comprenderán tanto los elementos y aparatos preventivos en máquinas e instalaciones, orden y forma de realizarse los trabajos, así como la provisión y utilización de los elementos de protección personal, completándose unos u otros con las adecuadas instrucciones o enseñanzas sobre esta materia.

Artículo 37. Normas especiales.

a) En caso alguno, ni aún tratándose de trabajadores varones adultos, se permitirá el transporte a brazo de mercancías cuyo peso exceda de 60 kilogramos y en distancia superior a 50 metros.

b) Los trabajadores de carga de barricas, carga de grandes fardos y acarreos pesados serán hechos por hombres mayores de dieciocho años, sin perjuicio de que, momentáneamente, un menor de dicha edad pueda prestar ayuda para efectuar esos trabajos.

c) En lugares cercanos a las salas de maquinaria frigorífica se colocarán caretas protectoras contra las fugas de amoníaco, para ser utilizadas en caso necesario.

d) Los obreros ocupados en trabajos sobre objetivos cuyas partículas puedan saltar a los ojos utilizarán obligatoriamente gafas protectoras, pidiéndolas a sus superiores al comenzar dichos trabajos.

e) Las Empresas se obligan a no utilizar personal femenino en las labores de carga y descarga que exijan subirse a camiones y buques.

f) Los límites para el transporte a brazo y acarreo serán los establecidos en el Real Decreto 487/1997, de 14 de abril, sobre Manipulación de Cargas.

g) Quedan exceptuados de estas labores de carga, descarga y acarreo, las mujeres embarazadas, los pinches y los aprendices.

h) Los trabajadores no permanecerán más de 4 horas por jornada laboral diaria de trabajo ante las pantallas de terminales de ordenadores.

Artículo 38. Ropa de trabajo.

Con las lógicas exclusiones impuestas por la naturaleza del cometido a desempeñar, se facilitarán al personal las siguientes prendas de trabajo:

a) Al ocupado en la limpieza y el lavado de pescado y en las cepilladoras del mismo, de petos mandiles de material impermeable, así como de botas de agua, chanclos o almadreñas, y guantes o manoplas.

b) De igual forma, será obligatorio proveer de ropa y calzado impermeable al personal que haya de realizar labores continuadas a la intemperie en régimen de lluvias frecuentes, así como también a los que hubieran de actuar en lugares notablemente encharcados o fangosos.

c) Al personal se le proveerá igualmente de delantal impermeabilizado y guantes de goma, en las labores que lo precisen.

d) El que haya de trabajar en cámaras será provisto de la ropa de abrigo necesaria para evitar el efecto de las bajas temperaturas, y el que haya de transportar hielo utilizará guantes o manoplas adecuadas.

e) A todo trabajador se le entregará anualmente dos batas o buzos y, si su labor profesional lo requiriera, una tijera.

f) A los Conductores de automóviles, de turismos, Conserjes, Porteros, Ordenanzas y Botones, así como a los Vigilantes, las empresas los dotaran de uniformes, así como de batas blancas al personal sanitario.

Artículo 39. Reconocimientos médicos.

Dada la naturaleza del trabajo a realizar por el personal que intervenga directamente en la elaboración del pescado, se adoptarán las medidas siguientes:

a) Las Empresas estarán obligadas a realizar reconocimientos médicos completos de manera periódica a todos los trabajadores, al menos, una vez al año.

b) En evitación de que las heridas o lesiones, que en cualquier momento puede sufrir el personal a causa de su posible contaminación por la presencia de gérmenes específicamente patógenos, lleguen a tener mucha gravedad, se considera como obligación ineludible que, inmediatamente a la producción de cualquier lesión o accidente el afectado pase a ser curado. La expresada obligación será recordada mediante carteles y su incumplimiento será considerado como falta grave.

Capítulo XI. Disposiciones varias.

Artículo 40. Absentismo.

Los trabajadores se comprometen a que el absentismo no supere el 9 por 100 en cómputo trimestral en cada Centro de trabajo, siempre que la Empresa cumpla las normas de Higiene y Seguridad en el Trabajo, las exigencias legales referidas a los trabajadores, así como la aplicación del Convenio y no se produzcan coacciones ni malos tratos al personal de dicho Centro de trabajo.

La superación de tal límite de absentismo se considerará como incumplimiento del Convenio y será causa para la denuncia del mismo. Cuando en un Centro de trabajo se dé esta circunstancia, será puesto de manifiesto por la Empresa a la Comisión Paritaria, la cual estudiará el problema y analizará si la causa del mismo es imputable o no a la Empresa en un plazo de quince días, tras los cuales procederá la denuncia del Convenio si a ello hubiera lugar.

Igualmente y con la finalidad de atender adecuadamente el problema del absentismo, así como la homogeneización de criterios, se acuerda:

1) Suprimir el absentismo debido a causas relacionadas con el ambiente de trabajo, mejorando las condiciones de trabajo con la aplicación de la normativa vigente al respecto en el Sector, así como los Convenios de la OIT.

2) La consulta a los representantes de los trabajadores sobre toda decisión sobre tecnología, organización de trabajo y utilización de materias primas que puedan repercutir sobre la salud física y/o mental del trabajador.

3) Cuantificar y catalogar las causas del absentismo, no siendo computables como tales los siguientes supuestos:

Las ausencias, previa y debidamente justificadas, dentro de lo establecido legalmente en los siguientes casos:

– Matrimonio.

– Nacimiento de hijo o enfermedad grave o fallecimiento de parientes hasta segundo grado de consanguinidad o afinidad.

– Traslado de domicilio habitual.

– Por el tiempo indispensable para el cumplimiento de un deber de carácter público y personal.

– Realización de funciones sindicales o de representación del personal en los términos establecidos, legal o convencionalmente.

– Las trabajadoras, por lactancia de un hijo menor de nueve meses.

– Las ausencias derivadas de hospitalización.

– Las ausencias debidas a accidente laboral.

– Las ausencias ocasionadas por la suspensión de la actividad en caso de riesgo de accidente, cuando así se decrete por la autoridad laboral o lo decida el propio empresario, sea o no a instancia de los representantes legales de los trabajadores.

– Los permisos por maternidad del trabajador/trabajadora.

– Los supuestos de suspensión del contrato de trabajo por causas legalmente establecidas, excepto la incapacidad temporal derivada de enfermedad común o accidente no laboral.

Las medidas correctoras de absentismo serán negociadas en la Comisión Paritaria Zonal previa información a los representantes legales de los trabajadores del Centro de trabajo de que se trate, partiendo de criterios objetivos para su medición. La reducción y control del absentismo por causas injustificadas y fraudulentas, requerirá para la adopción de medidas de la actuación conjunta de trabajadores y empresarios.

Artículo 41. Suministros.

Las Empresas afectadas por este Convenio proporcionarán a sus trabajadores los productos elaborados en las mismas con un porcentaje de deducción sobre el precio de venta de fábrica y en la cuantía estrictamente necesaria para el consumo del hogar del trabajador a acordar ambos extremos en el seno de las respectivas Empresas.

Capítulo XII. Derechos sindicales.

Artículo 42. Derechos sindicales.

Las Empresas respetarán el derecho de todos los trabajadores a sindicarse libremente, admitirán que los trabajadores afiliados a un sindicato puedan celebrar reuniones, recaudar cuotas y distribuir información sindical fuera de horas de trabajo y sin perturbar la actividad normal de las Empresas; no podrán sujetar el empleo de un trabajador a las condiciones de que no se afilie o renuncie a su afiliación sindical y tampoco despedir a un trabajador o perjudicarle de cualquier otra forma, a causa de su afiliación o actividad sindical. Los sindicatos podrán remitir información a todas aquellas Empresas en las que dispongan de suficiente y apreciable afiliación a fin de que ésta sea distribuida, fuera de las horas de trabajo, y sin que, en todo caso, el ejercicio de tal práctica pudiera interrumpir el desarrollo del proceso productivo. En todos los Centros de trabajo que posean una plantilla superior a 25 trabajadores, existirán tablones de anuncios en los que los sindicatos debidamente implantados podrán insertar comunicaciones, a cuyo efecto dirigirán copia de las mismas, previamente, a la Dirección o titularidad del Centro.

En aquellos Centros de trabajo con plantilla que exceda de 200 trabajadores y cuando los Sindicatos o Centrales posean en los mismos una afiliación superior al 15 por 100 de aquella, la representación del Sindicato o Central será ostentada por un Delegado.

El Sindicato que alegue poseer derecho a hallarse representado mediante titularidad personal en cualquier Empresa, deberá acreditarlo ante la misma de modo fehaciente, reconociendo ésta acto seguido al citado Delegado, su condición de representante del Sindicato a todos los efectos.

El Delegado Sindical deberá ser trabajador en activo de las respectivas Empresas y designado de acuerdo con los Estatutos de la Central o Sindicato a quien represente. Será preferentemente miembro del Comité de Empresa.

Artículo 43. Derechos de los Delegados Sindicales.

1. Representar y defender los intereses del Sindicato a qué representa y de los afiliados del mismo en la Empresa, y servir de instrumento de comunicación entre su Central sindical o Sindicato y la Dirección de las respectivas Empresas.

2. Podrán asistir a las reuniones del Comité de Empresa, Comités de Seguridad e Higiene en el Trabajo, y Comités Paritarios de Interpretación, con voz y sin voto, y siempre que tales órganos admitan previamente su presencia.

3. Tendrán acceso a la misma información y documentación que la Empresa deba poner a disposición del Comité de Empresa, de acuerdo con lo regulado a través de la Ley, estando obligados a guardar sigilo profesional en las materias en las que legalmente proceda. Poseerá las mismas garantías y derechos reconocidos por la Ley y este Convenio a los miembros del Comité de Empresa.

4. Serán oídos por la Empresa en el tratamiento de aquellos problemas de carácter colectivo que afecten a los trabajadores en general y a los afiliados al Sindicato.

5. Serán, asimismo, informados y oídos por la Empresa con carácter previo:

a) Acerca de los despidos y sanciones que afecten a los afiliados al sindicato.

b) En materia de reestructuración de plantilla, regulaciones de empleo, traslado de trabajadores cuando revista carácter colectivo o del Centro general y sobre todo proyecto o acción empresarial que pueda afectar sustancialmente a los intereses de los trabajadores.

c) La implantación o revisión de sistemas de organización del trabajo y cualquiera de sus posibles consecuencias.

6. Podrán recaudar cuotas a sus afiliados, repartir propaganda sindical y mantener reuniones con los mismos, todo ello fuera de las horas efectivas de trabajo.

7. Con la finalidad de facilitar la difusión de aquellos avisos que pudieran interesar a los respectivos afiliados al Sindicato y a los trabajadores en general, la Empresa pondrá a disposición de los Sindicatos cuya representación ostente el Delegado, un tablón de anuncios que deberá establecerse dentro de la Empresa y en lugar donde se garantice, en la medida de lo posible, un adecuado acceso al mismo por todos los trabajadores.

8. En materia de reuniones, ambas partes, en cuanto al procedimiento se refiere, ajustarán su conducta a la normativa legal vigente.

9. En aquellos Centros en los que ello sea materialmente factible, y en los que posean una plantilla superior a 1.000 trabajadores, la Dirección de la Empresa facilitará la utilización de un local, a fin de que el Delegado o representante del Sindicato ejerza las funciones y tareas que como tal le corresponden.

10. Los Delegados ceñirán sus tareas a la realización de las funciones sindicales que les son propias.

11. Cuota sindical: A requerimiento de los trabajadores afiliados a las Centrales o Sindicatos que ostenten la representación a que se refiere este apartado, las Empresas descontarán en la nómina mensual de los trabajadores el importe de la cuota sindical correspondiente. El trabajador interesado en la realización de tal operación remitirá a la Dirección de la Empresa, un escrito en el que se expresará con claridad la orden de descuento, la Central o Sindicato a que pertenece, la cuantía de la cuota, así como el número de la cuenta corriente o libreta de Caja de Ahorros a la que debe ser transferida la correspondiente cantidad. Las Empresas efectuarán las antedichas detracciones, salvo indicación en contrario, durante períodos de un año.

La Dirección de la Empresa entregará copia de la transferencia a la representación sindical en la Empresa, si la hubiere.

12. Excedencia: Podrá solicitar la situación de excedencia aquel trabajador en activo que ostenta cargo sindical de relevancia provincial, a nivel de Secretariado del Sindicato respectivo y nacional en cualquiera de sus modalidades. Permanecerá en tal situación mientras se encuentre en el ejercicio de dicho cargo, reincorporándose a su Empresa si lo solicitara en el término de un mes al finalizar el desempeño del mismo. En las Empresas con plantilla inferior a 50 trabajadores, los afectados por el término de su excedencia, cubrirán la primera vacante que de su grado profesional se produzca en su plantilla de pertenencia, salvo pacto individual en contrario.

13. Participación en las negociaciones de los Convenios Colectivos: A los Delegados sindicales o cargos de relevancia nacional de las Centrales implantadas nacionalmente y que participen en las Comisiones Negociadoras de Convenios Colectivos, manteniendo su vinculación como trabajadores en activo de alguna Empresa, les serán concedidos permisos retribuidos por las mismas, a fin de facilitarles su labor como negociadores y durante el transcurso de la antedicha negociación, siempre que la Empresa esté afectada por la negociación en cuestión.

Artículo 44. De los Comités de Empresa.

Se podrán acumular las horas de los distintos miembros del Comité de Empresa y, en su caso, de los Delegados de Personal en uno o varios componentes con las siguientes limitaciones y condiciones:

Siempre que el disfrute rebase la utilización normal de las horas sindicales de que se trate y, por tanto, se utilice la acumulación deberá producirse un preaviso de, al menos, siete días con el fin de que la Empresa pueda programar la sustitución del productor de que se trate.

En todo caso la acumulación no podrá exceder del importe correspondiente a noventa horas al mes.

Artículo 45. Ayudas.

Los trabajadores a los que, sea de aplicación este Convenio, recibirán una ayuda mensual de 60,10€ por cada hijo minusválido físico o psíquico, cuya condición haya sido reconocida por la Seguridad Social.

Dicha ayuda se percibirá proporcionalmente a los días de permanencia en alta.

Asimismo se acuerda que los trabajadores afectados por este Convenio perciban, por el concepto de ayuda escolar, la cantidad de 15,02€ por curso y por unidad familiar. Esta ayuda se abonará en una sola vez en el mes de septiembre, previa presentación del certificado que acredite la matriculación del hijo o hijos afectos a escolaridad obligatoria.

Esta ayuda escolar alcanzará a todo el personal de la empresa. El personal con contrato eventual, percibirá la ayuda en proporción a los días de permanencia en alta en la empresa. En el supuesto de que trabajen en la misma empresa el hombre y la mujer con derecho a la ayuda escolar, queda convenido la perciban solo uno de ellos.

Artículo 46. Reserva de puesto de trabajo para disminuidos psíquicos y físicos.

Se estará a lo dispuesto en la legislación vigente.

Disposición adicional primera.

Se entienden incorporadas al presente Convenio en los términos promulgados o que se promulguen en lo sucesivo, todas las disposiciones de carácter general a las que no se haya dado tratamiento distinto en este Convenio.

Disposición adicional segunda. Comisión Paritaria Interpretativa.

Se establece una Comisión Paritaria, compuesta por ocho miembros, de los cuales cuatro corresponderán a las organizaciones sindicales y otros cuatro a las organizaciones empresariales, cuyas funciones y competencias, serán las siguientes:

1. Conocimiento y resolución de cuantas cuestiones en materia de aplicación e interpretación del Convenio, le sean sometidas.

2. El desarrollo de las funciones de adaptación o, en su caso, modificación del Convenio durante su vigencia. En este caso, deberá incorporarse a la Comisión Paritaria la totalidad de los sujetos legitimados para la negociación, aunque no hayan sido firmantes del Convenio, siendo exigible la concurrencia de los requisitos de legitimación previstos en el Estatuto de los Trabajadores para que los acuerdos de modificación posean eficacia general.

3. Conocimiento de las discrepancias tras la finalización del período de consultas en materia de inaplicación de las condiciones de trabajo previstas en el Convenio, disponiendo la Comisión Paritaria de un plazo de 7 días para pronunciarse, a contar desde que la discrepancia fuera planteada. Cuando ésta no alcanzara un acuerdo, las partes deberán recurrir a los sistemas no judiciales de solución de conflictos correspondientes.

4. Conocimiento de los acuerdos alcanzados durante el período de consultas en materia de inaplicación de las condiciones de trabajo previstas en el Convenio.

5. Emitir resolución, sobre las consultas planteadas relativas a la actividad de un determinado subsector o empresa y su vinculación o no, con el ámbito funcional del presente Convenio.

Para garantizar la rapidez y efectividad de la misma y la salvaguarda de los derechos afectados, se establecen los siguientes procedimientos y plazos de actuación de la Comisión Paritaria:

● La correspondiente información, comunicación y/o solicitud de intervención de la Comisión Paritaria se enviará por escrito y a efectos de notificaciones y convocatorias a la sede patronal, FEICOPESCA, C/Velázquez, n.º 64, 3.ª planta, C.P. 28001, Madrid.


● Recibida dicha información, comunicación y/o solicitud de intervención dirigida a la Comisión Paritaria, ésta se remitirá al resto de organizaciones firmantes del Convenio, en un plazo no superior a quince días, debiendo contener una propuesta de fechas para su tratamiento. No obstante, se establece un plazo máximo de intervención de la Comisión Paritaria de un mes a contar desde que se recibió la petición de intervención. Dichos plazos de comunicación e intervención se establecen con la salvedad de lo previsto en el apartado tercero de las funciones y competencias de la Comisión Paritaria.

● Si una vez reunida la Comisión Paritaria, se mantuvieran las discrepancias en el seno de dicha Comisión o, cumplido dicho término, la Comisión Paritaria no se hubiese reunido, las partes se someterán a los sistemas no judiciales de solución de conflictos correspondientes.

Se entenderá válidamente constituida la Comisión, cuando asista la mayoría simple de cada representación. Las partes podrán acudir a las reuniones con la asistencia de asesores.

Para que tenga validez un acuerdo en el seno de la Comisión, se requerirá el voto favorable de la mayoría de cada representación.

De cada reunión se levantará acta, que será firmada al menos por un representante de cada organización.

Igualmente, y como función específicamente a desarrollar durante la vigencia de este Convenio, la Comisión Paritaria se encargará de adaptar el sistema de clasificación profesional al funcionamiento actual de las empresas, introduciendo claridad en la nueva clasificación, la cual estará basada en grupos profesionales, niveles y subniveles. Adicionalmente, la Comisión Paritaria asumirá durante la vigencia del Convenio la redefinición del absentismo regulado en el artículo 40 del Convenio, así como el Capítulo IX sobre faltas, sanciones y abuso de autoridad del Convenio.

Disposición adicional tercera. Comisión de Contratación.

La contratación, previo acuerdo entre las partes, será uno de los temas a tratar en las reuniones del Comité de Empresa o Delegados de Personal, en su caso, en cada Centro de Trabajo entre la Dirección de la Empresa y la Representación Legal de los Trabajadores en la misma proporción al resultado electoral obtenido en las elecciones sindicales.

Las partes, de manera no vinculante para la empresa, estudiarán siempre que sea necesario medidas para prevenir la utilización abusiva de la contratación temporal, externalización de actividades, presencia de contratos provenientes de ETTs., y todo aquello relacionado con la contratación en el Centro de Trabajo. Además de lo anterior, se entregará cuando sea solicitado copia básica de los contratos. Asimismo, explorará la prejubilación a los 61 años y la jubilación parcial con contrato de relevo.

En el supuesto de que no se alcanzase un acuerdo, la materia objeto de discusión se remitirá a la Comisión Paritaria de Interpretación del Convenio para su análisis.

Disposición adicional cuarta. Igualdad de Oportunidades y No Discriminación.

Las partes firmantes del Convenio, conscientes de la importancia de la igualdad de oportunidades y la no discriminación, acuerdan dar continuidad a la Comisión Paritaria para la Igualdad de Oportunidades y No Discriminación, cuyo funcionamiento y competencias se contienen en el correspondiente reglamento interno.

De conformidad con lo dispuesto en la Ley Orgánica 3/2007, las empresas están obligadas a respetar la igualdad de trato y de oportunidades en el ámbito laboral y, con esta finalidad, deberán adoptar medidas dirigidas a evitar cualquier tipo de discriminación laboral entre mujeres y hombres.

En el plazo de seis meses las empresas y sindicatos se comprometen convocar la Comisión Paritaria para la Igualdad de Oportunidades y No Discriminación, que tendrá como objetivo hacer un diagnóstico de la empresa, fijar medidas de igualdad, y sistemas de seguimiento y evaluación.

Disposición adicional quinta.

Las partes firmantes coinciden en la necesidad de que se aborde la formación profesional en el Sector como instrumento más significativo para conseguir el asentamiento del mismo.

A estos efectos, las partes firmantes consideran necesario:

– Se realicen estudios de carácter prospectivo respecto a las necesidades formativas.

– Se desarrolle y promueva la aplicación efectiva del artículo 22 del Estatuto de los Trabajadores.

– Se promuevan acciones formativas en sus diversas modalidades y niveles.

A los efectos anteriores se constituirá una Comisión Paritaria de Formación de entre los componentes de la Comisión Interpretativa del Convenio.

Plus especial trabajos tóxicos, penosos o peligrosos.

Las Centrales Sindicales presentarán un catálogo de puestos de trabajo a los que sería de aplicación este plus, que una vez puesto en común con la representación empresarial será incorporado al texto del Convenio Colectivo, fijándose posteriormente su cuantía.

Disposición transitoria primera.

A) Seguridad e Higiene en el Trabajo.

Las organizaciones que suscriban este acuerdo se comprometen a desarrollar las acciones y medidas en materia de salud laboral que sean necesarias para lograr unas condiciones de trabajo donde la salud del trabajador no se vea afectada por las mismas.

La obligada aplicación de la legislación vigente debe superarse en las lagunas y desfases que pueda presentar ante los nuevos sistemas de trabajo y los riesgos profesionales que de ellos se deriven.

Los planteamientos de estas acciones y medidas deberán estar encaminados a lograr una mejora de la calidad de vida y medio ambiente de trabajo, desarrollando objetivos de promoción y defensa de la salud, mejoramiento de las condiciones de trabajo, potenciación de las técnicas preventivas como medio para la eliminación de los riesgos en su origen y control y participación sindical en los Centros de trabajo.

B) Plan de Prevención.

Se recaba de la Administración la confección de un Plan de Prevención en materia de salud y seguridad. Este plan recogerá:

a) Mapa de riesgos para el Sector.

b) Programas de actuación.

c) Técnicas de prevención.

d) Normas de actuación preventiva para cada punto de trabajo.

e) Estudio epidemiológico.

Al efecto, la representación empresarial prestará la colaboración necesaria.

C) Información.

El empresario estará obligado a dar a conocer a los trabajadores, sus representantes legales y/o organizaciones sindicales implantadas en su ámbito, completa información sobre los riesgos a los que el trabajador está expuesto y las características de seguridad de que está dotada la maquinaria, útiles y locales donde se trabaja.

D) Prevención colectiva.

Todo Centro de trabajo establecerá en el plazo inferior a un año desde la firma de este Convenio, un programa de protección colectiva que recoja aspectos tales como:

– Señalización de seguridad acorde con la legislación vigente.

– Planificación y dibujo de pasillos peatonales y de transporte de mercancías.

– Señalización de velocidad.

– Vallas y escaleras.

– Normas de niveles de elevación y apilamiento de mercancías.

– Señalización de las redes eléctricas.

– Señalización de emergencias y evacuación.

– Zonas de uso obligado de protección personal, etc.

Este programa deberá ser dado a conocer a los trabajadores y en todo momento expuesto en lugares visibles de los Centros de trabajo.

E) Protección de máquinas.

El trabajador y el empleado estarán obligados a respetar las protecciones de las máquinas según diseño original, pudiendo suspender el trabajo caso de que la maquinaria no esté debidamente protegida.

Será de obligado cumplimiento el mantenimiento preventivo de la máquina o cualquier elemento móvil del Centro de trabajo.

F) Plan de emergencia y evacuación.

Se elaborará un plan de emergencia y evacuación que responda a las necesidades de la Empresa en función de su actividad laboral, con participación de los representantes legales.

Disposición transitoria segunda. Despidos objetivos.

En aquellas empresas que no superen un índice general de absentismo global del centro de trabajo del 2,5 % no se computarán a los efectos de despido objetivo las faltas de trabajo derivadas de enfermedad común, accidente no laboral.

Disposición transitoria tercera.

Las partes signatarias del Convenio acuerdan adherirse en su totalidad y sin condicionamiento alguno al V Acuerdo sobre Solución Autónoma de Conflictos Laborales (Sistema Extrajudicial de Conflictos), así como a su Reglamento de aplicación vinculado en consecuencia a la totalidad de los trabajadores y empresas incluidos en los ámbitos territorial y funcional que representan.

Disposición transitoria cuarta. Estructura de la Negociación Colectiva.

En virtud del presente Convenio Colectivo y de conformidad con el artículo 83.2 del ET, la estructura de la negociación colectiva en el sector de conservas, semiconservas, ahumados, cocidos, secados, elaborados, salazones, aceites y harinas de pescados y mariscos, se articula en los siguientes niveles sustantivos de convenio.

a. Convenio estatal de conservas, semiconservas, ahumados, cocidos, secados, elaborados, salazones, aceites y harinas de pescados y mariscos: Su contenido regula las condiciones generales de trabajo a aplicar en todo el ámbito sectorial y con la vigencia que en el propio convenio se establece.

b. Convenio colectivos de empresas: Los contenidos objeto de negociación en esta unidad de negociación será sobre el desarrollo o adaptación de materias del presente  convenio estatal, cuando éste así lo establezca por remisión expresa. Asimismo, serán materias de negociación mediante convenios colectivos de empresa las materias no dispuestas en el presente Convenio estatal.

Todo ello, sin perjuicio de lo establecido en el artículo 84.2 del Estatuto de los Trabajadores.

Con la señalada estructura, las partes signatarias consideran suficientemente cubiertas dentro del marco estatutario la negociación colectiva en el sector de conservas, semiconservas, ahumados, cocidos, secados, elaborados, salazones, aceites y harinas de pescados y mariscos.

Disposición final.

Las partes firmantes de este Convenio, a tenor de lo dispuesto en el artículo 90 del Estatuto de los Trabajadores, acuerdan el envío del presente original a la Dirección General de Empleo, para su registro, así como al Órgano de Mediación, Arbitraje y Conciliación, para su depósito, disponiéndose ulteriormente por aquella la publicación en el «Boletín Oficial del Estado».

Imagen

Imagen

Imagen

Imagen

Imagen

Imagen

Imagen

Imagen

Imagen

Imagen

Imagen

Imagen

Imagen

Imagen

Imagen

Imagen

Imagen

Imagen

Imagen

Imagen

Imagen

Imagen

Imagen

Imagen

Imagen

Imagen

Imagen

Imagen

Imagen

Imagen

Imagen

Imagen

Imagen

Imagen

Imagen

Imagen

Imagen

Imagen

Imagen

Imagen

Imagen

Imagen

Imagen

Imagen

Imagen

Imagen

Imagen

Imagen

Imagen

Imagen

Imagen

Imagen

Imagen

Imagen

Imagen

Imagen

Imagen

Imagen

Imagen

Imagen

Imagen

Imagen

Imagen

Imagen

Imagen

Imagen

Imagen

Imagen

Imagen

Imagen

Imagen

Imagen

Imagen

Imagen

Imagen

Imagen