17469  documentos en la base de datos
Convenios por Federación
♦ FICA
♦ FeSMC
♦ FeSP
 

CONVENIO COLECTIVO PARA EL PERSONAL DE LA RED COMERCIAL DE LA EMPRESA AGUAS DE FONTVELLA Y LANJARÓN, SA

Resolución de 7 de marzo de 2013, de la Dirección General de Empleo, por la que se registra y publica el Convenio colectivo para el personal de la red comercial de Aguas de Fontvella y Lanjarón, SA.

Visto el texto del Convenio colectivo para el personal de la red comercial de la empresa Aguas de Fontvella y Lanjarón, SA (código de convenio número 90100051012013), que fue suscrito, con fecha 8 de noviembre de 2012, de una parte por los designados por la Dirección de la empresa, en representación de la misma, y, de otra, por los Delegados de personal de la red de ventas, en representación de los trabajadores afectados, y de conformidad con lo dispuesto en el artículo 90, apartados 2 y 3, de la Ley del Estatuto de los Trabajadores, Texto Refundido aprobado por Real Decreto Legislativo 1/1995, de 24 de marzo, y en el Real Decreto 713/2010, de 28 de mayo, sobre registro y depósito de convenios y acuerdos colectivos de trabajo,

Esta Dirección General de Empleo resuelve:

Primero.

Ordenar la inscripción del citado convenio colectivo en el correspondiente Registro de convenios y acuerdos colectivos de trabajo con funcionamiento a través de medios electrónicos de este Centro Directivo, con notificación a la Comisión Negociadora.

Segundo.

Disponer su publicación en el Boletín Oficial del Estado.

Madrid, 7 de marzo de 2013.–El Director General de Empleo, Xavier Jean Braulio Thibault Aranda.

CONVENIO PERSONAL RED DE VENTAS – AGUAS FONTVELLA Y LANJARÓN, S.A.

Capítulo 1. Estipulaciones Generales

Artículo 1. Objeto

El presente convenio tiene por objeto regular las condiciones laborales de la sociedad «Aguas Fontvella y Lanjarón, S.A.», con el personal incluido dentro de los ámbitos territorial y personal que se describen.

Artículo 2. Ámbito Territorial

Dentro del Estado español afecta a los centros de trabajo para la red de ventas, denominados «oficinas comerciales» y que actualmente se encuentran ubicadas en las provincias de Barcelona, Madrid, Valencia, Sevilla y Granada.

Artículo 3. Ámbito Personal

Comprenderá al personal de la red comercial proveniente de Fontvella, S.A., y Lanjarón, Sociedad Anónima, dado de alta en régimen general de la seguridad social en el número patronal de la sociedad y unido a esta por contrato laboral, sin ninguna distinción de otra índole.

Queda exceptuado:

a) El personal recogido en los artículos 1.3 y 2.1 del Real Decreto Legislativo 1/1995 texto refundido de la Ley del Estatuto de los Trabajadores.

b) El personal denominado «manager» que, aun estando afecto de lo contenido en el texto normativo y beneficios sociales, está excluido de lo contenido en tabla salarial y cualquier otro concepto retributivo, que es tratado en entrevista anual de desarrollo con su superior jerárquico.

Artículo 4. Ámbito Temporal

El Convenio tendrá una duración de tres años, desde el 1 de enero de 2012 hasta el 31 de diciembre de 2014.

Artículo 5. Prórroga y Denuncia

La vigencia de este Convenio se prorrogará tácitamente por años completos y naturales, siempre que dos meses antes del fin del ámbito temporal, no se interponga denuncia expresa por cualquiera de las partes firmantes, que habrá que presentarse ante la autoridad laboral.

Artículo 6. Compensación, Absorción y Garantías Personales

En materia de compensación y absorción se estará a lo dispuesto en las normas legales de aplicación al caso, sin perjuicio de lo de con carácter específico se determina de manera concreta en este Convenio.

Las retribuciones salariales fijadas en normas legales, promulgadas bajo la vigencia del presente Convenio colectivo o de cualquiera de sus prórrogas, sólo afectará a los trabajadores a él vinculados cuando la cuantía de tales retribuciones salariales consideradas en conjunto y cómputo anual fuesen superiores a las que estuvieran establecidas en el mismo, también en conjunto y en cómputo anual. en este supuesto, los trabajadores afectados tendrán derecho a percibir la diferencia que existiera entre el régimen salarial del presente convenio colectivo y el establecido en dichas normas legales, imputándola a la percepción en la forma que se acuerde.

Se respetarán la situaciones personales que en su conjunto sean, desde el punto de vista de la percepción, más beneficiosas que las fijadas en el presente Convenio, manteniéndose estrictamente «ad personam».

La interpretación de lo dispuesto en este artículo corresponde a la comisión paritaria, sin perjuicio de la competencia de los órganos administrativos o contenciosos en la materia.

Artículo 7. Comisión Paritaria

Se mantiene la comisión paritaria de interpretación y vigilancia del Convenio como órgano de interpretación, arbitraje, conciliación y vigilancia de su cumplimiento.

Se compondrá de dos vocales por la representación de los trabajadores y dos vocales por la representación de la dirección.

El funcionamiento de la comisión paritaria se regirá por lo dispuesto en las normas legales dictadas sobre la materia; los acuerdos, dentro de cada representación, se tomarán por mayoría simple.

Actuará en primera instancia en todo conflicto que pudiera surgir entre las partes, en particular según lo mandatado en el artículo 85 E.T. en su apartado c): procedimiento para solventar las discrepancias en la no aplicación de las condiciones de trabajo en relación con el artículo 82.3 y el apartado e): para entender de cuantas cuestiones sean establecidas por ley, así como el establecimiento de procedimientos y plazos de actuación.

En este último sentido, convocada la comisión por cualquiera de las partes con una antelación de 15 días, conteniendo orden del día concreto, se reunirán en períodos definidos, levantando acta de cada reunión mantenidas, donde se especificarán plazos de actuación, origen de divergencias, diferentes posturas y el resultado final, que será de obligado cumplimiento para ambas partes.

En caso de subsistir el desacuerdo y previo a la vía judicial, incluirán, como último punto del acta final, la voluntad del sometimiento al acuerdo sobre solución de conflictos laborales, que deberá ser acordada por ambas partes y definir en detalle en qué forma se adhieren al mismo.

Artículo 8. Partes Concertantes

El presente Convenio ha sido concertado entre los delegados de personal de la red de ventas y la dirección de la empresa, debidamente facultados.

Artículo 9. Vinculación a la Totalidad

Las condiciones pactadas forman un todo orgánico e indivisible, y a efectos de su aplicación práctica serán considerados globalmente.

En el supuesto de que la jurisdicción competente declarase la ilegalidad o ineficacia de alguno de los pactos del convenio, éste quedará sin eficacia práctica en su globalidad debiendo reconsiderarse su contenido.

Artículo 10. Garantía de Convenio

Las partes del Convenio acuerdan, y a ello se comprometen formalmente, no solicitar ni adherirse a ningún otro convenio, cualquiera que sea su ámbito de aplicación.

Capítulo 2. Organización del Trabajo

Artículo 11. Principio General

La organización del trabajo en cada una de las secciones y dependencias de la empresa, es facultad y responsabilidad exclusiva de la dirección; ésta contrae el deber de llevarla a efecto de tal manera que pueda lograr el máximo rendimiento dentro del límite racional y humano de los elementos a su servicio, a cuyo fin contará con la necesaria colaboración del personal.

Sin perjuicio de lo establecido en el punto anterior, corresponde a los representante de los trabajadores las funciones de proponer y asesorar en lo relacionado con la organización y racionalización del trabajo.

Todo ello de acuerdo con lo establecido en los artículos número 20 sobre dirección y control de la actividad laboral, y número 64, sobre derecho de información consulta y competencia de los comités de empresa, del Real Decreto Legislativo 1/1995 del Estatuto de los Trabajadores.

Artículo 12. Facultades de la Dirección

Son facultades entre otras de la dirección de la empresa, con sujeción a las normas legales de obligada observancia y a las estipulaciones del presente Convenio:

a) La realización de cuantos estudios y pruebas prácticas sean necesarios para la mejora de la producción en general, y en particular, de los procesos y de los métodos operatorios, niveles de rendimiento, cambio de funciones, variaciones técnicas o materiales que influyan favorablemente en la consecución de los objetivos previstos.

b) El establecimiento de las cargas correctas de trabajo y del rendimiento mínimo exigible, debidamente atendidos los niveles de calidad fijados, a cuyo efecto podrán  utilizarse cualesquiera de las técnicas de observación, medición y control internacionalmente admitidas. La no exigencia de dicho rendimiento en un momento determinado, nunca podrá interpretarse como renuncia o dejación de este derecho.

c) La asignación de tareas a cada trabajador, de forma que la carga de trabajo a él encomendada represente la efectiva saturación de la jornada.

d) La determinación y el establecimiento de las plantillas que proporcionen el mejor índice de productividad laboral, de acuerdo con las necesidades de cada momento.

Artículo 13. Cambio de Puesto de Trabajo

Se denomina cambio de puesto de trabajo el resultado de la movilización del personal dentro de los límites del centro de trabajo, de acuerdo a lo preceptuado en el artículo 39, movilidad funcional del Estatuto de los Trabajadores.

El cambio podrá tener origen en alguna de las siguientes causas:

a) A petición del trabajador: En este caso se requerirá su solicitud por escrito, y de accederse por parte de la empresa se le asignará la categoría y remuneración correspondientes al nuevo puesto, sin derecho a indemnización alguna.

b) Por mutuo acuerdo entre empresa y trabajador: en este supuesto se estará a lo convenido por escrito entre ambas partes.

c) Por necesidades del servicio: En los casos en que por aplicación de nuevos métodos de trabajo, mecanización, racionalización de las explotaciones, condiciones antieconómicas de alguna de ellas, saturación de la jornada de los trabajadores, crisis de mercado, agrupación de las instalaciones o del personal en función de una mayor productividad, sea necesaria la movilidad del personal, se seguirán las normas siguientes:

– Si el puesto al que se le destina fuere de superior categoría o retribución que el puesto de procedencia, el trabajador percibirá la retribución del nuevo puesto a partir de la fecha del cambio, a menos que el nuevo puesto requiera una fase previa de adiestramiento o adaptación, en cuyo caso y por todo el período fijado para ello se le mantendrá la retribución del puesto de origen. el trabajador que realice funciones de categoría superior a la que le corresponda a la categoría profesional que tuviera reconocida, por un período de seis meses durante un año u ocho meses alternos durante dos años, podrá reclamar ante la dirección de la empresa la clasificación profesional adecuada.

– Si el puesto de destino fuere de categoría inferior a la del origen, serán informados de este hecho los delegados de personal, el trabajador mantendrá inalterada la retribución básica del puesto de procedencia.

d) Por disminución de la capacidad física del trabajador: En los casos en que fuere necesario efectuar el cambio en razón de la capacidad disminuida del trabajador y cuando tuviese ésta su origen en alguna enfermedad profesional o accidente de trabajo no imputable a él, o desgaste físico natural como consecuencia de una dilatada vida de servicio en la empresa, el trabajador mantendrá la retribución del puesto de procedencia mientras la asignada al nuevo no la supere, estando aquélla sujeta a las absorciones y compensaciones necesarias a tal efecto.

Artículo 14. Clasificación y Definición del Personal

La clasificación del personal de la empresa se atendrá, según sus funciones, a uno de los siguientes grupos profesionales:

Grupo I. Administrativos: Son los trabajadores que realizan trabajos de mecánica administrativa y otros análogos. Corresponde a este grupo el gestor comercial.

Grupo II. Comerciales: Son los trabajadores que se dedican a la promoción de la venta y comercialización de los productos de la empresa y al desarrollo de su publicidad. Corresponde a este grupo el jefe de sector.

Las categorías enunciadas en este artículo son las actualmente reconocidas, pudiendo existir alguna otra denominación, como jefe de área o key account, respetada con carácter individual, que se pudiera acordar sin perjuicio de ninguna de las partes.

Capítulo 3. Del Personal

Artículo 15. Selección e Ingreso del Personal

La empresa realizará las pruebas de ingreso que considere oportunas, y clasificará al personal con arreglo a las funciones para las que haya sido contratado y no por las que pudiera estar capacitado para realizar.

Artículo 16. Período de Prueba

El período de prueba no podrá exceder en ningún caso del que a continuación se señala:

Técnico Titulado Superior:

6 meses

Resto de trabajadores:

3 meses

 

Solo se entenderá que el trabajador está sujeto al período de prueba si así consta por escrito en su contrato.

Durante el período de prueba, tanto la empresa como el trabajador podrán resolver libremente el contrato sin que ninguna de las dos partes tengan derecho a indemnización alguna.

En todo caso, el trabajador percibirá durante el período de prueba la retribución correspondiente a la categoría profesional para la que fue contratado.

Transcurrido el período de prueba para los trabajadores que ocupen una vacante, conforme dispone el artículo precedente, pasarán a formar parte de la plantilla con la condición de fijos.

En caso de accidente laboral de un trabajador durante el período de prueba, que produzca secuelas importantes que de alguna forma imposibiliten su continuidad en el puesto de trabajo para el que fuera contratado, será considerada por la dirección de la empresa su incorporación a otro puesto de trabajo dentro del seno de la misma, acorde con sus posibilidades físicas.

Artículo 17. Formación del Personal

La empresa elaborará anualmente el plan de formación, que será entregado a los delegados de personal, conteniendo los contenidos formativos para el año en cuestión, independientemente, por iniciativa de la empresa o a propuesta de los trabajadores, la dirección podrá organizar otros cursillos o seminarios tendentes a mejorar los conocimientos profesionales del personal para el desarrollo de su trabajo.

Asimismo, será parte de la responsabilidad del puesto de trabajo de cada trabajador realizar cursillos para estar al corriente de las nuevas técnicas que ayuden al ejercicio de sus funciones.

La asistencia de cursillos de formación profesional, serán tenidos en cuenta en la valoración del historial del trabajador para caso de promociones.

Artículo 18. Privación del Carné de Conducir

En caso de privación del permiso de conducir a cualquier trabajador en la prestación de servicios a la empresa, se estará a lo contenido en la norma desarrollada al efecto y que se adjunta a este texto de Convenio como anexo 3.

Capítulo 4. Jornada de Trabajo

Artículo 19. Jornada de Trabajo

La jornada anual de trabajo durante la vigencia de este Convenio será de 1.784 horas de trabajo efectivo salvo norma legal más favorable, con una jornada laboral de 40 horas a razón de 8 horas diarias de lunes a viernes.

Artículo 20. Descanso Dominical y Festivos Abonables

El personal en general disfrutará del reglamentario descanso en los domingos y fiestas que se señalen en el calendario oficial cada año promulgado por las autoridades competentes.

Para los años de vigencia del convenio se considerarán festivos dos días, que se determinarán en cada área en el respectivo calendario laboral anual.

Artículo 21. Vacaciones Reglamentarias

Todos los trabajadores disfrutarán de 23 días laborables de vacaciones, que serán retribuidas en función del salario real, salvo los conceptos pactados en distinta forma.

Las vacaciones se podrán disfrutar a lo largo de todo el ejercicio, con períodos no superiores a dos semanas consecutivas y de acuerdo con su superior jerárquico, para atender las necesidades de las distintas zonas.

Artículo 22. Calendario Laboral

La dirección elaborará anualmente el calendario laboral y expondrá un ejemplar del mismo en el tablón de anuncios del centro de trabajo.

Artículo 23. Permisos y Licencias

El trabajador, avisando con la suficiente o en su caso posible antelación, y justificándolo adecuadamente, podrá faltar o ausentarse del trabajo con derecho a remuneración, por alguno de los motivos y durante el tiempo que a continuación se expresan:

a) Por matrimonio, quince días.

b) Durante dos días, que podrán ampliarse a cuatro, justificándolos, cuando el trabajador necesite realizar un desplazamiento, en los casos de: nacimiento de un hijo; enfermedad grave, o intervención quirúrgica o fallecimiento del cónyuge, hijo/a, padre o madre de uno u otro cónyuge, nietos, abuelos o hermanos.

c) Durante un día, por traslado del domicilio habitual.

d) Por el tiempo indispensable para el cumplimiento de un deber inexcusable de carácter público y personal, comprendido el ejercicio del sufragio activo y la obtención o renovación del permiso de conducir, cuando este permiso esté relacionado con los cometidos del puesto, cuando conste en una norma legal o convencional, un período determinado, se estará a lo que ésta disponga en cuanto a duración de la ausencia y a su compensación económica.

e) Por el tiempo establecido para disfrutar de los derechos educativos generales y de la formación profesional, en los puestos y en la forma regulados por la ley.

Artículo 24. Excedencias

El régimen de excedencias será el que se regula en el artículo 46 del Estatuto de los Trabajadores.

La petición de reingreso deberá hacerse dentro del período de disfrute de la excedencia, en los supuestos de excedencia voluntaria; en caso de no solicitarlo en el período señalado, se entenderá que el beneficiario causa baja voluntaria.

Transcurrido el tiempo de excedencia solicitado, será potestativo de la empresa ampliarla o prorrogarla a solicitud del empleado.

Solicitando el reingreso en tiempo y forma, y una vez agotado el período de excedencia, el empleado tendrá derecho a cubrir la primera vacante que se produzca dentro de su grupo profesional o categoría.

En ningún caso constituirá causa justificativa para la solicitud de la excedencia voluntaria la pretensión del empleado de prestar sus servicios en otros establecimientos del ramo.

Artículo 25. Potestad Disciplinaria

La potestad disciplinaria corresponde a la dirección, quien hará uso de la misma con arreglo a lo dispuesto en la legislación vigente; en materia de faltas y sanciones, las partes se someterán por este expreso convenio a lo previsto en el artículo 58 del Real Decreto Legislativo 1/1995, de 24 de marzo, por el que se aprueba el texto refundido de la Ley del Estatuto de los Trabajadores.

Articulo 26. Procedimiento para la Imposición de Sanciones

Las sanciones por faltas leves podrán ser comunicadas verbalmente al interesado.

Las sanciones por faltas graves y muy graves, incluida la de despido, deberán ser notificadas por escrito a los interesados, haciéndose constar los hechos que lo motivan.

La dirección dará cuenta al comité de empresa de todas las faltas graves y muy graves que imponga.

Capítulo 5. Representación del Personal

Artículo 27. La asamblea de Trabajadores

La asamblea de los trabajadores es el órgano soberano de decisión en el ámbito de su competencia, esto es, a nivel de centro de trabajo.

Participan en ella todos los trabajadores del centro de trabajo y controla al delegado de personal.

Queda prohibida la presencia de personas ajenas a la plantilla, salvo en los casos de asesores convocados por alguna de las partes.

Podrán convocar la asamblea, la dirección de la empresa, el comité de empresa, los delegados de personal en su ámbito de representación o un 33 % del total de la plantilla, según el artículo 77 del Estatuto de los Trabajadores.

Para la convocatoria de la asamblea debe existir un orden del día, fijado por el órgano que la convoque; este orden del día deberá ser comunicado con tiempo suficiente, para que pueda ser estudiado y discutido por la representación social o por la dirección, según el convocante.

Para que la asamblea sea representativa, se necesitará la presencia en la misma del sesenta por ciento de los trabajadores de la plantilla y cuando se someta a la asamblea por parte de los convocantes la adopción de acuerdos que afecten al conjunto de los trabajadores, se requerirá para la validez de aquéllos el voto favorable personal, libre, directo y secreto, incluido el voto por correo, de la mitad más uno de los trabajadores de la empresa o centro de trabajo.

Artículo 28. Delegados de Personal

La empresa reconoce a los actuales delegados de personal elegidos de conformidad con la legislación vigente y con las presentes normas, como la representación general de los intereses de los trabajadores en sus respectivas competencias.

Serán funciones del delegado de personal las reconocidas en el título II con sus artículos concordantes del Real Decreto Legislativo 1/1995 del Estatuto de los Trabajadores.

Capítulo 6. Retribución

Artículo 29. Principios Generales Sobre la Retribución

Los impuestos, cargas sociales y cualquier deducción o retención de tipo obligatorio que gravan en la actualidad o que pudieran gravar en el futuro las percepciones del personal, serán satisfechas por quien corresponda con arreglo a la ley.

Los importes de las percepciones que figuran en este Convenio son, en todos los casos, cantidades brutas.

Los importes de cotización a efectos del régimen general de la seguridad social serán, en cada caso, los legalmente establecidos.

Artículo 30. Plus de Vinculación-Antigüedad

Para el personal proveniente de Fontvella, S.A., el plus de vinculación será el que figura en la columna 2 del anexo 1. Se efectuará en 15 pagos (doce mensualidades y tres pagas extras) en proporción a los días laborables efectivamente trabajados durante el mes, excepción hecha de las vacaciones anuales reglamentarias así como de las licencias que tengan este carácter. La percepción de este plus sustituye y anula la de las cantidades que como antigüedad (trienios), se venían abonando antes de la entrada en vigor de este acuerdo.

Para el personal proveniente de Lanjarón, S.A., el plus de antigüedad será el importe de los trienios calculados a razón de un dos por ciento del salario base de cada categoría.

Artículo 31. Pagas Extraordinarias

Para el personal proveniente de Fontvella, S.A., en los meses de julio, octubre y diciembre se abonarán a los trabajadores sendas gratificaciones extraordinarias por importe, cada una de ellas, de una mensualidad de los conceptos salario base, plus convenio, premio de vinculación y garantía personal, en su caso, que se devengarán en cuantía proporcional al número de días de permanencia en la empresa con respecto a una anualidad completa (de 365 días de permanencia).

Para el personal proveniente de Lanjarón, S.A., quedan establecidas quince pagas anuales, consistentes en:

Doce mensualidades ordinarias, compuestas por salario base más antigüedad.

Tres pagas extraordinarias anuales (abril, julio y diciembre) equivalentes al salario base más antigüedad.

Artículo 32. Salario Base

Se considerará como tal los especificados en la columna 1 del anexo 1.

Artículo 33. Plus de Convenio

Para el personal proveniente de Fontvella, S.A., se conceptuará como tal la cantidad que, para cada categoría o puesto de trabajo, figure en la columna 3 del anexo 1.

Este plus se percibirá por día trabajado y en proporción a las horas trabajadas, haciéndose efectivo asimismo en los días teóricamente laborables del período de vacaciones.

Artículo 34. Plus de Asistencia

Para el personal proveniente de Lanjarón, S.A., se establece un plus de asistencia por importe de 13,19 euros por día efectivo de trabajo, la cual no se percibirá con motivo de ausencia injustificada, permiso para asuntos particulares y baja por enfermedad común. A los solos efectos de esta prima, el retraso en la entrada al trabajo por más de diez minutos durante dos días en plazo no superior a treinta, se reputará como una ausencia injustificada, a tal efecto.

Artículo 35. Pago de las Retribuciones

El pago de las retribuciones ordinarias mensuales y de las gratificaciones extraordinarias, se hará mediante transferencia a la entidad bancaria elegida libremente por el trabajador.

La empresa se compromete a dar las oportunas órdenes al banco correspondiente con la debida antelación como para que cada trabajador pueda percibir sus devengos en la fecha legalmente señalada.

El personal de la empresa tendrá derecho a percibir anticipos a cuenta hasta el límite del noventa por ciento de las cantidades devengadas.

Capítulo 7. Mejoras Sociales

Artículo 36. Estipulaciones Generales

Se conviene expresamente que las mejoras incluidas en el presente capítulo afectarán al personal que acredite una antigüedad mínima de un año de permanencia en la empresa.

Artículo 37. Complemento en Situación de I.T.

En los casos de I.T. por enfermedad común del trabajador, accidente laboral o baja maternal, la empresa abonará el complemento necesario para que juntamente con las prestaciones económicas de la entidad aseguradora el trabajador afectado perciba en cada paga de carácter mensual, desde el primer día de la baja el 100 % de sus prestaciones salariales fijas correspondientes a esa fecha.

Igualmente en las pagas extraordinarias, la empresa abonará el 100 % de la percepción estipulada en el párrafo anterior. En ningún caso, paga mensual o paga extra, la suma de los importes correspondientes por prestaciones reglamentarias y complemento, superarán globalmente el 100 % de la retribución que correspondería en activo.

Los complementos acordados se percibirán en los dos primeros procesos de I.T. que se produzcan dentro de un mismo año, a partir del tercero, no se percibirá complemento alguno por encima de la prestación reglamentaria de pago delegado que pudiese corresponder.

La comunicación a la empresa de la baja, así como los sucesivos partes de confirmación de la misma que se produzcan, deberá ser hecha en el mínimo plazo posible al departamento de administración de personal, a fin de poder cumplir con lo contenido en este artículo.

La empresa se reserva la facultad de solicitar al personal médico cuantos reconocimientos de cualquier trabajador en situación de baja considere necesario. la negativa del trabajador a dichos reconocimientos supondrá la pérdida de dicho complemento.

Artículo 38. Ayuda a Trabajadores con Hijos Disminuidos Psicofísicos a su Cargo

Los trabajadores con hijos a su cargo a quienes por la Seguridad Social les haya sido oficialmente reconocida la condición de disminuidos percibiendo por ello la prestación económica reglamentaria correspondiente, percibirán mensualmente una ayuda de 218 euros.

Si el padre y la madre del disminuido fuesen ambos trabajadores de la empresa, la ayuda sólo se abonará a uno de ellos.

La comisión mixta podrá estudiar excepcionalmente la concesión de esta ayuda a trabajadores con hijos disminuidos, cuya condición no haya sido oficialmente reconocida por la seguridad social, aunque con carácter graciable y temporal en cualquier caso.

Para el pago de esta ayuda no es necesaria antigüedad en la empresa.

Artículo 39. Premio de Nupcialidad

Los trabajadores percibirán al contraer matrimonio un premio de nupcialidad. Su importe variará según las siguientes circunstancias: se computará por días de trabajo anuales correspondiendo a los tres años de antigüedad 987 euros y por tiempo inferior, la cantidad proporcional que corresponda.

Artículo 40. Premio de Natalidad

Los trabajadores percibirán al nacimiento de sus hijos un premio de natalidad, consistente en el pago de 246 euros.

En el supuesto de que ambos cónyuges fuesen empleados de la empresa, el premio lo recibirá solamente uno de ellos, salvo en el caso del primer hijo del matrimonio en que lo recibirán los dos.

Artículo 41. Fondo de Ayudas Familiares

Se crea un fondo de 4.152 euros para cubrir, en todo o en parte, necesidades extraordinarias de tipo familiar que hubiesen podido producirse a lo largo del año.

La comisión mixta estudiará en el mes de diciembre las solicitudes que se hayan presentado para la adjudicación de las ayudas de este fondo.

Artículo 42. Lote de Navidad

Se seguirá entregando a los trabajadores, con motivo de las fiestas de Navidad, un lote de características de cantidad y calidad similares a los de años anteriores.

Artículo 43. Premio Especial de Vinculación

Al cumplir los trabajadores 25 años de antigüedad en la empresa, recibirán un diploma conmemorativo de dicha efemérides.

La dirección de la empresa les obsequiará en tal ocasión con un reloj, cuyas características y valor serán determinadas por ésta en cada momento.

Artículo 44. Seguro Colectivo

El seguro colectivo que la empresa tiene suscrito con la entidad aseguradora Axa Aurora Vida, S.A. (U.A.P.), afectará también a todo el personal de la red de ventas, una vez haya superado el período de prueba establecido.

Artículo 45. Ayudas para el Perfeccionamiento Profesional

a) Requisitos: Se establece esta mejora para todo el personal, siempre que el interesado tenga unas capacidades aptitudinales y una antigüedad de dos años en la empresa, que el curso a realizar esté en relación con su puesto de trabajo y no perturbe su normal cometido laboral en la empresa. la dirección concederá las plazas que sean necesarias en cada momento.

b) Duración del cursillo: Cuando el cursillo sea de duración superior a un año será necesario llevar tres años en la plantilla para solicitar el mismo.

Según el coste del curso, durante el primer año será totalmente a cargo de la empresa y los sucesivos serán sufragados al aprovechamiento evidenciado durante el primer año.

c) Cese en la empresa: En el supuesto de que el trabajador cese voluntariamente en la empresa, sin haber transcurrido un año desde la finalización del curso que haya realizado, deberá restituir el 50 % de su importe.

Si el curso efectuado hubiese sido superior a un año, la restitución del 50 % deberá realizarse siempre y cuando no haya transcurrido un período de tiempo, desde la terminación del curso hasta el cese voluntario, superior al de duración del cursillo.

Artículo 46. Definición del Baremo Mensual

Se entiende por baremo base mensual, a efectos del pago de algunas mejoras sociales, la doceava parte del salario bruto del año anterior, sin contabilizar las horas extraordinarias.

Artículo 47. Ayuda Escolar

a) Se establece una cantidad monetaria, durante los meses que van de septiembre a junio inclusive, con la escala del anexo 2 teniendo en cuenta los coeficientes a aplicar según los índices del baremo base mensual y el del número de hijos.

b) Al comienzo del curso escolar, el trabajador que crea tener derecho a la percepción de la presente ayuda deberá cumplimentar la correspondiente solicitud o documento análogo expedido por el centro en que su(s) hijo(s) curse(n) los estudios.

c) En el caso de repetir curso, se le abonará por una sola vez la cantidad base, sin aplicar coeficiente alguno.

d) En el supuesto de un matrimonio con hijos, en el que ambos sean empleados de la empresa, se abonará únicamente una ayuda escolar y en base al que tenga una mayor retribución.

Artículo 48. Préstamos

Norma general:

a) Para la obtención de un préstamo, sea cual fuese la modalidad del mismo, se necesitará una antigüedad de tres años. con dos años o un año de antigüedad, la cuantía será proporcional al tiempo de vinculación.

b) La comisión tendrá en cuenta el orden de petición y las necesidades para la concesión del préstamo.

c) Para la obtención de un préstamo deberán presentarse todos aquellos datos y documentos que acrediten la solicitud formulada.

d) No se concederá ningún nuevo préstamo si no han transcurrido 24 meses desde la amortización del último préstamo concedido.

Artículo 49. Préstamos para la Adquisición de Nueva Vivienda

El montante total de este tipo de préstamos será de 30.884 euros, y no se concederá ningún nuevo préstamo hasta que exista el saldo acreedor correspondiente.

Este tipo de préstamos sólo se concederán para la adquisición de la que vaya a ser vivienda habitual, excluyéndose las viviendas para segunda residencia.

Este tipo de préstamos con estas condiciones podrán otorgarse también para el acondicionamiento de vivienda, previa renuncia a solicitarlo por las condiciones establecidas en el artículo 50 («préstamos para acondicionamiento de vivienda»).

Se concederán préstamos individuales hasta un máximo de 6.000 euros, al tipo de interés medio anual que le sea aplicado a la empresa en el momento de la concesión menos dos puntos, a devolver en 72 mensualidades, todos ellos del mismo importe, e incluirán tanto la amortización como los intereses calculados según el método de interés compuesto usado comúnmente por todas las instituciones financieras.

Artículo 50. Préstamos para Acondicionamiento de Vivienda

a) El montante total de este tipo de préstamo será de 5.640 euros.

b) La cantidad máxima prestada será la de 5.640 euros.

c) Si el plazo para la devolución del préstamo sobrepasara los 12 meses, a partir del decimotercero hasta el vigésimo cuarto, se le aplicará el interés medio anual en las condiciones fijadas en el artículo 49, párrafo 4.º, y sobre la cantidad que sobrepase los 1.346 euros.

Este tipo de préstamos con estas condiciones, podrán otorgarse también para la adquisición de nueva vivienda, previa renuncia a solicitarlo por las condiciones establecidas en el artículo 49 («para la adquisición de nueva vivienda»).

Se acuerda que si surgiera la necesidad de completar el montante para conceder préstamos de «adquisición de nueva vivienda», se podrá hacer uso de la cantidad sobrante de los préstamos de «acondicionamiento de vivienda», sin sobrepasar el total de la suma de los dos que es de 36.524 euros.

Artículo 51. Préstamos Ordinarios

El montante total de este tipo de préstamo será de 5.640 euros.

Este tipo de préstamos serán concedidos solamente para casos de primera necesidad, relacionados con enfermedad, accidente, u otros motivos ocasionales de similar índole que tuviesen los trabajadores, o los familiares de primer grado que convivan con ellos, sin devengar intereses.

Se concederá hasta un máximo de 5.640 euros; la amortización se realizará en el plazo máximo de doce meses si la cantidad solicitada no sobrepasa los 1.346 euros, y si sobrepasa dicha cantidad el plazo de devolución será proporcional a la cantidad que exceda de 1.346 euros hasta el máximo de 5.640 euros.

Artículo 52. Fiscalidad

Todas las mejoras sociales de contenido económico, de acuerdo con la ley vigente en cada momento, estarán sujetas a la fiscalidad aplicable.

Artículo 53. Plan de Pensiones de Empleo

Durante la vigencia de este Convenio se continuará con el plan de pensiones de empleo para los beneficiarios de las mejoras sociales recogido en el artículo 36 del presente Convenio, aportando por cuenta de la empresa y a cada partícipe, antes del final de cada año, el importe de un 1 % de su salario anual definido, recogido en el anexo de participación en beneficios.

El seguimiento del plan de pensiones corresponderá a los integrantes de la comisión paritaria recogida en el artículo 7 del presente Convenio colectivo.

Artículo 54. Vales Restaurante

Se continuará abonando a los gestores de las oficinas comerciales, en concepto de ayuda económica para la comida, mediante el sistema de tarjeta «buen menú» por día efectivo de presencia, por tanto quedando excluidos los días de ausencia por enfermedad, indisposición, vacaciones, formación, trabajo externo, etc., un importe al día de 9 euros.

Artículo 55. Seguro de Salud

A partir del mes siguiente del registro del presente Convenio, y a cargo de la empresa, todos los trabajadores fijos de los centros de trabajo afectos del presente Convenio colectivo disfrutarán de un seguro de salud privado, en este caso concertado con la compañía aseguradora CIGNA, cuya cobertura y alcance han sido presentados a los representantes de los trabajadores.

Disposición Final Primera. Incremento y Revisión Salarial

El incremento salarial pactado para los años de vigencia del convenio será el definido en el II Acuerdo para el Empleo y la Negociación Colectiva publicado en el Boletín Oficial del Estado número 31 del 6 de febrero de 2012.

Disposición Final Segunda. Participación en Beneficios.

Se acuerda prorrogar el «contrato de participación en beneficios», cuya parte dispositiva consta como anexo 4 al presente Convenio formando parte integrante del mismo.

Disposición Final Tercera. Garantías Económicas «ad personam»

Las diferencias anuales –si las hubiere– entre las retribuciones globales anuales correspondientes a la anterior estructura y la que establece el presente convenio, se agruparán en un nuevo y único concepto que se denominará «garantía ad personam», constituyéndose una tasa horaria de carácter individual que se abonará en cada hora normal trabajada y en las teóricas laborales correspondientes al período de vacaciones reglamentarias.

Disposición Final cuarta. Derecho Supletorio

En todo lo no previsto en el presente Convenio regirán como normas supletorias el Estatuto de los Trabajadores y las demás disposiciones legales o reglamentarias de general aplicación.

Disposición Final Quinta. Régimen de Convenio

El régimen que con carácter general se establece en el presente Convenio anula y sustituye a cualquier otras condiciones generales o particulares que pudiesen existir para los trabajadores en la empresa con anterioridad a la entrada en vigor del mismo.

Disposición Final Sexta. Ley de Igualdad Efectiva de Hombres y Mujeres.

La comisión negociadora de este Convenio se adhiere a los mandatos de la ley orgánica 3/2007 de 22 de marzo, para la igualdad efectiva de mujeres y hombres, en particular a los efectos de ingreso, retribución, promoción y formación.

ANEXO 1

Retribuciones

 

Salario base

(Art. 32)

 

Plus vinculación-antigüedad

(Art. 30)

 

Plus convenio

(Art. 33)

 

Plus salario base

Garantía

ad personam

(3.ª D.final)

 

Jefe Sector Fontvella, S.A

637,07

20,78

808,38

Individual

Jefe Sector Lanjarón, S.A.

1.871,89

2%

160,21

Individual

Gestor Comercial

637,07

18,58

722,73

Individual

 

ANEXO 2

Ayuda escolar

Importe de las ayudas

 

Euros/mes

Educación Infantil

29,08

Educación Primaria

29,08

Enseñanza Secundaria Obligatoria

50,89

Bachillerato y Módulos Prof. (II)

61,15

Universidad y Módulos Prof. (III)

87,25

 

Índice por baremo base mensual

 

Coeficientes

0 € hasta 600 €

1,20

601 € hasta 735 €

1,15

736 € hasta 1.100 €

1,10

1.001 € hasta 1.825 €

1,05

1.826 € hasta

1,00

 

Índice por número de hijos

Hasta 1 hijo

1,00

Con 2 hijos

1,10

Con 3 hijos

1,20

Con 4 hijos

1,30

Con 5 hijos o más

1,40

 

ANEXO 3

Reglamento de conducción

1) Todo aquel empleado que para realizar su trabajo necesite utilizar un vehículo, deberá estar en posesión del carnet de conducir correspondiente, según la normativa vigente, así:

a) Para poder prever y/o anticipar acciones correctoras el trabajador deberá informar a la compañía del cambio de estatus de su carnet de conducir.

b) La empresa hará un audit, con una frecuencia regular, de los puntos de carnet de conducir de la red de ventas y empleados con coche de función, según protocolo de prevención del programa wise.

c) Las consecuencias de no poder realizar su trabajo habitual por no estar en disposición del carnet de conducir por reiteración de faltas y sanciones (retirada de puntos) serán:

1. El trabajador podrá solicitar una excedencia voluntaria con reincorporación en la compañía el día en que esté de nuevo en disposición del carnet de conducir.

2. Si existe la posibilidad y acuerdo entre las partes, reubicación del trabajador en una área / zona que le permita realizar un trabajo con movilidad vía transporte público. su salario quedará adaptado a su nueva función y los gastos de traslado, movilidad y/o estancia requeridos por el nuevo puesto serán a cargo del trabajador.

2) Retirada del carnet de conducir por alteración voluntaria de las condiciones físicas normales (alcohol, sustancias psicoactivas,…).

La dirección comunica que como norma general:

No se puede consumir alcohol ni sustancias psicoactivas y conducir.

Si la retirada del carnet de conducir se produce por estas razones:

a. Durante la realización del trabajo o «in itinere»: • Consecuencias: será considerada sanción muy grave y será de aplicación el régimen de faltas y sanciones.

b. Fuera de la jornada laboral: el trabajador podrá optar por:

1. El trabajador podrá solicitar una excedencia voluntaria con reincorporación en la compañía el día en que esté de nuevo en disposición del carnet de conducir.

2. Si existe la posibilidad y acuerdo entre las partes, reubicación del trabajador en una área / zona que le permita realizar un trabajo con movilidad vía transporte público. Su salario quedará adaptado a su nueva función y los gastos de traslado, movilidad y/o estancia requeridos por el nuevo puesto serán a cargo del trabajador.

ANEXO 4

Contrato de participación en beneficios

Preámbulo

El presente contrato de participación en beneficios es el resultado de una evolución del sistema implantado en 1993.

El análisis de este período de consolidación del mismo ha puesto de relieve la necesidad de que tal fórmula participativa aglutine y sea expresión, además de los anteriores objetivos rectores de los años anteriores, de los siguientes

Objetivos

– Tiene por objetivo asociar el conjunto del personal a la prosperidad de la empresa a la que contribuye con sus esfuerzos. en el caso de que los resultados sean suficientemente favorables, permite a todos recuperar parte de sus esfuerzos a través de la distribución de un suplemento de renta.

– Requiere el desarrollo de acciones de formación e información llevado a cabo para permitir a cada uno un mejor entendimiento de los resultados económicos de la empresa: La evolución de los mercados de productos fabricados, las obligaciones causadas por la competencia, las consecuencias que tiene el entorno económico sobre la formación de los precios de coste, las metas y los resultados de las acciones emprendidas para aumentar la seguridad del personal, incrementar la productividad, mejorar la calidad y conseguir ahorrar en todos los campos.

– La puesta en práctica de un método de cálculo sencillo de los resultados de explotación obtenidos por la actividad de la empresa.

– Neutralizar los efectos de la política financiera de la sociedad y del grupo.

– Incorporar la estrategia de la sociedad a medio plazo.

– Tener en cuenta la realidad social del entorno.

– La política de Font Vella, S.A., tiende a dar al personal en su conjunto, unos recursos materiales tan elevados como sea posible, en el contexto de una economía competitiva y de mercado, y, por ello, se articula alrededor de los tres puntos siguientes:

1) Salarios: Los salarios, remunerando un servicio, están sometidos a las leyes del mercado laboral; son objeto de negociaciones y Font Vella, S.A., desea, por voluntad y filosofía, llevar a cabo, dentro de lo posible, una política salarial que la coloque en el grupo de cabeza de las sociedades que ejercen el mismo tipo de actividad.

2) Participación en beneficios: Además, Font Vella, S.A., considera que el personal de la sociedad en su conjunto debe recibir anualmente parte del incremento de la riqueza creada y beneficiarse así de los esfuerzos comunes, fuente de prosperidad de la empresa.

Para ello, y más allá de la remuneración salarial, el personal podrá percibir una renta complementaría determinada por un acuerdo contractual que define la fórmula de esta participación en beneficios.

3) Esta política de rentas es el resultado de la observación siguiente:

A) El salario, elemento ligado a un trabajo dado, no puede variar directamente en función de los resultados anuales de la empresa, que, por definición, son aleatorios.

B) Sin embargo, cuando se crea prosperidad y riqueza, es justo y deseable que el conjunto del personal se beneficie también de ello.

Acuerdo

Art. 1.º Campo de aplicación y vigencia.

1. El contrato de participación en beneficios se aplicará al centro de trabajo de la red de ventas.

2. El presente contrato se firma para un período de un año, y podrá ser prorrogado por períodos de un año de común acuerdo entre Font Vella, S.A., y los representantes del personal de la red de ventas.

Art. 2.º Beneficiarios.

1. Se beneficiarán de la participación el personal al que se refiere el capítulo I, artículo 3 del presente Convenio, del centro de trabajo de la red de ventas en plantilla, que haya acreditado más de seis meses de trabajo efectivo (su equivalente en horas ordinarias efectivas, es decir, horas-año ordinarias/11 × 6) durante el ejercicio de referencia.

2. Existe una sola excepción a esta regla: Se podrá abonar la parte de participación en beneficios proporcional al tiempo de presencia en Font Vella, S.A., a cualquier personal que, durante el ejercicio correspondiente y de común acuerdo con la dirección, se incorporara a Font Vella, S.A., procedente de una empresa del grupo o bien dejara Font Vella, S.A., para ir a otra empresa del mismo grupo.

Art. 3.º Cálculo de la participación total de los beneficios.

1. Siempre que el resultado del ejercicio sea igual o superior al tres por ciento (3 %) sobre la cifra de negocios neta, la cantidad total de participación será el resultado de multiplicar el beneficio de explotación por un coeficiente «x» que se obtiene de las fórmulas siguientes:

Imagen

2. Como definiciones específicas de los conceptos empleados, de beneficio de explotación y cifra de negocios neta, se dan las siguientes:

a) Cifra de negocios neta: Es la cantidad reflejada en la casilla b.1 «importe neto de la cifra de negocios» de la cuenta de pérdidas y ganancias normal de los impresos normalizados que todas las sociedades presentan al registro mercantil con la memoria anual.

Este importe es la cifra de ventas de la sociedad una vez descontadas las devoluciones y «rappels» sobre ventas.

b) beneficios de explotación: Es la cantidad reflejada en la casilla a.1 «beneficios de explotación» de la cuenta de pérdidas y ganancias normal de los impresos normalizados descritos anteriormente.

Este importe es el resultado de: (b.1.+ b.2 + b.3 + b.4 - a.1 - a.2 - a.3 - a.4 - a.5 - a.6), significando cada uno de ellos lo siguiente:

b.1 = Importe neto de la cifra de negocios.

b.2 = Aumento de existencias de productos terminados y en curso de fabricación.

b.3 = Trabajos efectuados por la empresa para el inmovilizado.

b.4 = Otros ingresos de explotación.

a.1 = Reducción de existencias de productos terminados.

a.2 = Aprovisionamientos.

a.3 = Gastos de personal.

a.4 = Dotaciones para amortizaciones de inmovilizado.

a.5 = Variación de las provisiones de tráfico.

a.6 = Otros gastos de explotación.

c) Si los impresos normalizados a que se hace referencia en las letras a) y b) fueran modificados, las partes, de común acuerdo adoptarán las medidas necesarias para su adaptación.

Art. 4.º Cálculo de la participación de un centro.

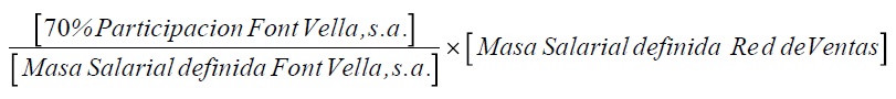
1. La participación en beneficios total de un centro de trabajo o colectivo es igual a la suma de la participación no jerarquizada más la participación jerarquizada, que se definen a continuación:

a) Participación no jerarquizada:

Imagen

b) Participación jerarquizada:

 

Imagen

2. Como definiciones específicas de los conceptos empleados en las fórmulas, de plantilla de Font Vella, S.A., y plantilla de la red de ventas, masa salarial definida y salario individual definido, se establecen las siguientes:

a) Plantilla de Font Vella, S.A., y del centro: Estará constituida, cada una, por aquel personal que tenga una antigüedad de más de seis meses a 31 de diciembre, integrando la suma resultante tanto el personal vinculado por contrato de duración indefinida (CDI), como el personal vinculado por contrato de duración determinada (CDD).

b) Masa salarial definida de Font Vella, S.A., y del centro: Representará, cada una, la suma de los salarios individuales definidos a continuación para el centro de trabajo o el colectivo laboral.

c) Salario individual definido: La suma de los conceptos siguientes:

– Salario base.

– Plus convenio.

– Premio de vinculación.

– Garantías complementarias «ad personam» del convenio colectivo.

No se tomará en cuenta ningún otro concepto salarial o extrasalarial.

Art. 5.º Cálculo de la participación individual.

1. La participación en beneficios individual es igual a la suma de la participación en beneficios no jerarquizada más la participación en beneficios jerarquizada. El importe global de la participación en beneficios se distribuye de la forma siguiente:

a) El 30 % del importe total se distribuye en parte iguales a cada asalariado de la red de ventas proporcionalmente a su tiempo de trabajo (participación en beneficios no jerarquizada).

b) El 70 % del importe total se distribuye en función de la masa salarial definida junto con el tiempo de presencia en el centro de trabajo de referencia (participación en beneficios jerarquizada).

2. Participación no jerarquizada, su 30 % se distribuirá en partes iguales a cada asalariado del centro de trabajo, proporcionalmente a sus horas trabajadas y tomadas en cuenta. El importe individual será:

Imagen

3. Participación jerarquizada, su 70 % se distribuirá conjuntamente en función del salario definido individualmente y del tiempo de trabajo en el centro. el importe individual será:

Imagen

4. Límites: El importe máximo de la participación en beneficios percibido por cada empleado no podrá sobrepasar el 20 % del salario bruto definido anual.

En el supuesto de que el montante total de la participación fuere superior al 20 % del salario bruto definido anual, el exceso irá destinado a un fondo para promover medidas en favor del empleo en cada centro de trabajo.

La comisión de seguimiento será informada previamente del destino del saldo de dicho fondo.

5. Definiciones: Tanto en el concepto de horas trabajadas del centro como en el concepto de horas trabajadas del asalariado, se incluyen:

a) Las horas efectivas de trabajo, exceptuando las horas extraordinarias cuya incidencia provocaría un incremento del horario anual propio a cada centro de trabajo e incluyendo la deducción del tiempo de interrupción del «bocadillo».

b) Las horas de delegación y las horas sindicales remuneradas de la empresa.

c) Las horas de formación dentro de la jornada laboral.

d) Las horas de ausencia resultando de un accidente de trabajo.

e) Los permisos legales por maternidad.

f) Las vacaciones pagadas legales y de convenio.

Las ausencias por cualquier otro motivo distintas de las anteriormente citadas no se tendrán en cuenta.

Art. 6.º Modalidades de pago.

El pago de la participación en beneficios no podrá efectuarse antes de que el Consejo de Administración apruebe los resultados del ejercicio transcurrido.

Sin embargo, un pago a cuenta del 70 % del importe estimado de la participación individual podrá ser abonado en el mes de marzo, una vez finalizado el año en cuestión.

Art. 7.º Modificaciones.

En caso de que nuevas disposiciones legales creasen una obligación de la misma naturaleza para la empresa, estas disposiciones legales sustituirán el presente contrato pero no se añadirían a éste.

En este caso, si algunas disposiciones del presente contrato se revelasen más favorables que las nuevas disposiciones legales, su aplicación sería mantenida por encima de la ley.

Si, de común acuerdo, las partes decidiesen aportar modificaciones al presente contrato, un apéndice se establecería antes del 31 de diciembre anterior al ejercicio considerado y sería sometido a los mismos procesos de homologación que el contrato inicial.

Si interviniesen modificaciones de estructura jurídica en la sociedad a la que hace referencia el presente acuerdo (Font Vella, S.A.), o si un acontecimiento importante y extraordinario viniera a modificar considerablemente la economía de la fórmula de cálculo de la participación en beneficios, las partes deciden desde ahora en adelante examinar juntas las eventuales consecuencias de tales modificaciones sobre el presente contrato o eventualmente modificarlo si fuese pertinente.

Art. 8.º Baja de la empresa.

Cualquier baja de la empresa y del Grupo Danone en el curso del ejercicio provocará la renuncia a esta participación en beneficios.

Art. 9.º Comisión de seguimiento.

1. La comisión de seguimiento formada por miembros del comité de empresa se encargará de informar al personal sobre los principales acontecimientos ocurridos en la empresa en cuanto a cuestiones sociales, así como sobre los resultados económicos y su impacto sobre la participación en beneficios, con el bien entendido que las percepciones brutas individualizadas, tanto salariales, como de participación, de cada trabajador, son confidenciales, salvo autorización expresa de cada persona dirigida a la dirección de la empresa.

2. Junto con el pago de la participación en beneficios, cada asalariado recibirá una nota individual que indique:

– El importe total de la participación en beneficios de Font Vella, S.A., así como las reglas generales de cálculo de éste.

– El desglose de su cálculo individual.

– La fecha de pago.

Esta comisión tendrá por objetivo dar a conocer a la dirección cualquier sugerencia que permita mejorar los resultados.