17469  documentos en la base de datos
Convenios por Federación
♦ FICA
♦ FeSMC
♦ FeSP
 

CONVENIO COLECTIVO EN LA EMPRESA “SERVICIOS URBANOS AMARILLOS S.L.U.” (SUA ) 2013/2014

Consejería de Economía, Innovación, Ciencia y Empleo Cádiz

Código del convenio: 1100162011982. Convenio: SERVICIOS URBANOS AMARILLOS, S.L.U. Expediente: 11/01/0088/2013. Localizador del trámite: NN43XP58. ACTA SUBSANACIÓN CONVENIO Reunidos en las instalaciones de Servicios Urbanos Amarillos, S.L.U., siendo las 13’00 h. del día 03/05/2013, de una parte Mª del Milagro Pérez Pérez como Interventora Técnica y de otra el presidente del comité de empresa D. José Mª romero Núñez y el secretario D. Juan González Laynez, tratan los siguientes temas:

Revisada la comunicación de subsanación enviada por la Sección de Relaciones Colectivas, de la Junta de Andalucía, en relación al Convenio Colectivo, acuerdan las siguientes modificaciones:

• Artículo 12º Licencias: donde dice “6 días naturales en caso de alumbramiento de esposa” ha sido sustituido por “6 días naturales en caso de nacimiento de hijo/a”.

• Artículo 29º se ha sustituido el título que decía “Viudas y huérfanos” por el siguiente:

“VIUDOS/AS, PAREJAS DE HECHO Y HUÉRFANOS/AS”

• Artículo 6º Pluses: Se ha cambiado la categoría Limpiadora por Limpiador/a. Así como en el Anexo H, tabla salarial.

Sin otros asuntos que tratar se levanta la reunión en Jerez de la Frontera a 03 de mayo de 2013. Por el Comité, Por la Interventora Técnica, firmado.

CONVENIO COLECTIVO DE ÁMBITO LOCAL PARA LA EMPRESA “SERVICIOS URBANOS AMARILLOS, S.L.U.” (SUA ) Y SUS TRABAJADORES/AS PARA LOS AÑOS 2013 Y 2014.

Artículo 1. Ámbito de Aplicación

El presente Convenio Colectivo, será de aplicación a las relaciones laborales entre la Empresa “SERVICIOS URBANOS AMARILLOS, S.L.U.” y los/as productores/as vinculados/as a la misma sin ningún tipo de exclusión, siendo su ámbito territorial la ciudad de Jerez de la Frontera.

Los firmantes del presente Convenio Colectivo, garantizarán la igualdad de oportunidades entre hombres y mujeres, así como la no discriminación por cuestiones de género, raza, religión o cualquier otra condición, de conformidad con la legislación vigente nacional, jurisprudencia y directivas comunitarias.

Artículo 2. Ámbito Temporal

El presente Convenio Colectivo tendrá una duración temporal de DOS AÑOS y entrará en vigor con efectos retroactivos el 1 de Enero de 2013, expirando su vigencia el 31 de Diciembre de 2014. Carecerán por tanto de eficacia retroactiva, entrando en vigor a la fecha de la firma del presente convenio, aquellas otras materias, que específicamente se señalen en texto del convenio y, en cualquier caso, las modificaciones introducidas en jornada, licencias, descanso semanal y compensatorio, reducción de horas de servicio, recolocación de personal declarado en situación de Incapacidad Permanente Total, reducción de horas de servicio y complemento de IT.

Prorrogándose tácitamente en todo su articulado y cuantías económicas hasta tanto no se suscriba el nuevo Convenio Colectivo que sustituya el presente.

Llevada a cabo la denuncia, las partes firmantes comenzarán las negociaciones del próximo convenio, al inicio del último trimestre de su vigencia. Denunciado el mismo, y hasta tanto no se logre acuerdo expreso, mantendrán plena validez las estipulaciones aquí prescritas, ya sean de carácter obligacional, normativo o económico.

Concluida la vigencia del presente Convenio y por lo tanto, con efectos de 01/01/2015, se revisarán todos los conceptos económicos del mismo, incrementándose su importe en el I.P.C. previsto por el Gobierno para 2015. Las cantidades abonadas como consecuencia de la indicada revisión, lo serán en concepto de pago a cuenta de los futuros incrementos salariales que pudiesen pactarse en el nuevo Convenio Colectivo y serán objeto de compensación con cargo a los incrementos que pudiesen acordarse en el mismo.

Artículo 3. Compensación

Las remuneraciones fijadas en este Convenio, sustituyen y compensan en su conjunto a todas las retribuciones o emolumentos de carácter salarial o extrasalarial que viniera devengando el personal con anterioridad, sin que en ningún caso el/la trabajador/a pueda sufrir disminución en la retribución anual global.

Artículo 4. Retribuciones

Las condiciones de remuneraciones pactadas entre las partes, se considerarán siempre en base a un rendimiento normal de trabajo.

Dada las características laborales de la Empresa y las dificultades técnicas y prácticas para la confección de una tabla módulo de rendimiento mínimo, sobre este extremo, se estará, a los tradicionales usos y costumbres, recomendándose a los/as productores/as afectados/as, que cumplan sus cometidos con verdadero afán de superación.

A todos los efectos legales se entenderá por Salario: el Salario Base, el Plus de Asistencia, el Plus de Presencia, las Gratificaciones Extraordinarias y la Antigüedad regulada en el artículo 10º.

Artículo 5. Prima de Transporte y Asistencia

Todo el personal afectado por el presente Convenio, tendrá derecho a percibir por cada día trabajado, un Plus de Transporte en cuantía de 3.28 Euros para el año 2013. Asimismo, percibirá una Prima o Plus de Asistencia en cuantía de 2.80 Euros para 2013. Estos pluses también se percibirán el sexto día de la semana o primero de descanso, denominado “descanso laboral”.

La Prima de Asistencia se percibirá incluso en vacaciones. Esta Prima de Asistencia se perderá la jornada en que el/la trabajador/a se retrase más de diez minutos en la hora de entrada. Si este retraso se repitiese tres veces en el mismo mes, se perderá la Prima correspondiente a cinco días.

Artículo 6. Pluses

a) Plus de Peligrosidad en la cuantía de 18.76 Euros, por mes para todo el personal de movimiento y limpieza.

b) Plus de Nocturnidad. Los/as Productores/as del 2º turno percibirán en cuantía de 2.58 Euros. por cada día trabajado. Este plus, también se percibirá el sexto día de la semana o primero de descanso, denominado “descanso laboral”.

c) El personal de trabajo nocturno de mantenimiento y limpieza, percibirá como plus de Nocturnidad el 35% de su salario base, incrementado por la Antigüedad, igual derecho tendrá el personal eventual de la misma categoría.

d) Cuando las necesidades del servicio lo requieran a juicio de la Empresa y el/la Agente Único, debiera realizar las funciones de conductor, se le respetarán todos los derechos económicos que le corresponda como Agente Único.

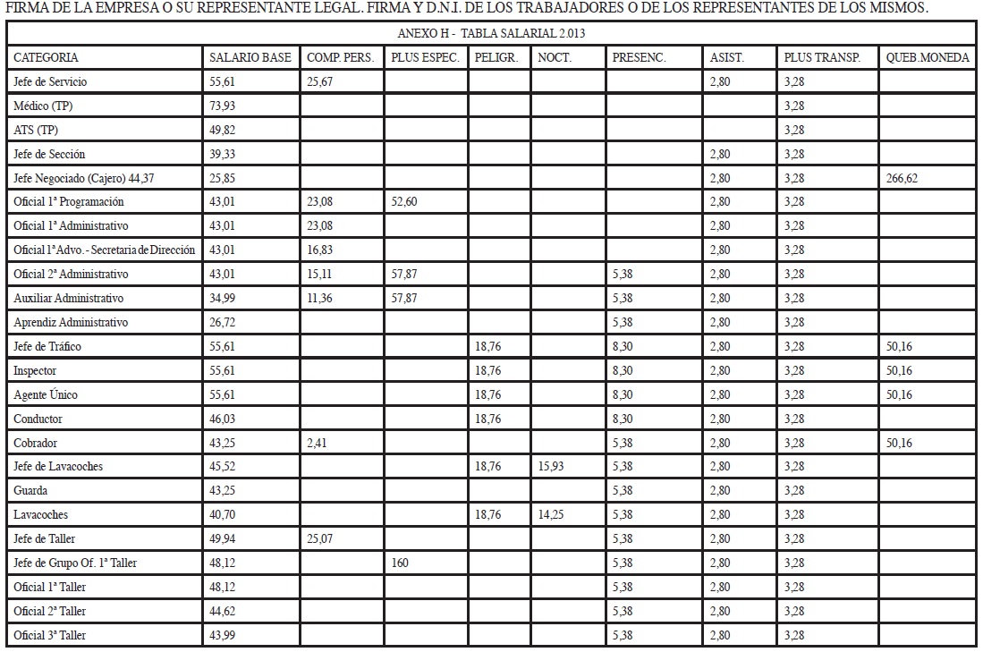
e) Se reconoce expresamente en este Convenio, la existencia de un Plus denominado “Complemento Personal”, que percibirán los/as trabajadores/as de esta empresa, según relación:

CATEGORÍA LABORAL EUROS/DÍA COMPLEMENTO PERSONAL

Jefe de Servicio

25.67

Jefe de Negociado-Cajero

25.85

Jefe de Taller

25.07

Oficial 1ª Programación

23.08

Oficial 1ª Administrativo

23.08

Oficial 1ª Advo.- Secretaria de Dirección

16,83

Oficial 2ª Administrativo

15.11

Auxiliar Administrativo

11.36

Cobrador

2.41

Limpiador/a

2.41

 

f) Se reconoce expresamente en este Convenio, la existencia de un Plus denominado “Plus Especial”, que percibirán los/as trabajadores/as de esta empresa, según relación:

CATEGORÍA LABORAL EUROS/MES PLUS ESPECIAL

Jefe de Grupo Oficial 1ª Taller

160,00

Oficial 1ª Programación

52,60

Oficial 2ª Administrativo

57,87

Auxiliar Administrativo

57,87

Limpiador/a

57,87

 

Artículo 7. Quebranto de Moneda

Por dicho concepto, la empresa abonará a los/as Agentes Únicos, Jefes de Tráfico, Cobradores/as e Inspectores/as la cantidad de 50.16 Euros , mensuales. Estas cantidades serán percibidas por los/as trabajadores/as en su cuantía total, mientras se encuentren en situación de I.T. derivada de enfermedad común y accidente de trabajo y se pagará en las vacaciones que tenga designado el/la productor/a.

El/la Jefe de Negociado (Cajero), así como todo/a aquel/la administrativo/a que gestione por cobros o por pagos de dinero de la empresa, recibirá un plus mensual por dicho concepto, de igual cuantía para todos, en cuantía de 266.62 Euros, mensuales.

El quebranto de moneda correspondiente al año natural se abonará de una sola vez, coincidiendo con el mes de vacaciones del/la productor/a.

Sin perjuicio del incremento general pactado para cada año de vigencia del presente convenio este concepto se incrementará en el mismo porcentaje en que se incremente el billete ordinario.

Artículo 8. Pagas Extraordinarias

Todo el personal afectado por el presente Convenio, percibirá anualmente, DOS Pagas Extraordinarias, consistentes cada una de ellas, en una mensualidad del salario base, incrementada con la antigüedad. Estas gratificaciones se abonarán al trabajador/a que hubiese ingresado o cesado en el trascurso del año, en proporción al tiempo trabajado durante el año.

Las referidas pagas extraordinarias, serán hechas efectivas, respectivamente, el 1 Julio y 1 de Diciembre de cada año.

Artículo 9. Premio de Antigüedad

Los/as trabajadores/as disfrutarán como complemento personal de antigüedad un aumento periódico por el tiempo de servicios prestados, según se recoge en la siguiente tabla:

A los 2 años

5 % del salario

A los 4 años

10% del salario

A los 9 años

20% del salario

A los 14 años

30% del salario

A los 19 años

40% del salario

A los 24 años

50% del salario

A los 29 años

60% del salario

 

Se acomodará este premio de antigüedad, para su abono, a la última categoría del/la trabajador/a y salario convenio. Se excluyen las excedencias voluntarias y las licencias sin sueldo.

La fecha inicial para el cómputo de la antigüedad será la del ingreso del/la trabajador/a en el Servicio de Autobuses Urbanos de Jerez. Para el cómputo de la antigüedad se tendrá en cuenta todo el tiempo servido, considerándose como efectivamente trabajado todos los meses o días en los que se haya recibido un salario, ya sea por servicios prestados, en vacaciones, licencias retribuidas, y cuando reciba una prestación económica temporal por accidente de trabajo o enfermedad.

Así mismo, será computable el tiempo de excedencia forzosa por nombramiento de cargo político o sindical.

Se computarán estos aumentos en razón de los años de servicio prestado, cualquiera que sea la categoría profesional en que se encuentre encuadrado/a, estimándose así mismo los servicios prestados en el período de prueba y por el personal eventual y con cualquier tipo de contrato.

Los/as trabajadores/as que cumplan la antigüedad entre los días 1 y 15 de cada mes percibirán dicha antigüedad, desde el día uno del mes citado. Si por el contrario, dicha antigüedad, la cumpliesen desde el día 16 en adelante, la percibirán a partir del día primero del mes siguiente.

Artículo 10. Complemento en Caso de Enfermedad o Accidente

Para los supuestos de contingencias profesionales (accidente de trabajo y enfermedad profesional) la empresa complementará hasta el 100 % de la base de cotización desde el primer día de la baja.

Contingencias comunes:

- La empresa complementará retroactivamente desde el primer día de la baja hasta el 100% de la base de cotización con el máximo salario fijado en el presente convenio, incrementado con la antigüedad, cuando se den alguna o algunas de las situaciones siguientes:

a) Un/a trabajador/a precise internamiento en Centro Hospitalario por un período de tiempo superior a 24 horas.

b) Intervención quirúrgica.

c) Inmovilización y / o rotura de miembro óseo.

d) Heridas inciso-contusas que revistan gravedad.

La empresa cesará en el pago de este complemento, cuando el/la trabajador/a afectado/a sea dado de alta médica con o sin declaración de Incapacidad Permanente o concurrieran cualquiera de las causas establecidas en las normas de seguridad social que diese lugar a la extinción de situación de IT o del derecho a la percepción del subsidio.

La empresa complementará hasta el 100% de la base de cotización desde el segundo día de baja por contingencias comunes con independencia del motivo, para todas las bajas que se produzcan.

Artículo 11. Dietas

Si excepcionalmente el/la trabajador/a tuviera que salir de la localidad de Jerez de la Frontera a instancia de la empresa, para la realización de algún servicio y por cualquier circunstancia hubiera que pernoctar y/o realizar alguna de las comidas fuera de la localidad, tendrá derecho a percibir una dieta, cuya cuantía total se fija en la suma de 83.10 Euros, que se desglosará de la siguiente forma:

Comida

35% de la Dieta

Cena

30% de la Dieta

Cama

30% de la Dieta

Desayuno

5% de la Dieta

 

Si por cualquier servicio especial (Feria, Semana Santa u otro) el/la trabajador/a tuviera que permanecer por necesidades del servicio, en su puesto de trabajo durante los períodos que corresponden a los horarios de las comidas, la empresa le abonará la dieta en la proporción correspondiente.

Artículo 12. Licencias

El/la trabajador/a, previo aviso y justificación, podrá ausentarse del trabajo con derecho a remuneración por algunos de los motivos y períodos de tiempo siguientes:

- 15 días naturales en caso de matrimonio.

- 6 días naturales por fallecimiento del cónyuge, hermanos, padres e hijos.

- 2 días naturales por fallecimiento de abuelos, nietos, padres políticos, hermanos políticos y familiares consanguíneos hasta el segundo grado.

- 2 días naturales, en caso de accidente o enfermedad grave, hospitalización o intervención quirúrgica sin hospitalización que precise reposo domiciliario, de parientes hasta el segundo grado de consanguinidad o afinidad. Cuando con tal motivo el/la trabajador/a necesite un desplazamiento fuera del domicilio habitual, el plazo será de 4 días.

- 6 días naturales en caso de nacimiento de hijo/a. Con independencia de lo anterior, en los supuestos de nacimiento de un hijo, adopción o acogimiento de conformidad con lo establecido en el Artículo 45.1 d) de la Ley del Estatuto de los Trabajadores, el/la trabajador/a tendrá derecho a la suspensión del contrato durante trece días ininterrumpidos, ampliables en los supuestos de parto, adopción o acogimiento múltiples en dos días más por cada hijo a partir del segundo.

- 1 día natural en caso de la 1ª Comunión o Matrimonio de familiares en 1º grado de afinidad o consanguinidad.

- 2 días naturales por cambio de domicilio habitual.

- El tiempo necesario para el cumplimiento de un deber inexcusable de carácter público y personal.

- 1 día natural para el padre o madre en caso de bautizo.

- 1 día natural por hospitalización o ingreso en urgencias de familiares de primer grado o de cualquier otra persona, que no estando unida al/la trabajador/a por vinculo de consanguinidad o afinidad alguno, conviva con éste/a en su domicilio, en tal caso, deberá acreditarse fehacientemente la convivencia, con la presentación del correspondiente certificado en el que conste el empadronamiento de dicha persona, en el mismo domicilio que el del/la trabajador/a, en fecha anterior al del hecho causante.

El disfrute de cualquiera de las licencias que traigan su causa de accidente, enfermedad grave, hospitalización o intervención quirúrgica sin hospitalización que precise reposo domiciliario de parientes hasta el segundo grado de consanguinidad o afinidad, previo aviso a la Empresa, podrá llevarse a cabo durante el hecho causante de la misma, debiendo no obstante justificarse tal extremo, en el plazo de una semana a contar desde la fecha del disfrute.

- Todos/as los/as trabajadores/as fijos/as en plantilla, tendrán derecho a disfrutar de 10 días de Asuntos Propios, sin justificación que deberán solicitar con tres días de antelación. No podrán coincidir más de diez trabajadores/as disfrutando del día de asuntos propios a la vez, salvo en los períodos de Semana Santa y Semana de feria del Caballo, en la que no podrán coincidir más de cinco trabajadores/as disfrutando del día de asuntos propios a la vez. En todo caso, la empresa confirmará de forma inmediata la concesión o denegación de la solicitud del permiso.

Cuando en alguno de los casos de los supuestos antedichos, el/la productor/a necesitase algún día más de los establecidos en este artículo, podrá solicitarlo a través del Comité de Empresa, empleando el número de días que precise con cargo al período de vacaciones anuales.

En situación de licencia los/as trabajadores/as cobrarán el salario base, incrementado con la antigüedad.

El/la trabajador/a que como consecuencia de su trabajo fuera requerido por los Tribunales de Justicia o la Policía para comparecer ante los mismos, dispondrá del tiempo indispensable al efecto, sin merma de su retribución y siempre y cuando lo notifique con tiempo suficiente a la empresa, cuando este hecho coincida con el tiempo libre del/la trabajador/a, será compensado con el tiempo que utilice.

Se concederá al/la trabajador/a 1 día de licencia con todos sus emolumentos, como un día trabajado, para la renovación del carnet de la clase “D”. Los gastos suscitados por el examen del test psicotécnico y gastos administrativos de la renovación del carnet de la clase “D” serán abonados por la empresa.

En el supuesto en que un/a trabajador/a en el momento del disfrute de la licencia por cualquier motivo si durante la misma coincidiese con un día de descanso laboral o dominical, éste día se abonaría como tal, sin que la licencia se prolongase un día más.

Artículo 13. Vacaciones

Todos/as los/as trabajadores/as afectados/as por el presente Convenio, tendrán derecho a 31 días naturales de vacaciones ininterrumpidos, salvo pacto expreso en contrario, percibiendo durante dicho período, el salario base del convenio incrementado con la antigüedad más el abono de la totalidad de pluses como un mes efectivamente trabajado. (26 días de pluses ). Los/as lavacoches cobrarán además, el Plus de Nocturnidad.

El cambio de vacaciones entre los/as trabajadores/as de la misma categoría y especialidad será posible, siempre que se notifique con 15 días de antelación a la empresa, con el visto bueno del Comité de Empresa, responsabilizándose la empresa del cambio efectuado, así como del nombramiento en el servicio de los/as trabajadores/as afectados/as, siempre que dicho cambio sea por períodos de 14 días comenzando en lunes y terminando en domingo. Dicho cambio, podrá ser efectuado también por el período completo de vacaciones.

El abono del disfrute de vacaciones será efectivo conjuntamente con la nómina del mes anterior para aquellas personas que así lo soliciten con un mes de antelación.

A todos/as los/as trabajadores/as se les abonará, el día 1 del mes de vacaciones 420,70 Euros, como anticipo del disfrute de vacaciones.

El período de disfrute de las vacaciones para todo el personal será en los meses de Julio y Agosto.

Cuando un/a trabajador/a necesite un mes distinto al que le corresponda, podrá disfrutarlo siempre y cuando la empresa este de acuerdo con ello.

Artículo 14. Descanso Semanal Compensatorio

Dada la característica de Servicio Público de la Empresa, el disfrute del descanso semanal se hará en forma compensatoria del descanso dominical, viniendo la empresa obligada a establecer los correspondientes gráficos y correturnos, para que semanalmente cada trabajador/a pueda disfrutar de dos días de descanso.

El primero de estos días se considerará descanso laboral y el segundo dominical. Se distribuirán de la manera que se explica en el cuadrante del anexo F y G, de descanso rotativo.

El personal eventual disfrutará de dos días de descanso, que tendrán la consideración de descanso semanal, por cada cinco días de trabajo efectivo. En el supuesto de que la duración del contrato no permitiese el disfrute del indicado descanso, en el período de la contratación, el/la trabajador/a podrá acumular el descanso pendiente, para su disfrute en el período correspondiente a la siguiente o posteriores contrataciones, que suscribiese con la empresa.

Artículo 15. Descanso en Días Festivos

Ante la imposibilidad de descanso en los días festivos y dado el carácter de Servicio Público de la Empresa, todos los días declarados festivos en el B.O. de la Provincia, incluidas las fiestas locales (excepto domingos), serán abonados a todos/as los/as trabajadores/as, que presten servicios tales días, excepción hecha del colectivo que se indica en el párrafo siguiente, en cuantía igual al 175% de todos los conceptos retributivos, con independencia del salario correspondiente a la semana, en proporción al tiempo trabajado, siendo voluntaria la prestación de estos servicios para los/as trabajadores/as fijos en plantilla. En todo caso tendrán prioridad los/as trabajadores/as fijos de plantilla para trabajar los festivos, siempre que hayan manifestado por escrito dicho deseo. En este sentido, se establecerá un turno rotativo para que estos/as productores/as trabajen el mismo número de festivos al año.

En el caso de no poder efectuarse los servicios en festivos con personal fijo de plantilla, se realizará con personal eventual contratado a tal efecto. El salario a percibir por los/as trabajadores/as eventuales antes citados, por el/los festivo/s trabajados, será el mismo que el establecido para el personal fijo con un 24% de antigüedad, más el 75% de todos los conceptos retributivos, por jornada completa de trabajo.

Los festivos que caigan en sábado tendrán el mismo tratamiento económico que otro día festivo cualquiera de la semana.

Los festivos que caigan en cualquier día de la semana considerado como descanso semanal del/la productor/a, tendrán el mismo tratamiento económico que otro cualquiera.

Se establecerá un turno rotativo para que todos/as los/as productores/as no incluidos en el ANEXO D, descansen el mismo número de días festivos al año.

Artículo 16. Jornada de Trabajo

1º a.- La Jornada laboral, será de 7 horas diarias y 35 horas semanales de trabajo efectivo, en jornada continuada de mañana o tarde, mediante turnos que se establecerán de acuerdo con las necesidades del servicio.

2º a.- Todos/as los/as productores/as de movimiento, es decir, Conductores/as, Agentes Únicos, Inspectores/as y Jefes de Tráfico, disfrutarán un descanso por bocadillo de 30 minutos garantizados, de los cuales 20 minutos se realizarán una vez transcurrida 1:30 horas después del inicio de la jornada y antes de 3 horas de la finalización de la misma, y de dos descansos de cinco minutos cada uno, a lo largo de su jornada de trabajo, los referidos descansos tendrán la consideración de tiempo de trabajo efectivo.

b.- El resto del personal, podrá interrumpir su jornada de trabajo y descansar durante 15 minutos al principio o al final de la misma, a su elección.

3º a.- No se considerará como jornada de trabajo ni se computará a efectos de las 35 horas, media hora diaria al comenzar la jornada y media hora diaria al finalizar. La referida hora se denominará Plus de Presencia.

El Plus de Presencia viene a compensar el tiempo que dichos/as productores/as invierten en las operaciones necesarias para el comienzo y finalización del servicio, que vienen realizando habitualmente el personal de movimiento. Este Plus se percibirá también el sexto día de la semana o el primero de descanso, denominado “descanso laboral”. Su importe será en cuantía de 8.30 Euros, para el personal de movimiento.

b.- Para el resto de los/as productores/as que no sean de movimiento y cuando no perciban otra Prima o Plus que las de Transporte y Asistencia, se establece un Plus en cuantía de 5.38 Euros, por el concepto del apartado a). Este Plus se percibirá también el sexto día de la semana o primero de descanso, denominado “descanso laboral”.

4º a.- La jornada laboral de computo anual será de 1.600 horas.

b.- Los turnos una vez asignados no podrán ser modificados y podrán ser fijos o rotativos, según criterio que se establezca de acuerdo con el Comité de Empresa.

c.- Para la totalidad de los días de trabajo con excepción de los festivos: las entradas del primer turno serán entre las 6’00 horas y las 9’00 horas y los relevos entre las 13’00 horas y las 15’15 horas. Las entradas del 2º turno serán entre las 14’00 horas y las 17’00 horas y la retirada entre las 21’00 horas y las 00’00 horas. Todos los turnos serán de 7 horas efectivas más Plus de Presencia.

c bis- Para los días festivos, no contemplados en el apartado anterior, se mantendrá la situación existente hasta la firma del presente convenio, las entradas del primer turno serán entre las 6:00 horas y la 9:00 horas y los relevos entre las 13:00 horas y las 16:00 horas. Las entradas del 2º turno serán entre las 14:00 horas y las 17 horas y la retirada entre las 21:00 horas y las 00:00 horas. Todos los turnos serán de 7 horas efectivas más el Plus de Presencia.

Se creará un grupo de trabajo constituido por representantes de los/as trabajadores/as y de la empresa en orden a estudiar la posibilidad de que todos aquellos servicios indicados en los dos párrafos anteriores puedan finalizar a las 15:00 horas, siempre y cuando no suponga un mayor coste para la empresa.

d.- En consecuencia la jornada de tiempo de trabajo efectivo, comenzará a contar en la cabecera de línea cuando se inicie el primer viaje y concluirá cuando se termine el último, igualmente en la cabecera de línea.

e.- Si por necesidades de la empresa cambiara a algún/a trabajador/a y para cuando esta alteración se produzca, se establece un Plus llamado TURNO CAMBIADO, en cuantía de 21.41 Euros, por día que se cambie.

f.- Se crea dentro del servicio la figura del CORRETURNOS EN BLANCO, que estará a disposición de la empresa para suplir los turnos cambiados, será rotativo para todos/ as los/as productores/as, tanto si está de servicio como de descanso semanal, siempre que en este último caso se avise a los/as productores/as con suficiente antelación.

g.- Los turnos y servicios de líneas podrán ser cambiados de mutuo acuerdo entre los/as productores/as, previa notificación por escrito a la empresa, responsabilizándose del cambio efectuado, aquel que se hace cargo del servicio, una vez firmadas las notificaciones.

h.- La jornada de trabajo del personal adscrito a la Oficina Comercial situada en el Centro de la Ciudad, se desarrollará de lunes a viernes, a razón de siete horas diarias de trabajo efectivo.

i.- La jornada de trabajo del personal de taller en sábados, domingos y festivos se realizará en turnos rotativos de siete horas de trabajo efectivo.

5º La empresa pondrá los autobuses suficientes para el relevo del personal desde la 13’45 horas hasta las 16’00 horas, según los horarios y recorridos siguientes:

Salida cada 15 minutos de Garaje y Plaza Esteve, itinerario:

IDA: Garaje, Cuesta San Telmo, Angustias y Plaza Esteve

REGRESO: Plaza Esteve, Calle Arcos, Angustias, Cuesta San Telmo y Garaje

Quedan excluidos del presente punto los relevos que se realizan con otros vehículos de la empresa por estar fuera de este recorrido.

Todos los relevos se realizarán con vehículos de la empresa. Para los relevos que no se realicen en las cabeceras del centro (Arenal, Esteve, Arcos, Angustias y Rotonda de los Casinos), los/as Agentes Únicos entrantes y salientes conducirán los vehículos que la empresa determine para realizar el relevo dentro de su tiempo de presencia.

6º a.- En ningún caso se podrá realizar más de 7 horas de trabajo efectivo en una misma jornada. El exceso de horas trabajadas sobre las 35 horas semanales ((salvo lo establecido en el apartado b) del presente artículo)), se abonarán como horas extraordinarias, sin límite mínimo para su devengo, viniendo obligadas ambas partes a respetar un tope de 2 horas al día, 15 horas al mes y 80 horas al año. Asimismo, la empresa entregará mensualmente, tanto al Comité como a las Secciones Sindicales constituidas, el estadillo de horas extraordinarias realizadas por todos/as los/as productores/as.

b.- La jornada laboral podrá extenderse hasta 7 horas y 15 minutos, en jornada continuada de mañana o tarde, mediante turnos que se establecerán de acuerdo con las necesidades del servicio.

El cómputo total máximo de exceso de jornada no será superior a 6.543 horas al año. El exceso de jornada sobre las 7 horas diarias se acumulará en una bolsa de descansos compensatorios, de forma que por cada 4 horas acumuladas por trabajador/a, éste/a descansará un día más, siendo retribuido dicho día con todos los pluses. A efectos de la acumulación de descansos compensatorios, éstos serán compensados por días efectivos de trabajo. La acumulación de horas en días festivos tendrá el mismo tratamiento que los días festivos en su proporcionalidad.

c.- Cuando un/a trabajador/a tenga asignada, según el cuadrante establecido, una jornada determinada y por cualquier causa se amplíe su jornada, dicha ampliación se le abonará en la nómina como horas extras sin que se compute dicho tiempo de ampliación a efectos de acumulación de descansos.

d.- Cada año se hará una previsión del número de descansos que devengará cada trabajador/a, planificándose fuera del período de verano (Junio, Julio, Agosto y Septiembre), el disfrute de forma continuada de dichos descansos. Al final del año se contabilizará el número de descansos realmente generados por cada trabajador/a, descontándose o aumentándose los defectos o excesos de descansos en la planificación del año siguiente.

7º Las horas extraordinarias serán voluntarias y cuando se realicen, se abonarán con una cuantía que en ningún caso será inferior al valor de una hora ordinaria más el 75% de la misma, para todas las categorías, sin perjuicio en lo dispuesto en el párrafo 1º del presente artículo.

8º En todo caso, entre el final de la jornada y el comienzo de la siguiente jornada, mediarán como mínimo 12 horas.

A partir de la firma del presente convenio se implanta un sistema de control de los tiempos de exceso de la jornada pactada, haciéndose entrega a cada trabajador de un documento acreditativo de los mismos.

Artículo 17. Reducción de Horas en el Servicio

Durante los días 24 y 31 de Diciembre, los servicios se retirarán entre las 20’00 horas y las 21’00 horas a medida que los servicios vayan llegando a cabecera.

Durante los días 25 de Diciembre, 1 y 6 de Enero los servicios dependiendo de cual sea su inicio en cabecera, comenzarán entre las 11’00 horas y las 12’00 horas.

Con respecto al personal que presta sus servicios en la Sección de Lavacoches y que trabajan en turno de noche, concretamente de 21’00 h. a 4’00 h., se pacta expresamente que los días 24 y 31 de Diciembre el horario será reducido y quedará ceñido de 17’00 a 22’30 h.

Artículo 18. Ingresos, Promociones o Ascensos

Toda la movilidad, que se produzca en la empresa, se llevará a cabo mediante exámenes, pruebas prácticas y/o concursos, interviniendo para ello un tribunal compuesto por:

a.- Como Presidente, el Gerente de la Empresa o persona en la que éste delegue

b.- El Jefe del Departamento en el que se produzca la vacante o persona en la que éste delegue

c.- Dos miembros del Comité de Empresa o, en su caso, dos trabajadores/as de la empresa, en los que éstos/as deleguen.

En los supuestos en los que, bien por la existencia de varios/as candidatos/as para una misma vacante que obtengan la misma puntuación, bien por que el Tribunal no logre alcanzar un acuerdo sobre la atribución a los/as candidatos/as de las plazas vacantes, se someterá la controversia a un árbitro, siendo de obligado cumplimiento la decisión adoptada por éste tanto para la Empresa, como para el Comité y el/los candidato/s afectado/s.

La persona, organismo o institución que actúe como árbitro, será nombrada en acuerdo adoptado por el Tribunal.

Se deberá tener en cuenta para los ascensos la formación, méritos y la antigüedad del trabajador/a.

En el examen citado se realizará una prueba práctica.

La convocatoria para la realización de ese examen o concurso lo realizará el Tribunal en tiempo y forma.

La empresa se compromete a dar oportunidad a sus productores/as para cubrir las vacantes que se produzcan en categorías superiores, mediante el correspondiente examen de capacidad.

No se contratará a personal ajeno mientras haya trabajadores/as en la empresa que acrediten su capacidad. Para la contratación de aprendices, se dará preferencia a los/as hijos/as de los/as productores/as de la empresa que lo tengan solicitado.

Cuando algún familiar consanguíneo en primer grado de los/as productores/as de la empresa tengan presentada solicitud para ocupar un puesto de cualquier categoría y reúna idéntica capacitación técnica, de edad, familiar y desempleo, a juicio del examinador que el personal procedente de la Oficina de Empleo, que pretenda cubrir el mismo puesto, la empresa dará preferencia al familiar del/a productor/a de la plantilla.

Cuando un/a trabajador/a realizase funciones superiores a las de su categoría profesional, por un período superior a seis meses durante un año, o a ocho meses durante dos años, la Empresa reconocerá automáticamente la nueva categoría profesional del/la trabajador/a.

Cuando la empresa encomiende a un/a trabajador/a tareas de una categoría profesional inferior a la suya, deberá contar con la aprobación del/a trabajador/a y del Comité de Empresa, entendiéndose como un hecho temporal, el/la trabajador/a mantendrá las retribuciones de origen. Como consecuencia de lo anterior, no cabrá invocar las causas de despido objetivo de ineptitud sobrevenida o de falta de adaptación en los supuestos de realización de funciones distintas de las habituales.

Artículo 19. Personal Eventual

1º La empresa podrá contratar personal eventual, siendo esta contratación por un período no inferior a tres meses cuando estuviese motivada por un incremento de la producción (creación de nuevas líneas, aumento del servicio ).

2º Igualmente se podrá contratar la sustitución de cualquier/a productor/a por vacaciones de éste/a o por baja por enfermedad, accidente o servicios especiales de determinada duración.

3º Cuando haya que sustituir a algún/a productor/a con derecho a la reserva del puesto de trabajo, en el contrato deberá figurar el nombre del/la sustituido/a y la causa de la sustitución. El referido contrato deberá ser conforme a la regulación que exista en cada momento del contrato de interinidad.

4º A la terminación del contrato el Empresario deberá expedir al/la trabajador/a un certificado en el que conste la duración del mismo, el puesto o puestos de trabajo ocupados y las principales tareas realizadas en cada uno de ellos.

5º La Empresa podrá concertar por escrito un período de prueba que en ningún caso podrá exceder de 6 meses para los técnicos titulados, ni de un mes para los/as demás trabajadores/as, excepto para los/as no cualificados/as en cuyo caso la duración máxima será de 15 días.

6º Durante el período de prueba el/la trabajador/a tendrá los derechos y obligaciones correspondientes a la categoría profesional que desempeñe como si fuera de plantilla.

7º Todas las contrataciones de personal, interino o eventual, le serán notificadas al Comité de Empresa, a cuyo objeto, le será proporcionada la copia básica del contrato de trabajo que se suscriba, así como una copia de la hoja de servicios.

8º Los contratos de aprendizaje (hoy formación ) tendrán una duración máxima de 1 año y serán para las categorías profesionales de Administrativos y Mecánicos. Tendrán la remuneración que establezca en este Convenio.

9º Se crea una bolsa de trabajo que estará formada permanentemente por 28 Agentes Únicos, cuya relación actual se acompaña (Anexo B ).

10º A medida que se produzcan bajas en dicha bolsa, por cualquier causa, se incorporarán a la misma por orden, los/as Agentes Únicos relacionados en el Anexo B-1; en dicho Anexo B-1 se incluirán a los/as Agentes Únicos que se examinaron en el año 2008, no obstante, previamente deberán pasar satisfactoriamente la prueba médica pertinente.

11º Los contratos de mayor duración se distribuirán de forma rotativa entre los 28 Agentes Únicos de la bolsa (Anexo B), el resto de la contratación será por orden de la lista (Anexo B-1) de mayor a menor duración.

12º En caso de que el Comité y la Dirección de la empresa estén en desacuerdo para el pase de una persona a dicha bolsa de trabajo, se constituirá un Comité de Revisión, formado por 2 personas designadas por el Comité de Empresa y 2 personas designadas por la Dirección de la Empresa. En caso de desacuerdo se someterá la controversia a un árbitro, siendo de obligado cumplimiento la decisión adoptada por éste tanto para la Empresa, como para el Comité y el/la candidata/a afectado/a.

La persona, organismo o institución que actúe como árbitro será nombrada por acuerdo adoptado entre la Dirección de la Empresa y el Comité.

13º El Comité de Revisión establecerá las bases de funcionamiento necesarias para la incorporación de futuros/as trabajadores/as a la Empresa, sean en calidad de fijos/as o eventuales. En el supuesto de no alcanzarse un acuerdo, se aplicarán las reglas de resolución de controversias contenidas en el punto anterior.

14º En el caso de nuevas incorporaciones será necesario convocar por dicho Comité un concurso público de empleo con un mes de antelación.

15º La contratación para trabajos temporales o de sustituciones se hará, al 100% con el personal que integre la bolsa de trabajo que figura al anexo B del presente Convenio, de forma rotativa para los/as agentes únicos y por orden para el resto de personal.

16º Cuando alguno/a de los/as productores/as que figura en dicha relación no reúna a juicio de la Empresa la capacitación necesaria para desarrollar normalmente su cometido profesional, será sustituido/a por otro/a productor/a de dicha relación, que podrá ser el siguiente en turno u otro cualquiera a juicio del Comité de Empresa.

17º En el caso de que la duración de los contratos sea distinta, se aplicará el criterio de rotatividad a la duración de los mismos, buscando que todos/as los/as agentes únicos de la bolsa del anexo B, trabajen aproximadamente el mismo número de días así como se les garanticen aproximadamente las mismas retribuciones anuales.

Artículo 20. Promoción de Cobradores

Se hace constar expresamente que SERVICIOS URBANOS AMARILLOS S.L.U. respetará todos los contratos de trabajo existentes con anterioridad al momento de la adjudicación del servicio.

Dado que la categoría de cobradores está llamada a extinguirse en el seno de la empresa, todos/as los/as cobradores/as existentes en la actualidad, se comprometen sin merma en las retribuciones a que les da derecho este Convenio, a promocionarse a otras categorías profesionales, cualquiera que sea su naturaleza, siempre que no exista una incompatibilidad manifiesta por razones de disminución física o imposibilidad material de los/as interesados/as.

Los/as cobradores/as se promoverán en función de las necesidades, concretamente cursos de promoción y de perfeccionamiento de mandos intermedios y Agentes Únicos, servicios de taller, oficinas, así como reciclaje periódico de las categorías, en especial del personal no cualificado.

Artículo 21. Protección al Empleo

Los/as Agentes Únicos que en el desempeño de sus funciones especificas, sufrieran la retirada del permiso de conducir, siempre que el accidente haya sido por simple imprudencia, será destinado/a por la empresa mientras dure la suspensión del permiso, a otro puesto de trabajo acorde con su preparación, preferentemente, cobranza o talleres, sin merma alguna de retribuciones y en la medida en que dicha reserva de puesto de trabajo sea compatible con las posibles sanciones, de cualquier orden. Igual derecho tendrá el/la trabajador/a al que se prive el permiso de conducir por hechos ocurridos al ir y venir al trabajo.

En otro caso, es decir, cuando el/la Agente Único se vea privado/a del permiso de conducir en cualquier otro supuesto, la empresa le respetará el puesto de trabajo hasta que finalice la sanción concediéndole 7 días más, respetándole la antigüedad, sin perjuicio de la facultad que se reserva la empresa de destinarlo a otro puesto de trabajo, si lo estima oportuno.

Cuando a un/a Agente Único le sea retirado/a el permiso de conducir, por no superar el examen psicotécnico, la empresa le mantendrá en idénticas condiciones de remuneración por un período máximo de seis meses, transcurrido el cual si el/la productor/a no ha conseguido en dicho plazo superar la prueba, le ocupará en otro puesto de trabajo acorde con su preparación, preferentemente en labores de taller, conservando únicamente salario base y antigüedad, siendo los restantes emolumentos correspondientes a la nueva categoría laboral, cuyas funciones desempeñe.

La empresa estudiará con especial atención aquellos casos de retirada de permiso de conducir, no contemplados en el primer párrafo del presente artículo, por su relevancia y especial interés social, en orden a su posible incorporación en plantilla del/a trabajador/a afectado/a, garantizando en el caso de que así se produjese el mantenimiento de nivel de rentas que tuviese con anterioridad durante el período en que se vea privado de su carné.

Artículo 22. Garantía de los/as Trabajadores/as

Se establece que siempre que por cualquier circunstancia dimanada de cargos representativos del personal, algún/a trabajador/a sea puesto/a a disposición de cualquier autoridad judicial o gubernativa, la empresa lo considerará como excedencia forzosa, el tiempo que falte al trabajo.

La empresa garantiza a los/as trabajadores/as que sean procesados/as por razones de accidentes o incidentes ocurridos durante la prestación de servicios para la Empresa , la defensa durante todo el procedimiento hasta la 2ª instancia inclusive, responsabilizándose, en caso contrario, del importe económico al que resultase condenado/a el/la trabajador/a, incluidas las multas. Con la indicada finalidad, la Empresa concertará la correspondiente Póliza de responsabilidad Civil, que incluirá la asistencia y defensa jurídica.

No obstante, en el caso que la autoridad competente o sus agentes impongan una multa a un/a trabajador/a dentro de la jornada laboral mientras conduce un vehículo de la empresa, por causas ajenas a su voluntad y por necesidades estrictas del servicio, la empresa le ha de compensar el importe íntegramente. Para ello, el/la trabajador/a está obligado/a a entregar el boletín de denuncia a la empresa en el plazo máximo de 24 horas.

Todos/as los/as trabajadores/as tendrán derecho a ser defendidos/as por la empresa ante los Juzgados y los Tribunales, quién a su vez prestará, si fuese necesario, fianza para gestionar la libertad de los mismos, siempre que el accidente o incidente  haya ocurrido durante la prestación del servicio.

La empresa vendrá obligada igualmente a abonar al/la trabajador/a los emolumentos que hubiere dejado de percibir con ocasión de accidente o incidente ocurrido en el desempeño de su cometido y del que en definitiva, no resultase culpable.

A los efectos previstos en el presente artículo, se entenderá por incidente las disputas y/o altercados, en los que pudiesen verse implicados/as los/as trabajadores/as de la empresa, con ocasión de la prestación de servicios para la misma, con usuarios del servicio o terceros, que diesen lugar a cualquier tipo de denuncia, queja o reclamación, que pudiese dar lugar a un posterior procedimiento ante los órdenes jurisdiccionales civil o/y penal.

La empresa cubrirá el riesgo de robo, bien a través de póliza con compañía  e seguros, bien directamente en forma y condiciones análogas a aquélla, hasta la cuantía del 100%, tanto de efectivo como de cargo, previa justificación.

La empresa aplicará la sanción económica a los usuarios que viajen sin billete o tarjeta prevista en el artículo 56 del pliego de condiciones del Servicio Público de Transporte Urbano de Jerez de la Frontera.

Artículo 23. Uniformes del Personal

La empresa facilitará anualmente a todo el personal, incluido los Inspectores y Jefes de Tráfico:

- 2 pantalones, 2 camisas y un par de zapatos de invierno y 2 pantalones y 2 camisas de mangas cortas en verano.

- El personal de talleres será provisto de 4 monos y 2 pares de calzado adecuados cada año.

- El personal de limpieza será provisto de 4 polos de algodón de manga corta, 4 pantalones (2 de invierno y 2 de verano), 2 pares de calzado adecuados, 2 chaquetillas (1 de invierno y 1 de verano) y 1 traje de agua cada año. Cada 3 años recibirán 1 anorak

- La empresa facilitará a todo el personal de movimiento, 1 jersey y 1 chaleco cada año.

- La empresa entregará al personal de movimiento 1 cazadora en Octubre del año 2003 y posteriormente cada 3 años.

- Los uniformes de verano e invierno, se entregarán el día 10 de Marzo.

- Se suprime la corbata como prenda de uniformidad obligatoria.

Entre el 15 de Mayo y el 15 de Octubre, no será obligatorio para el personal, la utilización del calzado proporcionado por la empresa.

Antes de encargar los uniformes, se presentará al Comité de Empresa el muestrario de telas facilitado por el proveedor.

La elección de las prendas de uniforme deberá contar con el visto bueno del Comité de Empresa.

Artículo 24. Organización del Trabajo y Obligaciones

La organización práctica del trabajo, de acuerdo con este Convenio y con la Legislación vigente, es facultad exclusiva de la dirección de la empresa, sin perjuicio de lo cual vendrá obligada a informar al Comité de Empresa ante cualquier cambio en el cuadro de los servicios, que será el que se detalla en el Anexo G del presente convenio.

Dicho cuadro estará expuesto permanentemente en el tablón de anuncios (situado en un sitio visible), junto al Calendario Laboral del año en curso. La facultad de la empresa en esta materia no perjudicará la formación profesional de los trabajadores.

La empresa dispondrá de personal destinado a mirar los niveles de aceite de los vehículos y a proceder a su relleno en caso necesario.

Al realizar la entrega de cuentas en la empresa el Jefe de Tráfico se responsabilizará del dinero entregado por los/as Agentes Únicos que lo deseen, en lugar de introducirlas en la Caja directamente. El Jefe de Tráfico contará el dinero consignando de su puño y letra la cantidad recibida en la hoja de ruta, en presencia del/la Agente Único que le hace la entrega, para que al día siguiente se haga la liquidación como es habitual.

En las líneas de circuito, a efectos de inspección, se considerará cierre de trayecto el que tiene lugar en el punto donde el vehículo se queda completamente vacío.

Al servicio de inspección se les dotará los medios necesarios para posibilitar su localización instantánea y constante “EMISORES – TRANSISTORES”, para que éstos cumplimenten con mayor agilidad y eficacia los problemas que surjan en los distintos servicios.

La organización del trabajo responderá en todo momento, al principio de prioridad del interés público y social del servicio que se presta.

Anualmente la empresa vendrá obligada a confeccionar un calendario individual para cada trabajador, donde se reflejarán los días de descanso dominical, descanso laboral, (descansos fijos de lunes a viernes), descansos festivos y vacaciones.

La empresa entregará dicho calendario antes del 31 de diciembre de cada año.

En las Cabeceras de línea existirá de lunes a domingos un/a trabajador/a por la mañana de 9’00 a 14’00 horas y otro por la tarde de 16’00 a 21’00 horas.

El Ayuntamiento de Jerez de la Frontera, se compromete a instalar antes del 01/01/09, cinco marquesinas distribuidas por distintas zonas de la ciudad, dotadas de servicios, para uso exclusivo del personal de la Empresa.

Artículo 25. Clasificación Según las Funciones a Realizar Por los/as Trabajadores/as que se Reseñan

Las obligaciones en las siguientes categorías serán:

- Jefes de Tráfico: Tienen a su cargo la organización y explotación del servicio del Parque de Vehículos, distribuyendo el personal y el material, las entradas y salidas de los mismos, así como la responsabilidad de la recogida de la recaudación de los vehículos.

Inspector: Tiene como misión verificar y comprobar en las distintas líneas y servicios realizados, el exacto cumplimiento de las funciones atribuidas a los/as Agentes Únicos, dando cuenta a sus Jefes inmediatos de cuantas incidencias observe, tomando las medidas de urgencia que se estimen oportunas, en los casos de alteración de tráfico o de accidente, será el responsable del personal a su servicio. También tendrá como misión inspeccionar los vehículos, comprobando los títulos de transporte.

- Conductor, Agente Único: Es el/la encargado/a de conducir los vehículos y responsable del mismo durante el servicio, en el caso de observar alguna anomalía en el vehículo dará parte por escrito de la misma, se responsabilizará de cobrar a los usuarios (billete ordinario) y será responsable de la custodia del dinero, cumplimentará las Hojas de Ruta y observará con los usuarios la debida corrección. Además vigilará la cancelación de los diferentes títulos de transporte.

Artículo 26. Seguro de Vida e Invalidez y Recolocación del Personal Declarado en Situación de Incapacidad Permanente Total para su Profesión Habitual

1.- SEGURO DE VIDA E INVALIDEZ

La empresa se obliga a suscribir la oportuna Póliza de Seguro, que garantice a los/as productores/as o en su caso, a sus herederos legales o, a aquellos que éstos designen como beneficiarios, las indemnizaciones que se concretan a continuación para cada una de las contingencias que igualmente se indican:

- 7.681,67 Euros, en caso de muerte natural o invalidez permanente en grado de total, absoluta o gran invalidez, derivada de enfermedad común, declarada en virtud de Resolución Administrativa o judicial firme.

- 10.540,51 Euros, en los casos de Incapacidad Permanente en grado de total para su profesión habitual, derivada de accidente, declarada en virtud de Resolución Administrativa o Judicial firme.

- 15.843,52 Euros, en los supuestos de Incapacidad Permanente Absoluta o Gran Invalidez, derivada de accidente, declarada en virtud de Resolución Administrativa o Judicial firme.

- 15.363,40 Euros, en caso de muerte derivada de accidente de trabajo.

- 23.045,13 Euros, en caso de fallecimiento provocado por accidente de tráfico.

No obstante lo anterior, los/as trabajadores/as mayores de 70 años, no gozarán de los complementos del seguro previsto para los casos de muerte por accidente por oponerse las normas de la Compañía Aseguradora.

La empresa entregará la póliza individual del seguro a cada uno de sus trabajadores.

La empresa anticipará al/la trabajador/a, o en su caso, a sus herederos legales o a aquellos que éste/a designe como beneficiario/s, el importe de las indemnizaciones reseñadas en los apartados precedentes, en el supuesto de que producida alguna de las contingencias aseguradas y una vez cursada la reclamación a la compañía de seguros, ésta no abonase las cantidades establecidas para la contingencia de que se trate, en plazo máximo de los cuatro meses siguientes a la fecha de la solicitud. A tal fin, el/la trabajador/a, o en su caso, sus herederos legales o beneficiario/s, deberá/n acreditar a la Empresa de forma fehaciente, que se ha cursado la correspondiente solicitud, reclamación judicial o extrajudicial a la compañía de seguros, dentro de los plazos previstos legalmente para la comunicación del siniestro, no encontrándose prescrito el derecho al percibo de las cantidades aseguradas. De producirse el anticipo por parte de la Empresa, el/la trabajador/a o en su caso a sus herederos legales o beneficiario/s, deberá/n reintegrar a la Empresa la cantidad anticipada, en el plazo máximo de los diez días hábiles siguientes a la fecha en que se hubiese cobrado la indemnización correspondiente de la compañía de seguros.

Los anticipos que de conformidad con lo expresado en el párrafo precedente pudiesen concederse, se documentará en el correspondiente recibo, en el que se reflejará igualmente la obligación de reintegro.

2.- RECOLOCACIÓN DEL PERSONAL DECLARADO EN SITUACIÓN DE INCAPACIDAD PERMANENTE TOTAL PARA SU PROFESIÓN HABITUAL.

Los/as trabajadores/as que hubiesen cesado en la Empresa como consecuencia de haber sido declarados/as en situación de Incapacidad Permanente Total para su Profesión Habitual, en virtud de resolución Administrativa o Judicial firme, dictada después del 31/12/2005, que sean menores de 55 años y que no presten servicios para otra empresa o administración pública mediante contrato indefinido, podrán solicitar a la Empresa ser recolocados/as, en aquellas vacantes que se produjeran y hubiesen de ser cubiertas con la contratación de personal eventual o de nuevo ingreso que resulte acordes a la capacidad residual y formación del solicitante.

El personal que reúna las condiciones expresadas en el párrafo precedente, pasará a ocupar los primeros puestos de la Bolsa de trabajo que figura en el Anexo B del presente Convenio. En caso de producirse una vacante en la que pueda llevarse a cabo la recolocación del/la trabajador/a en IPT, le será ofertada al primero de la lista, de ser aceptada por éste/a, se suscribirá con el/la trabajador/a el correspondiente contrato temporal, percibiendo el/la trabajador/a, las retribuciones correspondientes a la categoría del puesto de trabajo en el que se produzca la recolocación.

Como quiera que la finalidad que se persigue, no es otra que estos/as trabajadores/as, tengan posibilidad a través de la prestación de servicios que pueda ofrecérseles, de completar las rentas percibidas, las cuales se han visto reducidas al 55% de su base reguladora, la recolocación del colectivo afectado, se efectuará mediante la suscripción de contratos temporales, al objeto de que las vacantes se puedan cubrir de forma rotatoria y así poder hacer extensiva la indicada medida al mayor número de afectados posibles. El personal recolocado percibirá las mismas retribuciones que correspondan a la categoría en la que se recoloquen. Una vez extinguido el contrato temporal que pudiese suscribirse con el/la recolocado/a, éste/a pasará a ocupar el último puesto de la lista de personal en situación de IPT. Las incorporaciones que pudiesen producirse al listado de personal en IPT afecto a posible recolocación, se producirá en el último puesto del listado.

Cuando las cantidades percibidas en el año como consecuencia de la recolocación completen la diferencia entre la pensión y el salario que percibía antes de la declaración en IPT el/la trabajador/a no volverá a ser llamado en ese año.

Con la finalidad de poder verificar las cantidades que tuviese que percibir el/la trabajador/a recolocado/a, para que sumadas a su pensión, éste/a alcance una suma igual al importe medio de los salarios que percibió de la Empresa en el año anterior a ser declarado en situación de IPT y así poder determinar la duración del posible contrato, éste/a deberá hacer entrega a la Empresa, al tiempo de su inclusión en la lista, de certificación en la que se haga constar el importe de la pensión que percibe. Tales datos deberán ser actualizados por el/la trabajador/a en caso de producirse variación en el importe de la pensión.

Los/as beneficiarios/as causarán baja definitiva en la lista de personal en IPT a recolocar, cuando concurra alguna de las siguientes circunstancias:

A) Cumplan la edad de 55 años.

B) Sean contratados/as de forma indefinida por cualquier empresa o Administración Pública.

C) En el supuesto de que la declaración de invalidez sea revisada por agravación, declarándose al/la trabajador/a afecto de Incapacidad permanente Absoluta o Gran Invalidez.

D) En el supuesto que la declaración de Invalidez sea revisada por mejoría, siendo por ello revocada la declaración del/la trabajador/a en situación de Incapacidad permanente total.

De producirse alguna de las indicadas circunstancias estando en vigor el contrato de trabajo suscrito con el/la trabajador/a recolocado/a, éste/a quedará extinguido a la fecha.

Dado el carácter social de la medida contenida en el presente apartado, el/la trabajador/a recolocado/a, deberá renunciar a percibir y/o exigir a la empresa, cualquier tipo de indemnización, como consecuencia de la extinción, por agotamiento del término de los distintos contratos temporales que pudiesen suscribirse con éste/a, así como a interponer cualquier tipo de reclamación tendente a su reconocimiento como personal indefinido. El incumplimiento de lo anterior, será causa de exclusión definitiva de la lista.

A los efectos de aplicar las medidas de recolocación contenidas en el presente apartado, no se consideran vacantes, la reducciones de jornada que se acuerden con el personal de la plantilla, como consecuencia de su pase a la situación de jubilación parcial, por lo que el personal sujeto a posible recolocación, no gozará de preferencia alguna al objeto de suscribir los correspondientes contratos de relevo.

Artículo 27. Aniversarios

Se celebra como homenaje al/la trabajador/a los Aniversarios de 15, 25 y 35 años que cumplen al servicio de la empresa. Los/as trabajadores/as que cumplan en la empresa 15 años, serán gratificados/as con una paga de 5 días de salario base incrementado con la antigüedad y un descanso de 1 día. Los/as que cumplan 25 años, con una paga de 8 días de salario base más antigüedad y un descanso de 3 días. Los/as que cumplan 35 años de servicio tendrán la paga en cuantía de 10 días de salario base más antigüedad y 4 días de descanso.

Artículo 28. Cuota Sindical – Derechos Sindicales y Canon de Convenio

El Comité de Empresa tendrá las siguientes competencias:

1.1.- Recibir información que le será facilitada trimestralmente al menos sobre la evolución general del sector económico al que pertenece la Empresa, sobre la situación de la producción y ventas de la entidad, sobre su programa de producción y evolución probable del empleo de la empresa.

1.2.- Conocer el balance, la cuenta de resultados, la memoria y en el caso de que la empresa revista la forma de sociedad por acciones o participaciones, de los demás documentos que se den a conocer a los socios y en las mismas condiciones que a éstos.

1.3.- Emitir informes con carácter previo a la ejecución por parte del empresario de las decisiones adoptadas por éste, sobre las siguientes cuestiones:

a) Reestructuraciones de la plantilla y cese totales o parciales, definitivos o temporales de aquéllas.

b) Reducciones de jornada, así como traslado total o parcial de las instalaciones.

c) Planes de formación profesional de la Empresa.

d) Implantación o revisión de sistemas de organización y control de trabajo.

e) Estudio de tiempos, establecimiento de sistemas de primas o incentivos y valoración de puestos de trabajo.

1.4.- Emitir informes cuando la función absorción o modificación del “estatus” jurídico de la Empresa, suponga cualquier incidencia que afecte al volumen del empleo.

1.5.- Conocer los modelos de contratos de trabajo escritos que se utilicen en la empresa, así como los documentos relativos a la terminación de la relación laboral.

1.6.- Ser informados de todas las sanciones impuestas por toda clase de faltas.

1.7.- Conocer trimestralmente al menos, las estadísticas sobre el índice de absentismo y sus causas, los accidentes de trabajo y enfermedades profesionales y sus consecuencias, los índices de siniestralidad, los estudios periódicos o especiales del medio ambiente laboral y los mecanismos de prevención que se utiliza.

1.8.- Ejercer una labor:

a) De vigilancia en el cumplimiento de las normas vigentes en materia laboral, de Seguridad Social y empleo, así como el resto de los pactos, condiciones y usos de empresa en vigor formulando, en su caso, las acciones legales oportunas ante el empresario y los organismos o tribunales competentes.

b) De vigilancia y control de las condiciones de seguridad e higiene en el desarrollo del trabajo, en la empresa, con las particularidades previstas en este orden por el artículo 19 del Estatuto de los Trabajadores.

1.9.- Participar en la gestión de las obras sociales, que existan o puedan existir dentro de la Empresa, en beneficio de los/as trabajadores/as o de sus familiares.

1.10.- Colaborar con la dirección de la empresa para conseguir el establecimiento de cuantas medidas procuren el mantenimiento y el incremento de la productividad.

1.11.- Informar a sus representados en todos los temas y cuestiones señalados en este nº 1, en cuanto directa o indirectamente tengan o puedan tener repercusión en las relaciones laborales.

2. Los informes que puedan emitir el Comité, a tenor de las competencias reconocidas en los apartados 1.3 y 1.4 del nº 1 anterior, deben elaborarse en el plazo de15 días.

Los Delegados de las Secciones Sindicales reconocidas, tendrán los mismos derechos que se contemplan en este artículo para el Comité de Empresa.

A requerimiento de los/as trabajadores/as, la empresa descontará de la nómina mensual, el importe de la cuota sindical correspondiente.

El trabajador interesado remitirá a la Dirección de la empresa, un escrito en el que se expresará la orden de descuento, la cantidad de la cuota y el número de cuenta o libreta de ahorro del banco al que deberá ser transferida dicha cantidad, así como la central sindical a que pertenece. La empresa retraerá dicha cuota hasta nueva orden en contrario del interesado manifestada por escrito, entregando copia de la transferencia mensual a la representación de cada uno de los sindicatos.

El cómputo de jornadas que podrán ser destinadas a funciones sindicales, será anual de tal forma, que cuando algún mes no se utilicen las jornadas que correspondan, podrán utilizarse en meses sucesivos. El número de jornadas sindicales anual será de 347 para sus nueve miembros, utilizándose necesariamente en jornadas completas de 7 horas.

Asimismo, podrán ser intercambiables de forma que el conjunto de las jornadas sindicales a que tienen derecho los miembros del Comité se constituyen en una bolsa que pueden ir utilizando, indistintamente, según sus necesidades. La solicitud de jornadas sindicales, deberán ser solicitadas por escrito firmado por el presidente o secretario del Comité, con antelación suficiente para sustituir al/la trabajador/a o trabajadores/as que utilicen la jornada sindical.

Los/as trabajadores/as no afiliados a ninguna central sindical legalmente constituida, se le descontará de su nómina de haberes, si así lo solicitasen, la cantidad de 133.02 Euros/año, en concepto de canon de convenio, para los gastos contraído en la elaboración y negociación del mismo. Este montante económico, será repartido entre las centrales sindicales reconocidas, según la representatividad que ostenten. Las secciones sindicales reconocidas, tendrá derecho a 38 jornadas anuales retribuidas por delegado, asimismo, los Delegados de Prevención tendrán 24 jornadas al año.

Las secciones sindicales podrán difundir en los centros de trabajo publicaciones, convocatorias o avisos, de interés para sus afiliados, debiendo la empresa facilitarles un tablón de anuncios para dichos menesteres, así como para las manifestaciones de sus responsables en orden a los intereses de sus afiliados.

Las secciones sindicales podrán nombrar Delegados sindicales en el número y porcentaje que a continuación se indica:

- Si el número de afiliados supera el 20% del personal de la empresa, 1 DELEGADO

- Si el número de afiliados supera el 40% del personal de la empresa, 2 DELEGADOS

A los efectos de este cómputo se estará a lo establecido en el párrafo anterior del presente artículo.

La Empresa proporcionará al Comité de Empresa, semanalmente, copia actualizada del cuadrante semanal de servicios del personal indefinido y Eventual. A tales efectos, se entenderá por cuadrante semanal actualizado, aquel que contemple las modificaciones que, por circunstancias sobrevenidas, tales como bajas, permisos, licencias, suspensiones de contrato u otras similares, hayan debido introducirse en el cuadrante base o modelo.

Artículo 29. Viudos/As, Parejas De Hecho y Huérfanos/as

En recuerdo a los/as compañeros/as fallecidos/as, el/la viudo/a e hijos en edad escolar de un/a trabajador/a fallecido/a, cualquiera que sea el nivel de estudios que realicen, estarán exentos del pago del autobús.

Asimismo, estarán exentos del pago del autobús, los/as compañeros/as jubilados/as y pensionistas, esposas/os, e hijos menores de edad y que sean miembros de la unidad familiar.

Igualmente quedan exentos del pago del autobús, el/la esposo/a e hijos en edad escolar, cualquiera que sea el nivel de estudios, de los/as trabajadores/as de la empresa, así como los hijos desempleados y solteros que convivan con éstos.

Igual derecho tienen los/as trabajadores/as eventuales mientras el tiempo que les dure el contrato.

En el caso de extravío del pase de algún familiar de los/as trabajadores/as con derecho al mismo, se entregará un volante provisional valedero durante 15 días, en tanto se realice la entrega de un nuevo pase.

Artículo 30. Anticipo y Fondo de Necesidades del Personal

Se establece como norma que la empresa facilitará en concepto de anticipo sobre el salario, la cantidad de 210.35 Euros, los días 10 y 20 de cada mes. La liquidación final de mes, se hará mediante entrega del talón correspondiente, el día 1 para cobrarlo el día 2, a excepción de las domiciliaciones bancarias que se habrán de hacer como mínimo, con tres días de antelación. El/la trabajador/a que lo desee podrá domiciliar su nómina en la entidad bancaria que considere oportuna, en cuyo caso la empresa le abonará la nómina, anticipos o ambas, mediante transferencia a la cuenta corriente o libreta de ahorro que cada trabajador designe.

La empresa vendrá obligada a crear un Fondo para cubrir las necesidades de préstamos del personal a su cargo en cuantía de 30.933,03 Euros y se regirá por las normas siguientes:

1.- Los trabajadores fijos de plantilla con un año de antigüedad, podrán solicitar del fondo un préstamo de hasta una mensualidad, amortizable en 12 meses.

2.- Los trabajadores fijos de plantilla, con más de dos años de antigüedad, podrán solicitar del fondo un préstamo de hasta 2 mensualidades amortizables en 18 meses.

El préstamo no podrá sobrepasar los 1.502,53 Euros, por productor.

3.- Estos préstamos concedidos por el fondo no tendrán interés.

4.- Estos préstamos no se concederán por segunda vez a un mismo trabajador, hasta tanto no se haya cubierto la solicitud del primer préstamo realizado por otros trabajadores.

5.- Para la concesión de préstamos es necesaria la aprobación previa de la Comisión de Ingresos, Promociones y Ascensos.

6.- En casos de absoluta necesidad y previa justificación y autorización conjunta, por parte de la empresa y del Comité, se podrán otorgar préstamos con cargo a dicho fondo sin cumplir el orden antes establecido.

7.- Se concederán a medida que se recuperen la cantidad de un nuevo préstamo.

Artículo 31. Moneda Fraccionaria

La Empresa proporcionará a los trabajadores que lo deseen, hasta un máximo de 36 Euros, en moneda fraccionada, contra la firma del correspondiente recibo. La empresa facilitará el cambio necesario en Euros, que se liquidaría al final de la jornada, al efectuar la entrega de la recaudación del servicio.

Artículo 32. Sanciones

La empresa se responsabilizará del abono de las sanciones impuestas a los/as Agentes Únicos, que se deban a causas ajenas a su voluntad y concretamente, que vengan determinadas por las siguiente causas:

a) Parada mal situada y peligrosa.

b) Parada que se encuentre ocupada por otros vehículos.

c) Defectos observados en el vehículo por el Agente actuante.

d) Responsabilidades derivadas de siniestros ocurridos como consecuencia de maniobras prohibidas, que el/la Agente Único se vea obligado/a a realizar por exigencias del servicio.

Artículo 33. Material Necesario con Cargo a la Empresa

La empresa facilitará a todos/as los/as productores/as el material para la correcta realización de su trabajo. El/la productor/a Agente Único será dotado de 2 libretas y 4 bolígrafos en el mes de Marzo.

La empresa reparará las carteras viejas o comprará una nueva.

MATERIAL NECESARIO PARA EL COMITÉ DE EMPRESA

.- Fotocopias

.- Una calculadora de 10 dígitos

.- Dos archivadores

.- Dos grapadoras y 5 cajas de grapas

.- Un tampón de sellado

.- Mantenimiento del ordenador

Artículo 34. Comisión Mixta Interpretadora y de Vigilancia

Toda duda, cuestión o divergencia que con motivo de la interpretación o cumplimiento de este Convenio se suscite, será sometido como trámite previo a cualquier reclamación ante la jurisdicción competente, a la consideración de la Comisión Mixta.

El interesado solicitará por escrito, dirigido a la Comisión Mixta, la actuación de dicha Comisión. Ésta deberá pronunciarse respecto a esa consulta en el plazo máximo de 3 días laborables. Los acuerdos que se adopten deberán ser aprobados por mayoría de los miembros de la Comisión, enviando a los interesados los acuerdos adoptados en el plazo máximo de 2 días laborables, una vez celebrada la reunión.

En el caso de que no se alcance acuerdo entre los miembros de la Comisión, se enviará el acta de la reunión a los interesados en el mismo plazo de 2 días laborables, en la que se recogerá la postura de cada parte, con el fin de que queda expedita la vía a los órganos de la jurisdicción social o a aquéllos otros que las partes acuerden para la resolución del conflicto planteado.

Igualmente quedará expedita esta vía para el caso de que la Comisión Mixta no se pronuncie sobre la consulta planteada en el plazo de 3 días laborables desde la presentación del escrito correspondiente.

A estos efectos se fija como domicilio de la Comisión Mixta el del Polígono industrial El Portal, c/Marruecos, 1. 11408 Jerez de la Frontera (Cádiz).

La Comisión estará compuesta por los miembros de la Comisión de negociación del Convenio Colectivo de SERVICIOS URBANOS AMARILLOS S.L.U. de 2013.

Las reuniones se celebrarán en las instalaciones de SUA, a petición de cualquiera de los firmantes, que los comunicará a los restantes. La Comisión se constituirá en el plazo máximo de 3 días laborables a partir de la comunicación.

A la Comisión podrán acudir sus miembros personalmente o mediante representación otorgada al efecto, a cualquier otro miembro o asesor.

Cualquiera que sea el número de miembros asistentes a la Comisión, las organizaciones sindicales tendrán siempre el mismo número de votos que la organización empresarial, de manera que cada parte (la empresarial y la sindical), cuente con el 50% de los votos, cualquiera que sea el número de miembros de cada organización que asista.

De cada reunión se levantará acta que será firmada por ambas partes. Será competencia de la propia Comisión regular su propio funcionamiento en lo no previsto en las presentes normas.

Artículo 35. Trabajadores Fijos en Plantilla

La plantilla mínima será de 154 trabajadores fijos.

Toda plaza de fijo que se produzca será cubierta por los componentes de la bolsa de trabajo que figura en el Anexo B del Convenio y en su orden.

Si la Empresa decidiese contratar como fijos en plantilla a componentes de la bolsa de trabajo y el número de trabajadores fijos en plantilla ascendiese por encima de 154,en futuras bajas de trabajadores fijos, por la causa que sea, la Empresa podrá volver al número mínimo de 154 trabajadores fijos en plantilla.

Artículo 36. Jubilación Anticipada y Jubilación Parcial

1.- JUBILACIÓN ANTICIPADA

Si un/a trabajador/a optara por acceder a la situación de jubilación anticipada, quedando por ello extinguido el contrato de trabajo que le vinculaba a la empresa, entre los 60 y 64 años, ambos inclusive, de edad, percibirá una compensación económica consistente en una cantidad en metálico a tanto alzado, según la siguiente escala:

64 años

8.109,98 Euros

63 años

15.731,12 Euros

62 años

23.596,69 Euros

61 años

30.853,68 Euros

60 años

34.411,84 Euros

 

En todos los casos se requerirá que el/la trabajador/a acredite una antigüedad mínima en la empresa de 5 años, en el momento de cesar definitivamente en el trabajo.

Estas cantidades serán abonadas en un mes a contar desde la fecha en la que el trabajador cesase en la empresa, salvo pacto en contrario con el interesado.

2.- JUBILACIÓN PARCIAL

Podrán acceder a la jubilación parcial, los/as trabajadores/as que reúnan las condiciones generales exigidas para tener derecho a una pensión contributiva de jubilación, excepción hecha de la edad y cumplan igualmente los requisitos de antigüedad en la prestación de servicios para la Empresa y de cotización a la Seguridad Social establecidos en la legislación de la Seguridad Social. En todo caso, la jubilación parcial del/la trabajador/a, estará condicionada al reconocimiento efectivo de la misma por parte de la Administración de la Seguridad Social.

El/la trabajador/a comunicará a la empresa su propósito con una antelación de al menos dos meses a la fecha prevista para la Jubilación Parcial. Una vez acreditado que reúne las condiciones exigidas para tener derecho a la pensión, la empresa concertará en un plazo máximo de 45 días a contar desde que el/la trabajador/a le comunicara su intención, el correspondiente contrato de relevo, al tiempo que novará el contrato del/la trabajador/a jubilado/a parcialmente, que se sustituirá con un contrato a tiempo parcial.

Los contratos de relevo que deban celebrarse, se suscribirán con los/as trabajadores/as que integren la bolsa de trabajo, que figura en el anexo B del presente convenio, que se encuentren en situación legal de desempleo o, presten servicios para la empresa en virtud de contrato de duración determinada, siempre que tenga la misma categoría profesional que el/la trabajador/a que pretenda acceder a la jubilación parcial. En los supuestos, de que hubiese agotado la bolsa, o no figurasen en la misma, candidatos/as con la categoría profesional del/la trabajador/a jubilado/a parcialmente, la empresa podrá suscribir el contrato de relevo con cualquier otro/a trabajador/a que cumpla los requisitos exigidos legalmente.

Con carácter general, el/la trabajador/a que acceda a la situación de jubilación parcial, prestará servicios para la empresa el número de horas equivalente al porcentaje exigido en las Normas de la Seguridad Social de su jornada ordinaria. Sin perjuicio de lo anterior, la Empresa y el/la trabajador/a podrán establecer, de mutuo acuerdo otros porcentajes de prestación de servicios superiores a los indicados en las Normas de la Seguridad Social.

El/la trabajador/a jubilado/a parcialmente, con carácter general, llevará a cabo el número de horas a la que quede reducida su jornada, de forma concentrada anualmente. Sin perjuicio de lo anterior, y previo acuerdo con la Empresa, se deja abierta la posibilidad de distribuir el tiempo del trabajo a lo largo del año, siempre y cuando hubiese un servicio a efectuar, ello podría consistir en jornadas de 2, 3 ó 4 horas al día, a lo largo de varios meses (realización de flecos) o jornadas completas de 7 horas continuadas para sustituciones de trabajadores en vacaciones.

El/la trabajador/a jubilado/a parcialmente, percibirá una compensación económica anual consistente en el 50% del importe que hasta la fecha de su pase a la situación de jubilación parcial, percibía por antigüedad, sin perjuicio del salario que le pudiera corresponder por el tiempo de trabajo efectivo realizado. Dicha cuantía del 50% será incrementada anualmente con el incremento salarial pactado en el Artículo 38º de este convenio.

El/la trabajador/a jubilado/a parcialmente, percibirá dicha compensación económica de la siguiente manera: el 40% de la misma estará Ligada directamente al tiempo de trabajo efectivo, el 60% se prorrateará entre el periodo de alta.

La duración de los contratos de relevo que pudiesen suscribirse lo serán a jornada completa, pudiendo, en consecuencia, simultanearse con la del/la trabajador/a al que sustituye y su duración será igual a la del tiempo que le falte al/a trabajador/a sustituido/a para alcanzar la edad de 64 años. El/la trabajador/a relevista que se encontrase vinculado/a a la empresa con un contrato de duración determinada, deberá cesar previa y obligatoriamente en dicho contrato, al objeto de poder suscribir el correspondiente contrato de relevo y sustituir así la jornada dejada vacante por el/la trabajador/a que se jubila parcialmente.

El contrato de trabajo a tiempo parcial suscrito con el/la trabajador/a parcialmente jubilado/a tendrá una duración igual a la que, en el momento de la celebración le reste a aquel para alcanzar la edad de 64 años (o jubilación total según las normas establecidas en la Seguridad Social para el pase a la Jubilación Total de un/a trabajador/a ), momento en el que extinguirá dicho contrato de trabajo, debiendo pasar de modo forzoso dicho/a trabajador/a a la jubilación total, al acogerse a las normas de anticipación de la edad de jubilación como medida de fomento de empleo contenidas en el Real Decreto 1194/1985, de 17 de Julio.

Artículo 37. Despidos Y Sanciones Por Faltas Muy Graves

De acuerdo en lo dispuesto en la Disposición Transitoria Primera de este Convenio Colectivo.

Artículo 38. Subida Salarial Año 2013 Y 2014

La subida salarial de todos los conceptos económicos será con carácter retroactivo al 1 de Enero de cada año.

Para el año 2013: no se aplica subida salarial a este convenio para el citado año.

Para el año 2014: será aquel que se pacte o acuerde a 31 de Diciembre de 2013, para todos los conceptos económicos.

Artículo 39. Servicios Médicos en la Empresa

A todos/as los/as trabajadores/as se les realizará una revisión médica ordinaria semestralmente, y una revisión médica general anual.

El tiempo que inviertan los/as productores/as en los reconocimientos médicos se compensarán con 120.82 Euros al año, que serán abonadas en el mes de Noviembre.

El Médico o ATS permanecerá en el centro de trabajo entre las 12’00 y las 16’00 horas, todos los días laborables del año.

A todos/as los/as trabajadores/as, antes de ser contratados/as, se les realizará un reconocimiento médico general.

Artículo 40. Seguridad y Salud en el Trabajo

Los/as firmantes del presente convenio, manifiestan su voluntad de cumplir y hacer cumplir la vigente normativa sobre Seguridad e Higiene en el trabajo, y de modo muy especial, lo dispuesto en la Ley 31/1995 de 8 de Noviembre de Prevención de Riesgos Laborales y en los artículos 19 y 64 del Estatuto de los Trabajadores, siendo necesaria la colaboración de todos los miembros de la empresa, para llevar adelante las medidas preventivas que permitan disminuir efectivamente los riesgos derivados del proceso productivo.

Con la participación e información del Comité de Empresa se promoverá por la dirección, acciones formativas e informativas de signo preventivo, tendentes a evitar los accidentes de trabajo y enfermedades profesionales.

Artículo 41. Comité de Seguridad y Salud

Se acuerda crear un Comité de Seguridad y Salud, integrado por 3 representantes del Comité de Empresa y 3 representantes de la Dirección, en la que estará incluido el responsable de los Servicios Médicos que compatibilizará sus funciones con las que normalmente presta en la empresa, que asumirá los cometidos que a tal efecto establece la Ley 31/1995 de 8 de Noviembre de prevención de Riesgos Laborales.

Además de las recogidas en la legislación vigente, las funciones de esta Comisión serán:

Promover en el centro de trabajo la observación de las disposiciones vigentes en materia de Seguridad e Higiene en el trabajo, imponiéndolas y haciéndolas cumplir.

- Estudiar y promover las medidas oportunas en orden a la prevención de riesgos profesionales, protección de la vida, integridad física, salud y bienestar de los/as trabajadores/as.

- Solicitar la colaboración de los Gabinetes Provinciales de Seguridad e Higiene e Instituciones Públicas destinadas a estas funciones, en la implantación o inspección de medidas de protección individual o colectiva para el centro de trabajo, dándose traslado a los componentes del Comité de Seguridad y Salud de los informes o planes que pudiera elevar estos organismos.

- Si el riesgo de accidente fuera inminente, la paralización de las actividades podrá ser acordada por decisión de los órganos competentes del centro.

Artículo 42. Obligaciones de Los/as Trabajadores/as en la Seguridad y Salud

Con independencia de los derechos y obligaciones que al particular se establece en a Ley 31/1995, de 8 de Noviembre de Prevención de Riesgos Laborales, el/la trabajador/a deberá dar cuenta inmediata a sus superiores, de los accidentes, riesgos o imperfecciones de las máquinas, instalaciones y material que utilicen, incurriendo en la responsabilidad a que hubiera lugar, en caso de no hacerlo y producirse víctimas o daños, al Jefe inmediato y a la Comisión de Seguridad y Salud.

Asimismo, deberá utilizar obligatoriamente los medios de protección personal que se les entreguen, así como cuidar de su perfecto estado y conservación.

Cada vehículo dispondrá de un libro de líneas y horarios y los partes de avería serán por duplicado.

Artículo 43. Obligaciones del Personal Directivo, Técnico y de los Mandos de la Empresa

Con independencia de los derechos y obligaciones que al particular se anuncian en la Ley 31/1995 de 8 de Noviembre de Prevención de Riesgos Laborales, deberá en el supuesto de que se le notifique, un accidente o riesgo que se produzca, disponer el mando de la Empresa correspondiente, de los medios adecuados para evitarlo y si no fuese posible, paralizará o prohibirá los trabajos, informando de las actuaciones al Jefe inmediato y al Comité de Seguridad y Salud.

Artículo 44. Cartilla Sanitaria

La empresa facilitará cartilla individual en la que constarán los datos de todos los reconocimientos del personal laboral y donde conste las enfermedades (derivadas por el desarrollo de las distintas funciones) del/la trabajador/a como: estrés, pérdida de visión, pérdida de audición, artrosis cervical, lumbalgia, hemorroides, deshidratación, próstata, hernia discal, infarto, hipertensión, angina de pecho, desprendimiento de retina, ect.

Artículo 45. Constitución de la Mesa del Convenio

La Mesa del Convenio estará constituida por los/as representantes de la Empresa, los miembros del Comité de Empresa y los/as asesores/as, jurídicos o sindicales que sean requeridos por cada una de las partes.

Disposición Final

En todo lo no previsto en el presente Convenio, se estará a lo dispuesto en las disposiciones generales que sean de aplicación.

Disposición Adicional Primera

La empresa entregará a todos/as sus productores/as, antes del 10 de Febrero, el certificado anual con las retenciones de I.R.P.F., de la Seguridad Social y de las retenciones de la cuota sindical por nómina, para que puedan hacer la declaración de la renta.

Disposición Adicional Segunda

La empresa se compromete a no instar durante la vigencia del Convenio expediente de regulación de empleo para la extinción de contratos de trabajo. Este compromiso se cumplirá en base a la movilidad funcional en el interior de la empresa o en futuros servicios de SERVICIOS URBANOS AMARILLOS S.L.U. (SUA ) en Jerez de la Frontera.

Se podrán programar como turnos especiales servicios de menor duración que la fijada como jornada ordinaria. Los/as trabajadores/as que hayan cumplido 60 años, tendrán prioridad para cubrir tales servicios programados si así lo solicitan y siempre que declaren que no realizan ningún otro tipo de trabajo remunerado. A estos efectos se les mantendrá integro el salario base y la antigüedad mientras el resto de las percepciones serán proporcionales al tiempo realmente trabajado.

Disposición Adicional Tercera

Se creará una Comisión de Arbitraje para la resolución de conflictos, que estará compuesta por 2 representantes de la empresa, 2 representantes del Comité de Empresa (uno por cada sindicato representado), y una persona de reconocido prestigio que tenga la aceptación de todas las partes.

Disposición Adicional Cuarta

Si durante la vigencia del presente Convenio se cambia la ubicación del centro de trabajo, el plus de transporte se incrementará proporcionalmente al incremento de distancia entre el centro actual y el futuro.

Disposición Adicional Quinta

Las partes acuerdan igualmente la creación de una comisión de seguimiento compuesta por dos representantes de la empresa y dos representantes de los/as trabajadores/as en orden a asegurar el cumplimiento de los períodos de descanso por bocadillo, establecidos en el presente convenio, debiéndose aportar las soluciones que al efecto correspondan en el plazo de hasta un mes desde la fecha de constitución de dicha comisión.

Disposición Transitoria Primera

Las partes acuerdan negociar y adaptar el régimen disciplinario recogido en el Laudo sustitutivo de la Ordenanza Laboral de Transportes, adaptándolo a las especificidades del servicio de transporte urbano y concretamente a1 servicio de Jerez de la Frontera. En tanto en cuanto las partes no lleguen a un acuerdo, será de aplicación la antigua Ordenanza de Transportes. Ambas partes se comprometen a llegar a un acuerdo.

En el caso de no poder lograr un acuerdo en materia de infracciones y sanciones para la fecha señalada, las partes acuerdan efectuar una consulta ante la inspección de trabajo en orden a que ésta determine cual es el régimen de aplicación en materia de infracciones y sanciones para los/as trabajadores/as sometidos al ámbito de aplicación del presente convenio. En tanto en cuanto dicho organismo se pronuncia, será de aplicación la antigua Ordenanza Laboral de Transportes.

Jerez de la Frontera. Por la Empresa Por los Trabajadores. Firmado.

ANEXOS AL CONVENIO DE EMPRESA

A) RELACIÓN DE PERSONAL FIJO.

B) BOLSA DE TRABAJO.

B-1) LISTADO AGENTES ÚNICOS TRAS PRUEBAS REALIZADAS 2008.

C) CALENDARIO LABORAL 2013.

D) RELACIÓN DE PERSONAL VOLUNTARIO PARA DESCANSAR LOS

CATORCE FESTIVOS.

E) CUADRANTE DE VACACIONES.

F) CUADRANTE DE DESCANSO FIJO DE LUNES A VIERNES.

G) CUADRANTE ROTATIVO DE LÍNEAS Y SERVICIOS EN LA EMPRESA, CON LAS EXCEPCIONES DE AUMENTAR LÍNEAS Y SERVICIOS DE CARÁCTER ESPECIAL, ASÍ COMO LAS POSIBLES DISMINUCIONES QUE EXPERIMENTARÁN. CUADRANTE BASE DE PERSONAL FIJO DE TALLER, CUADRANTE BASE DE SERVICIO DE LIMPIEZA, CUADRANTE BASE DEPARTAMENTO DE PRODUCCIÓN.

H) TABLA DE SALARIOS.

ANEXO A SERVICIOS URBANOS AMARILLOS, S.L. RELACIÓN DE PERSONAL

FIJO EN PLANTILLA

CL. APELLIDOS Y NOMBRE

1

218

ALFARO

CAÑAS

EMILIO

2

289

ALVAREZ

MOTA

JUAN P.

3

252

ALVAREZ

REDONDO

ANTONIO

4

377

BAÑOS

CASTILLO

JOSÉ MANUEL

5

7

BAÑOS

GARRIDO

FRANCISCO

6

149

BAÑOS

GARRIDO

GONZALO

7

317

BAZAN

MORENO

FRANCISCO

8

301

BEJARANO

GLEZ. DE CALDAS

VICENTE

9

291

BEJARANO

PINTO

RAFAEL

10

312

BENITEZ

BORREGO

RAFAEL

11

153

BENITEZ

PEREZ

FERNANDO

12

255

BERMUDEZ

VELASCO

JOSE M.

13.

261

BUENO

BARCIA

MANUEL

14

253

CABALLERO

OÑATE

CESAR

15

169

CABRERA

TINTORERO

ALBERTO

16

285

CABRERA

TINTORERO

MOISES

17

147

CAMACHO

PLAZA

JOSE

18

281

CAMPOS

OÑATE

ANGEL

19

244

CARO

RODRIGUEZ

FRANCISCO

20

211

CASTILLA

ARMARIO

ANTONIO L.

21

405

CASTILLA

CARBELIDO

ANTONIO C.

22

180

CEBALLOS

PEREZ

ANDRES

23

139

CHACON

MOLINA

JUAN PEDRO

24

110

CORTES

SANCHEZ

FRANCISCO

25

143.

DEL RIO

RAMIREZ

BALTASAR

26

288

DEL VALLE

VENEROSO

JUAN CARLOS

27

308

DELGADO

DELGADO

MANUEL

28

287

DELGADO

GUERRERO

ADOLFO

29

251

DIAZ

ARIAS

ALVARO

30

135

DIAZ

PALOMINO

JUAN M.

31

114.

DOMINGUEZ

BENITEZ

FERNANDO

32

296

DOMINGUEZ.

HURTADO

ANTONIO

33

290

DOMINGUEZ.

HURTADO

FRANCISCO

34

151

DORADO

ROMAN

JOSE A.

35

157

ELENA

JIMENEZ

JUAN

36

257

ESLAVA

CARO

JUAN

37

430

FERNANDEZ

HERRERA

MANUEL

38

239

GALAFATE

RUIZ

JOSE M

39

432

GALLARDO

CABEZA

MIGUEL

40

148

GARCIA

ANDRADES

JOSE A.

41

188

GARCIA

BORREGO

JOSE Mª

42

137

GARCIA

BORREGO

MANUEL

43

222

GARCIA

ESTEVEZ

JORGE

44

286

GARCIA

GARCIA

JESUS Mª

45

258.

GARCIA

GARCIA

MIGUEL D.

46

283

GARCIA

JIMENEZ

MANUEL

47

36

GARCIA

MARQUEZ

ANGEL

48

113

GARCIA

RAMIREZ

JOSÉ OLIVERIO

49

242

GARCIA

REYES

JUAN

50

213

GIL

JAEN

JUAN

51

310

GIRALDO

MORON

JUAN PEDRO

52

185

GIRALDO

MORON

VICENTE

53

237

GONZALEZ

LAYNEZ

JAIME P.

54

166.

GONZALEZ

LAYNEZ

JUAN

55

298

GUERRERO

CASANUEVA

ALFONSO

56

279

GUTIÉRREZ

GERENA

JOSE E.

57

103

HERMOSO

BERNAL

JOSE M.

58

250

HOLGADO

ROMERO

ANTONIO

59

131

JIMENEZ

JIMENEZ

JOSE

60

50

LABRADOR

SEVILLANO

FRANCISCO

61

221

LARA

MONROY

JOSE

62

311

LOPEZ

MOLINA

FRANCISCO

63

297

LOPEZ

MOLINA

MANUEL

             

CL. APELLIDOS Y NOMBRE

64

216

MARCHAN

ROMERO

LUIS

65

127

MARQUEZ

DE COS

PABLO

66

236

MARTIN

SANCHEZ

LUIS MIGUEL

67

345

MARTINEZ

MEDINA

MANUEL

68

254

MONTERO

FRONTAN

BLAS

69

159

MORALES

PICA

ANGEL

70

280

MORALES.

SANCHEZ.

Mª JOSÉ

71

64

MORALES

SOLIS

JUAN DE DIOS

72

303

MORENO

GARCIA

JOSE ANTONIO

73

67

MORENO

NAVARRO

FRANCISCO

74

234

MUÑIZ

VIDAL

ALFREDO

75

376

MUÑOZ

MORALES

JOSE A.

76

240

NAVALLAS

GARCIA

MANUEL

77

292

NEIRA

ROMERO

ANTONIO

78

141

NUÑEZ

FERNANDEZ

JOSE A.

79

262

NUÑEZ

JORDAN

MANUEL

80

140

OLMEDO

RAMIREZ

FERNANDO

81

158

OLMO

GARCIA

MIGUEL A.

82

163

ORELLANA

PRIETO

JUAN A.

83

217

ORGE

BERMUDEZ

SEBASTIAN

84

138

ORTIZ

VENTURA

FCO. JAVIER

85

184

PACHECO

DIAZ

FERNANDO

86

125

PACHECO

DIAZ

RAMON

87

219

PADILLA

ALIAÑO

LUIS

88

187

PAZO

ROMERAL

FCO. JAVIER

89

136

PERALTA

FRAIDIAS

ANTONIO

90

171

PERALTA

FRAIDIAS

JOSE ANTº

91

154

PERALTA

FRAIDIAS

JUAN

92

284

PEREIRA

GARCIA

FRANCISCO

93

304

PEREZ

FUENTES

JUAN J.

94

248

PEREZ

ROMERO

CARLOS

95

175

PEREZ

TEJERO

MANUEL

96

164

PIÑERO

RUIZ

MANUEL

97

238

PIÑERO

SERRANO

A. DANIEL

98

182

PLATA

SALAS

MANUEL

99

260

PRIETO

RUANO

JESUS

100

119.

RAMIREZ

MALPARTIDA

BENITO

101

168

RAMIREZ

MALPARTIDA

Mª CARMEN

102

107

RAMIREZ

MASSÉ

JOSÉ A

103

460

RAMIREZ

PAZOS

ALEJANDRO

104

227

RAMIREZ

PAZOS

Mª DOLORES

105

206

RAMIREZ

RENDON

PATRICIO

106

230

RAMOS

GALVEZ

MANUEL

107

259

REBOLLO

CLAVIJO

MIGUEL A.

108

134

REINA

SANCHEZ

CARLOS

109

155.

REYES

ARMARIO

JUAN

110

241

RODRIGUEZ

BERMUDEZ

JOSE CARLOS

111

105

RODRIGUEZ

BERMUDEZ

MANUEL

112

173

RDGUEZ. DE MOLINA.ROMAN

 

MANUELA

113

228

RODRIGUEZ.

RIVERA

ALEJANDRA

114

431

RODRIGUEZ

RIVERA

JOSE

115

146

RODRIGUEZ

RODRIGUEZ

ANTONIO M.

116

243

RODRIGUEZ

TEJERO

ANTONIO

117

160

ROMERO

BURGOS

MIGUEL

118

229

ROMERO

MARIN

Mª CARMEN

119

104

ROMERO

MONTIEL

ESTEBAN

120

162

ROMERO

NUÑEZ

JOSE Mª

121

91

ROMERO

SANCHEZ

JOSE

122

307

ROMERO

VILLEGAS

JUAN JOSE

123

124

ROSA

RUIZ

ANTONIO

124

293

ROSADO

RAGEL

JOSE ANTONIO

125

300

RUBIALES

ROJAS

MANUEL

126

117

RUIZ

BERNAL

JUAN JOSE

127

246

RUIZ

CHACON

JUAN JOSE

128

341

RUIZ

POZO

JOSE Mª

129

161

SABORIDO

NUÑEZ

MANUEL

130

295

SALADO

VARGAS

JESUS

131

152

SAN HONORIO

NUÑEZ

EDUARDO

132

245

SANCHEZ

GARZON

DAVID

133

233

SEMPERE

LUJAN

FCO. JAVIER

134

294

SERNA

REQUEJO

JOSÉ L.

135

97

SOCASTRO

RAMIREZ

FRANCISCO

136

247

TORRES

PAVO

ALVARO

137

223

TRISTAN

ESPINOSA MONTEROS

REGLA

138

249

VALLE

GUERRA

MANUEL

139

302

VENEGAS

CASTAÑO

LUCIANO

140

220

VILLALBA

MORALES

PEDRO A.

141

212

YUSTE

BRENES

JOSE

142

204

YUSTE

LOPEZ

FRANCISCO

143

457

YUSTE

LOPEZ

PEDRO

 

ANEXO B BOLSA DE TRABAJO

AGENTES UNICOS

340

CASTILLA

ARMARIO

JUAN MANUEL

342

ROMERO

MARIN

JOSE ANTONIO

323

CALDERON

NUÑEZ

MARTIN

333

MEDINA

MATEOS

JOSE LUIS

330

VILLEGAS

RAMIREZ

EMILIO

347

GOMEZ

GARCIA

JOSE MANUEL

348

LOPEZ

SANCHEZ

JUAN MANUEL

315

DURAN

LOPEZ

MANUEL

334

GOMEZ

ARIAS

ANTONIA

349

GAITERO

REINA

PEDRO LUIS

350

LOPEZ

JIMENEZ

JESUS

351

CABRERA

GALAN

MIGUEL

378

RODRIGUEZ.

MUÑOZ

JOSE ANTONIO

352

MARIN

PALOMINO

FCO. JAVIER

318

COBOS

NAVALLAS

Mª CARMEN

353

GUILLEN

BRENES

MANUEL

356

PERDIGONES

APRESA

VICTOR JOSÉ

355

VARGAS MACHUCA

BERRAQUERO

JOSÉ Mª

357

VENEGAS

BENITEZ

JOSE MANUEL

374

SOTO

MORON

LUISA

359

GONZALEZ.

GIL

ANDRÉS

305

MENACHO

RUIZ

MIGUEL ANGEL

346

PULIDO

GARRIDO

JUAN ANTONIO

361

MUÑOZ

CAMAS

LUIS

363

GARVIN

PICON

ISRAEL

362

RUIZ

BAREA

MIGUEL ANGEL

344

GUTIERREZ

RODRIGUEZ

MIGUEL

366

ORTEGÓN

CALA

EMILIO

 

SERVICIO DE TALLER

490

RODRIGUEZ

TEJERO

JOSÉ

553

LUNA

CABALLERO

ALFONSO

570

PUYOL

JIMÉNEZ

ALEJANDRO

 

SERVICIO DE NOCHE

458

MONTERO

MORON

JOSÉ MARIA

461

CABRERA

LOPEZ

FRANCISCO ALEJ

536

GARCIA

GARCIA QUIROS

ENMANUEL

 

 

AUXILIAR DE ADMINISTRACIÓN

486

RUIZ

PERDIGONES

LUZ MARIA

512

MARTINEZ

EGEA

ALBA Mª

 

RUIZ

ESPINOSA MONTEROS

NOELIA

 

AUXILIAR DE MARKETING

JIMENEZ

JIMENO

PILAR

GIL

LLAMAS

JESÚS

MILLAN

SAÑUDO

PATRICIA

 

PERSONAL EN SITUACIÓN DE I.T.P.

128

GIL

JAEN

JOSÉ ANTONIO

142

CABRERA

TINTORERO

CARLOS M.

84

CAMACHO

LUCERO

ALBERTO J.

150

BAÑOS

GARRIDO

ALBERTO

282

BELLIDO

GARCIA

JOSÉ Mª

256

VIAÑA

NIÑO

LUIS

 

ANEXO B1 ORDEN DEFINITIVO TRAS REVISION FINAL OBTENIDO POR LOS CANDIDATOS A AGENTES UNICOS TRAS LAS PRUEBAS DE CUALIFICACION REALIZADAS EN LOS AÑOS 1998, 2000, 2005 y 2008

1

ROMERO GARCIA, MANUEL

2

JUNQUERA CORTES, JUAN

3

RUIZ DUARTE, DAVID

4

SÁNCHEZ ORDÓÑEZ, MANUEL

5

GOMEZ GARCIA, PABLO

6

PIÑERO SERRANO, PEDRO JOSÉ

7

ROMERO GÁLVEZ, BERNARDO

8

HIDALGO ARRIAZA, JUAN MANUEL

9

TORO GONZÁLEZ, ANTONIO

10

MUÑOZ RODRÍGUEZ, ANTONIO JOSÉ

11

CATALAN MORALES, FCO. JAVIER

12

TROYA CELIS, GABRIEL

13

RUIZ PINTO, ANDRÉS

14

MEDINA FERNÁNDEZ, RAMÓN

15

NUÑEZ JORDAN, MIGUEL ANGEL

16

RAMÍREZ PÉREZ, MANUEL

17

CADENAS COBOS, FRANCISCO

18

SÁNCHEZ GAGO, ABELARDO

19

MARTINEZ REGUERA, MARIA

20

CAMPOS OÑATE, DAVID

21

ALVAREZ PALMA, JUAN JESUS

22

SOTO MORON, JOSEFA

23

MENACHO JIMENEZ, JOSÉ

24

BARRIOS SEXTO, JUAN MANUEL

25

ROMERO GONZALEZ, JOSÉ MANUEL

26

SOTO MORON, ISABEL

27

SOTO MORON, ROCIO

28

VEGA GUERRERO, MANUEL

29

RODRIGUEZ MEDINA, ANTONIO ALBERTO

30

SALAS ORTEGA, JORGE

31

JAIME PRAVIA, MIGUEL

32

PIÑERO GONZALEZ, DIANA CAROLINA

33

INFANTE GIL, ANTONIO

34

JIMENEZ SEVILLANO, JUAN JESUS

35

GARCIA ARCHIDONA, MIGUEL

36

CHACON MOLINA, ANGEL

37

RUIZ CARO, SERGIO

38

VALLE CORTÉS, JOSÉ MANUEL

39

MARTINEZ PERDIGONES, ALFONSO

40

NAVARRO CABALLERO, FRANCISCO JOSÉ

41

CAÑAS MAIRENA, LUIS

42

NAVAS NARANJO, JOSÉ LUIS

43

GOMEZ ARIAS, ROSA MARIA

44

SANCHEZ ALVAREZ, ALEJANDRO

45

MORALES CEBALLOS, RAQUEL

46

MIMNA DOMINGUEZ, CHRISTOPHER

47

GUTIÉRREZ REYES, ANGEL

48

GARCIA CASTILLO, ISMAEL

49

YUSTE LOPEZ, SALVADOR

50

MARTÍNEZ ESPARTERO, JOSÉ A.

51

ROMERO VILLEGAS, JOSÉ Mª

52

MORENO CABEZAS, ROBARTO J.

53

ZARZUELA PIÑERO, JUAN ANTONIO

54

ESCOT BARRANCO, MANUEL

55

BORREGO DELGADO, MIGUEL

56

MARÍN RODRÍGUEZ, VICTOR M.

57

ALCÁNTARA PÉREZ, JUAN ANDRÉS

58

LOBATO BURGOS Mª PILAR

59

LÓPEZ MARTÍN, JOSÉ LUIS

60

MÁRQUEZ GONZÁLEZ, MIGUEL ANGEL

61

GRIMALDI ESTUDILLO, JOSÉ A.

62

HOLGADO VALERO, FCO. MANUEL

63

EXPÓSITO JIMÉNEZ, DAVID

64

PANAL PÉREZ, DAVID

65

ORTEGA COBOS, MIGUEL A.

66

VELASCO CABEZAS, VICENTE

67

SÁNCHEZ PUERTA, RAÚL

68

ROMERO DE LA CALLE, MANUEL

69

ARJONA LOZANO, FRANCISCO JAVIER

70

CABRERA NÚÑEZ, LUIS MIGUEL

71

FERNÁNDEZ VÁZQUEZ, Mª ANGELES

72

SÁNCHEZ ROMÁN, VERÓNICA

73

PIÑERO FERNÁNDEZ, JESÚS

74

ALONSO MARTÍNEZ, JOSÉ

75

RAMÍREZ CARMONA, ANTONIO

76

PÉREZ ROMO, JUAN JOSÉ

77

GARCÍA SÁNCHEZ, ANA ISABEL

78

DE LOS REYES IZQUIERDO, MIGUEL A.

79

CAZALLA MOLINA, EVA Mª

 

ANEXO D VOLUNTARIOS PARA DESCANSAR EN FESTIVOS

7

BAÑOS GARRIDO

FRANCISCO

91

ROMERO SÁNCHEZ

JOSÉ

103

HERMOSO BERNAL

JOSÉ MANUEL

104

ROMERO MONTIEL

ESTEBAN

109

RUIZ BERNAL

JUAN JOSÉ

125

PACHECO DIAZ

RAMÓN

131

JIMÉNEZ JIMÉNEZ

JOSÉ

134

REINA SÁNCHEZ

CARLOS

135

DIAZ PALOMINO

JUAN

137

GARCIA BORREGO

MANUEL

138

ORTIZ VENTURA

JAVIER

139

CHACÓN MOLINA

JUAN P.

140

OLMEDO RAMIREZ

FERNANDO

141

NÚÑEZ FERNÁNDEZ

JOSÉ A.

143

DEL RÍO RAMÍREZ

BALTASAR

147

CAMACHO PLAZA

JOSÉ

148

GARCÍA ANDRADES

JOSÉ ANTONIO

149

BAÑOS GARRIDO

GONZALO

151

DORADO ROMÁN

JOSÉ A.

152

SAN HONORIO NÚÑEZ

EDUARDO

155

REYES ARMARIO

JUAN

157

ELENA JIMÉNEZ

JUAN

158

OLMO GARCÍA

MIGUEL

159

MORALES PICA

ANGEL

160

ROMERO BURGOS

MIGUEL

161

SABORIDO NÚÑEZ

MANUEL

162

ROMERO NÚÑEZ

JOSÉ Mª

163

ORELLANA PRIETO

JUAN ANTONIO

166

GONZÁLEZ LAYNEZ

JUAN

171

PERALTA FRAIDIAS

JOSÉ ANTONIO

175

PÉREZ TEJERO

MANUEL

180

CEBALLOS PÉREZ

ANDRES

182

PLATA SALAS

MANUEL

184

PACHECO DIAZ

FERNANDO

187

PAZOS ROMERAL

FRANCISCO JAV.

188

GARCÍA BORREGO

JOSÉ Mª

204

YUSTE LÓPEZ

FRANCISCO

211

CASTILLA ARMARIO

ANTONIO

213

GIL JAÉN

JUAN

216

MARCHÁN ROMERO

LUIS

217

ORGE BERMÚDEZ

SEBASTIAN

218

ALFARO CAÑAS

EMILIO

219

PADILLA ALIAÑO

LUIS

221

LARA MONROY

JOSÉ

237

GONZÁLEZ LAYNEZ

JAIME P.

239

GALAFATE RUIZ

JOSÉ MANUEL

240

NAVALLAS GARCÍA

MANUEL

242

GARCÍA REYES

JUAN

243

RODRÍGUEZ TEJERO

ANTONIO

244

CARO RODRIGUEZ

FCO

245

SANCHEZ GARZÓN

DAVID

248

PERÉZ ROMERO

CARLOS

249

VALLE GUERRA

MANUEL

251

DIAZ ARIAS

ALVARO

252

ÁLVAREZ REDONDO

ANTONIO

254

MONTERO FRONTÁN

BLAS

257

ESLAVA CARO

JUAN

258

GARCÍA GARCÍA

MIGUEL D.

259

REBOLLO CLAVIJO

MIGUEL A.

261

BUENO BARCIA

MANUEL

262

NÚÑEZ JORDÁN

MANUEL

279

GUTIERREZ GERENA

JOSÉ E.

280

MORALES SÁNCHEZ

Mª JOSÉ

281

CAMPOS OÑATE

ÁNGEL

284

PEREIRA GARCÍA

FRANCISCO

285

CABRERA TINTORERO

MOISES

286

GARCÍA GARCÍA

JESUS Mª

287

DELGADO GUERRERO

ADOLFO

289

ÁLVAREZ MOTA

JUAN PEDRO

290

DOMÍNGUEZ HURTADO

FRANCISCO

291

BEJARANO PINTO

RAFAEL

292

NEIRA ROMERO

ANTONIO

296

DOMÍNGUEZ HURTADO

ANTONIO

300

RUBIALES ROJAS

MANUEL

301

BEJARANO GONZÁLEZ DE CALDAS

VICENTE

302

VENEGAS CASTAÑO

LUCIANO

303

MORENO GARCÍA

JOSÉ ANTONIO

304

PÉREZ FUENTES

JUAN JOSÉ

307

ROMERO VILLEGAS

JUAN JOSÉ

312

BENÍTEZ BORREGO

RAFAEL

317

BAZÁN MORENO

FRANCISCO

345

MARTÍNEZ MEDINA

MANUEL

376

MUÑOZ MORALES

JOSÉ A.

 

ANEXO E CUADRANTE DE VACACIONES ANUALES AÑO 2013

DEPARTAMENTO DE TALLER

JULIO: Pedro Yuste López. José M. Baños Castillo. Miguel Gallardo Cabeza. Manuel Fernández Herrera. Alfonso Luna Caballero

AGOSTO: Benito Ramírez Malpartida. Francisco Socastro Ramírez. José Rodríguez Rivera. Antonio Castilla Carbellido. José M. Rodríguez Tejero

ANEXO E CUADRANTE DE VACACIONES ANUALES AÑO 2013

DEPARTAMENTO DE MANTENIMIENTO DE LIMPIEZA

JULIO: Alberto Cabrera Tintorero. Pablo Márquez de Cos

AGOSTO: Francisco Cortés Sánchez. Alejandro Ramírez Pazos. Jorge García Estévez

El sistema de rotatividad en el disfrute de Vacaciones anuales será: Julio a Agosto - Agosto a Julio

ANEXO E CUADRANTE DE VACACIONES ANUALES AÑO 2013

DEPARTAMENTO DE ADMON., OFICINAS Y SERVICIO MÉDICO

JULIO: Juan de Dios Morales Solís. Mª Dolores Ramírez Pazos. Regli Tristán Espinosa de los Monteros. Patricio Ramírez Rendón

AGOSTO: Mª del Carmen Ramírez Malpartida. Alejandra Rodríguez Rivera. Mª Carmen Romero Marín. Manuela Rodríguez de Molina Román. Manuel Rodríguez Bermúdez

ANEXO E CUADRANTE DE VACACIONES ANUALES AÑO 2014

DEPARTAMENTO DE TALLER

JULIO: Benito Ramírez Malpartida. Francisco Socastro Ramírez. José Rodríguez Rivera. Antonio Castilla Carbellido José M. Rodríguez Tejero

AGOSTO: Pedro Yuste López. José M. Baños Castillo. Miguel Gallardo Cabeza. Manuel Fernández Herrera. Alfonso Luna Caballero

ANEXO E CUADRANTE DE VACACIONES ANUALES AÑO 2014

DEPARTAMENTO DE MANTENIMIENTO DE LIMPIEZA

JULIO: Francisco Cortés Sánchez. Alejandro Ramírez Pazos. Jorge García Estévez

AGOSTO: Alberto Cabrera Tintorero. Pablo Márquez de Cos

El sistema de rotatividad en el disfrute de Vacaciones anuales será: Julio a Agosto - Agosto a Julio

ANEXO E CUADRANTE DE VACACIONES ANUALES AÑO 2014

DEPARTAMENTO DE ADMON., OFICINAS Y SERVICIO MÉDICO

JULIO: Mª del Carmen Ramírez Malpartida. Alejandra Rodríguez Rivera. Mª Carmen Romero Marín. Manuela Rodríguez de Molina Román. Manuel Rodríguez Bermúdez

AGOSTO: Juan de Dios Morales Solís. Mª Dolores Ramírez Pazos. Regli Tristán Espinosa de los Monteros. Patricio Ramírez Rendón

ANEXO E CUADRANTE ROTATIVO DE VACACIONES AÑO 2013

Imagen

Imagen

Imagen

ANEXO F

CUADRANTE DE DESCANSOS DE DEPARTAMENTOS 2013-2014 DEPARTAMENTO DE PRODUCCIÓN

Los productores pertenecientes al Departamento de Producción tendrán asignados sus descansos comprendidos entre Lunes y Viernes como descanso laboral y otro descanso en Sábado o Domingo, el resto del personal en cuadrante podrá descansar en Sábado y Domingo, según cuadrante vigente.

Durante los meses de Julio y Agosto la distribución y rotación se verán afectadas por vacaciones.

DEPARTAMENTO DE TALLER

Cuadrante rotativo de descansos distribuidos en: Un productor: Jueves y Viernes de turno 1º. Un productor: Jueves y Viernes de turno 2º. Resto del personal: Sábados y Domingos.

DEPARTAMENTO DE MANTENIMIENTO LIMPIEZA

Días laborables

 

Jorge García Estevez

Lunes

Alejandro Ramírez Pazos

Martes

Alberto Cabrera Tintorero

Miércoles

Pablo Márquez de Cos

Jueves

Francisco Cortés Sánchez

Viernes

Sábados y Domingos

 

De forma rotativa: 2 productores en Sábados. 3 productores en Domingos

 

ANEXO G CUADRANTE BASE DE TALLER

Imagen

Imagen

Imagen

Imagen

CALENDARIO LABORAL 2013 PARA CÁDIZ Y SU PROVINCIA RELACION DE FIESTAS LOCALES PARA EL 2013 DE CADIZ Y SU PROVINCIA

Alcalá de los Gazules

29 de Abril y 12 de Septiembre

Alcalá del Valle

2 de Mayo y 16 de Agosto

Algar

16 de Mayo y 8 de Septiembre

Algeciras

27 de Junio y 15 de Julio

Algodonales

30 de Mayo y 26 de Julio

Arcos de la Frontera

5 de Agosto y 29 de Septiembre

Barbate

27 de Mayo y 16 de Julio

Barrios (Los)

15 de Mayo y 15 de Julio

Benalup-Casas Viejas

20 de Marzo y 25 de Julio

Línea (La)

16 de Julio y 25 de Julio

Medina Sidonia

24 de Enero y 6 de Junio

Olvera

08 de Abril y 01 de Septiembre

Paterna Rivera

20 de Enero y 20 de Junio

Prado del Rey

20 de Mayo y 16 de Julio

El Pto. Sta. Mª

26 de Abril y 08 de Septiembre

Puerto Real

11 de Febrero y 06 de Junio

Puerto Serrano

21 de Febrero y 16 de Agosto

Rota

06 de Mayo y 07 de Octubre

 

Benaocaz

03 de Febrero y 16 de Agosto

Bornos

18 de Febrero y 12 de Septiembre

Bosque (El)

13 de Junio y 14 de Junio

Cádiz

11 de Febrero y 7 de Octubre

Castellar de la Fra

15 de Febrero y 29 de Abril

Chiclana de la Fra

14 de Junio y 08 de Septiembre

Chipiona

18 de Febrero y 08 Septiembre

Conil de la Fra

3 de Junio y 8 de Septiembre

Espera

16 de Mayo y 12 de Septiembre

Gastor (El)

3 de Junio y 08 de Agosto

Grazalema

2 de Mayo y 08 de Septiembre

Jerez de la Fra

24 de Septiembre y 9 de Octubre

Jimena de la Fra

09 de Mayo y 04 de Julio

San Fernando

16 de Julio y 24 de Septiembre

Sanlúcar Bda

06 de Junio y 18 de Octubre

San José del Valle

24 de Mayo y 27 de Mayo

San Roque

21 de Mayo y 12 de Agosto

Setenil Bodegas

01 de Abril y 16 de Mayo

Tarifa

8 de Septiembre y 12 de Sepbre.

Torre Alháquime

24 de Junio y 17 de Agosto

Trebujena

30 de Mayo y 08 de Septiembre

Ubrique

30 de Mayo y 08 de Septiembre

Vejer de la Fra

12 de Abril y 24 de Agosto

Villaluenga Rosario

02 de Septiembre y 6 de Sepbre

Villamartín

9 de Septiembre y 23 de Sepbre.

Zahara de la Sierra

3 de Junio y 28 de Octubre

Ceuta

13 Junio, 5 Agosto y 7 Noviemb

 

Relación de fiestas laborales que tendrán carácter retributivo y no recuperable en el ámbito territorial de la Comunidad Autónoma de Andalucía, durante 2013. Decreto 308/2010, de 15 de Junio (B.O.J.A. nº 128 de 01 de Julio de 2010)

1 de Enero:

Año Nuevo

7 de Enero:

Epifanía del Señor

28 de Febrero:

Día de Andalucía

28 de Marzo:

Jueves Santo

29 de Marzo:

Viernes Santo

1 de Mayo:

Fiesta del Trabajo

15 de Agosto:

Festividad de la Asunción de la Virgen

12 de Octubre:

Fiesta Nacional de España

1 de Noviembre:.

Todos los Santos

6 de Diciembre:

Día de la Constitución Española

8 de Diciembre:.

Inmaculada Concepción

25 de Diciembre:

Natividad del Señor

 

JORNADA DE TRABAJO PARA 2013

EMPRESA: SERVICIOS URBANOS AMARILLOS, S.L.U. CENTRO DE TRABAJO: JEREZ DE LA FRONTERA. Domicilio: Pol. Ind. El Portal, s/n. Localidad: JEREZ DE LA FRONTERA. Teléfono: 956-143608. Actividad: Transporte Urbano de Viajeros. Convenio Aplicable: Local (Empresa)

HORARIO DE TRABAJO

Desde el día 1 de Enero del 2013 al día 31 de Diciembre del 2013. Horario: Según artículo 16 del Convenio Colectivo. Descanso Intermedio: 12 horas. Descanso

Semanal: 2 días

Desde el día 1 de Enero del 2014 al día 31 de Diciembre del 2014. Horario: Según artículo 16 del Convenio Colectivo. Descanso Intermedio: 12 horas. Descanso

Semanal: 2 días

TURNOS (si los hubiese)

TURNO I (MAÑANA): Entre las 6 y las 9 h. según horario de línea. Retirada Entre las 13 y las 15’15 h.

TURNO II (tarde): Entre las 14 y las 17 h. Según horario de línea. Retirada entre las 21 y las 24 h.

TURNO III (noche): Lavacoches entre las 21 h. y salida a las 4 h.

VACACIONES ANUALES

31 días

 

OBSERVACIONES

Todo el personal tendrá como tiempo de presencia 30 minutos al comenzar la jornada y 30 min. Al finalizar la misma.

Los domingos y festivos el servicio comenzará a las 8 horas.

Todos los conductores de movimiento disfrutarán de un descanso de 30 min. para tomar el bocadillo, de los cuales 20 min. se realizarán a partir de 1’30 h. del inicio de la jornada y antes de 3 horas de finalización de la misma, además disfrutaran de 2 descansos de 5 min. cada uno a lo largo de su jornada de trabajo, los referidos descansos tendrán la consideración de trabajo efectivo.

Imagen

Imagen